- Split View
-
Views
-
CiteCitation
James W Anderson, Elizabeth C Konz, Robert C Frederich, Constance L Wood; Long-term weight-loss maintenance: a meta-analysis of US studies, The American Journal of Clinical Nutrition, Volume 74, Issue 5, 1 November 2001, Pages 579–584, https://doi.org/10.1093/ajcn/74.5.579
Download citation file:
© 2018 Oxford University Press
Close -
Share
ABSTRACT
Background: Current perception is that participants of a structured weight-loss program regain all of their weight loss within 5 y.
Objective: The objective was to examine the long-term weight-loss maintenance of individuals completing a structured weight-loss program.
Design: Studies were required to 1) have been conducted in the United States, 2) have included participants in a structured weight-loss program, 3) have provided follow-up data with variance estimates for ≥2 y. Primary outcome variables were weight-loss maintenance in kilograms, weight-loss maintenance as a percentage of initial weight loss, and weight loss as a percentage of initial body weight (reduced weight).
Results: Twenty-nine studies met the inclusion criteria. Successful very-low-energy diets (VLEDs) were associated with significantly greater weight-loss maintenance than were successful hypoenergetic balanced diets (HBDs) at all years of follow-up. The percentage of individuals at 4 or 5 y of follow-up for VLEDs and HBDs were 55.4% and 79.7%, respectively. The results for VLEDs and HBDs, respectively, were as follows: weight-loss maintenance, 7.1 kg (95% CI: 6.1, 8.1 kg) and 2.0 (1.5, 2.5) kg; percentage weight-loss maintenance, 29% (25%, 33%) and 17% (13%, 22%); and reduced weight, 6.6% (5.7%, 7.5%) and 2.1% (1.6%, 2.7%). Weight-loss maintenance did not differ significantly between women and men. Six studies reported that groups who exercised more had significantly greater weight-loss maintenance than did those who exercised less.
Conclusions: Five years after completing structured weight-loss programs, the average individual maintained a weight loss of >3 kg and a reduced weight of >3% of initial body weight. After VLEDs or weight loss of ≥20 kg, individuals maintained significantly more weight loss than after HBDs or weight losses of <10 kg.
INTRODUCTION
Obesity is a chronic disease that is a major health problem in the United States and is emerging as a health problem in many developed and developing countries (1). Current treatment programs for obese individuals are not very effective over the long term, leading to the common wisdom that persons who successfully lose weight will regain it all within 5 y (2,3).
The combination of very-low-energy diets (VLEDs) with behavior modification represents an important advance in enabling obese individuals to initially lose substantial amounts of weight, typically 20–25 kg (4). However, the National Task Force on the Prevention and Treatment of Obesity (5) indicated that long-term maintenance of weight loss after VLEDs is no better than after other forms of obesity treatment. The present meta-analysis critically examines that contention by examining available US reports of weight-loss maintenance from 2 to 5 y after successful weight loss in structured weight-loss programs. Furthermore, because the recommended rate and amount of weight loss is a focus of debate (6), we examined long-term weight-loss maintenance and weight reduction at 5 y after either VLEDs or hypoenergetic balanced diets (HBDs).
MATERIALS AND METHODS
Study identification
In evaluating the literature for studies of weight-loss maintenance, we defined 3 initial inclusion criteria. First, only US studies were evaluated because of differences in weight-management practices and the availability of medical care in different countries. Second, subjects must have participated in a structured weight-loss program instead of in self-help activities. Third, follow-up weights with variance estimates must have been available for ≥2 y. We performed a thorough literature search by using MEDLINE (National Library of Medicine, Bethesda, MD) for the period of 1970–1999 to identify candidate studies and also used the “ancestry approach” (7) by consulting reference lists from single studies and pertinent literature reviews. We reviewed data from primary scientific reports and in review articles. Thirty-one separate published reports (4,8–37) met the initial criteria. We excluded 2 reports (19,22) because they did not provide specific weight-loss information at follow-up times. A study conducted by Wing et al (38) was also excluded from the analysis because the study included only children of persons with type 2 diabetes, a group shown to be atypical of the general population (39).
The primary outcome measures were weight-loss maintenance in kilograms, weight-loss maintenance as a percentage of initial weight loss (percentage weight-loss maintenance), and weight loss as percentage of initial body weight (reduced weight). Follow-up values were assessed at 1, 2, 3, 4, and 5 y. We analyzed results as reported and did not adjust for self-reported weights. Most investigators used VLEDs of <800 kcal/d (3347 kJ/d) or HBDs during the weight-loss phase. One group (34,35) used VLEDs and HBDs for comparison; these groups were considered to be mixed and were not analyzed in either diet group but were included in other comparisons.
Meta-analysis
Three studies included some randomization in design but most studies were observational. Long-term randomized controlled studies of weight loss and weight maintenance are not available. Meta-analysis of observational studies is appropriate in the absence of randomized controlled studies (40–43), and observational studies were included in the analysis to maximize the statistical power. In our analysis, estimates of diet, sex, and follow-up at each year were conducted by using the fixed effects model assumptions (44), homogeneity of results across studies was evaluated (45), and 95% CIs for these effects were calculated. All analyses were conducted by using SAS-PC (version 8.00; SAS Institute, Inc, Cary, NC) with the use of formulas from Shadish and Haddock (46) and by adapting code provided by Wang and Bushman (47) to calculate the fixed effects model and compute homogeneity as described previously (46–48).
The variance estimates for these 2 outcome variables, respectively, were calculated as follows: variance(weight-loss maintenance)/(average initial weight loss)2 and variance(weight-loss maintenance)/(average initial body weight)2.
RESULTS
The demographic data from the 29 studies analyzed is shown in Table 1. Sample sizes ranged from 6 to 508 subjects. Except for 3 studies in women (20,3,34) and 1 study in men (23), most studies included both women and men, with a predominance of women. The subjects' mean ages ranged from 31 to 59 y (median: 45 y). Thirteen studies used VLEDs and 14 studies used HBDs; Wadden et al (34,35) used both VLEDs and HBDs. The length of treatment in the weight-loss phase ranged from 8 to 30 wk (median: 19 wk); the median length of treatment for the VLEDs was 22 wk and that for the HBDs was 12 wk (P < 0.001). Average initial body weights for women ranged from 74 to 121 kg and those for men ranged from 100 to 148 kg. Average initial weight losses ranged from 3.5 to 37.9 kg for women and from 6.2 to 44.2 kg for men. In 9 of the 29 reports, investigators provided a structured maintenance program after completion of the weight-loss phase. The number of subjects available for follow-up, as a percentage of subjects completing the weight-loss program, ranged from 50% to 100% (median: 82%). Self-reported weights in these studies ranged from 0% to 100%.
Demographic data for all studies1
| Reference | n | Sex | Age | Diet | Length of treatment | Initial weight | Weight loss | Follow-up years | Available for follow-up2 | Self-reported weight3 |
|---|---|---|---|---|---|---|---|---|---|---|
| y | wk | kg | kg | % | % | |||||
| Anderson et al (8) | 71 | F | 43 | VLED | 17 | 94 | 17.9 | 1, 2, and 4 | 58 | 100 |
| 29 | M | 43 | VLED | 12 | 116 | 18.2 | 1, 2, and 4 | 58 | 100 | |
| Anderson et al (4) | 72 | F | 41 | VLED | 22 | 106.8 | 31.9 | 1 and 2 | 73 | 0 |
| 28 | M | 41 | VLED | 21 | 125.1 | 36 | 1 and 2 | 73 | 0 | |
| Anderson et al (9) | 55 | F | 42 | VLED | 28 | 120.7 | 32.4 | 1 and 2 | 58 | 80 |
| 25 | M | 44 | VLED | 23 | 148 | 41.6 | 1 and 2 | 58 | 80 | |
| Anderson et al (10) | 112 | F and M | 46 | VLED | 22 | 108 | 29.1 | 1, 2, 4, and 5 | 100 | 30 |
| 72 | F | 46 | VLED | 24 | 96.4 | 26.5 | 3 | 100 | 30 | |
| 40 | M | 43 | VLED | 21 | 128.8 | 35.6 | 3 | 100 | 30 | |
| Dubbert and Wilson (11) | 62 | F and M | NA | HBD | 19 | 91.1 | 7.8 | 1 and 2 | 96 | 100 |
| Eubank et al (12) | 45 | F and M | 50 | VLED | 23 | 100 | 28 | 2 | 82 | 4.4 |
| Fitzwater et al (13) | 213 | F and M | 40 | HBD | 30 | 103.4 | 7.3 | 2 | 69 | 60 |
| Flynn and Walsh (14) | 189 | F | 43 | VLED | 17 | 102.8 | 37.9 | 2 | 83 | 1004 |
| 66 | M | 46 | VLED | 18 | 123.9 | 39.1 | 2 | 83 | 1004 | |
| Graham et al (15) | 62 | F and M | 46 | HBD | 8 | 97.7 | 4.5 | 5 | 97 | 0 |
| Grodstein et al (16) | 325 | F and M | NA | VLED | 22 | 105.9 | 22 | 3 | 59 | 100 |
| Hall (17) | 10 | F and M | NA | HBD | 10 | 83.3 | 6.1 | 2 | 90 | 0 |
| Hartman et al (18) | 73 | F | 42 | VLED | 22 | 99.5 | 24.7 | 2 | 74 | 434 |
| 29 | M | 46 | VLED | 22 | 116.5 | 33.5 | 2 | 74 | 434 | |
| Hensrud et al (20) | 24 | F | 59 | HBD | 15 | 73.5 | 12.5 | 1, 2, 3, and 4 | 92 | 12 |
| Holden et al (21) | 80 | F | 47 | VLED | 23 | 108 | 25.2 | 3 | 100 | 100 |
| 38 | M | 46 | VLED | 27 | 140.1 | 44.2 | 3 | 100 | 100 | |
| Jeffery et al (23) | 89 | M | 53 | HBD | 15 | 100.2 | 13.5 | 1 and 2 | 93 | 0 |
| Jordon and Canavan (24) | 437 | F and M | 47 | HBD | 20 | 97.9 | 8.5 | 3 and 5 | 85 | 100 |
| Kirschenbaum et al (25) | 65 | F and M | 38 | HBD | 12 | 86.8 | 6.1 | 2 | 90.3 | 0 |
| Kramer et al (26) | 83 | F and M | 53 | HBD | 15 | 100.5 | 13 | 5 | 93 | 7.24 |
| 38 | F | 48 | HBD | 15 | 83.1 | 8.6 | 1, 2, 3, and 4 | 76 | 7.24 | |
| 114 | M | 51 | HBD | 15 | 101.1 | 13 | 1, 2, 3, and 4 | 76 | 7.24 | |
| Lavery and Loewry (27) | 386 | F | 45 | HBD | 8 | 78.7 | 3.5 | 2 | 98 | 100 |
| 123 | M | 45 | HBD | 8 | 101.3 | 6.2 | 2 | 98 | 100 | |
| Murphy et al (28) | 34 | F and M | NA | HBD | 10 | 87.5 | 7.4 | 1, 2, and 4 | 77 | 61.8 |
| Nunn et al (29) | 44 | F | 51 | VLED | 22 | 98.9 | 23.2 | 1 and 2 | 82 | 184 |
| 16 | M | 48 | VLED | 22 | 119.1 | 27.7 | 1 and 2 | 98 | 184 | |
| Pavlou et al (30) | 49 | F and M | 38 | HBD | 12 | 100.1 | 13.3 | 3 | 63 | 4.4 |
| Stunkard and Penick (31) | 32 | F and M | 40 | HBD | 12 | 97 | 8.2 | 5 | 84 | 63 |
| Stalonas et al (32) | 30 | F | 31 | HBD | 10 | 79.4 | 4.9 | 5 | 82 | 0 |
| 6 | M | 31 | HBD | 10 | 101.6 | 6.3 | 5 | 82 | 0 | |
| Sikand et al (33) | 30 | F | 39 | VLED | 17 | 106.1 | 19.8 | 2 | 50 | 100 |
| Wadden et al (34) | 50 | F and M | 44 | Mixed | 23 | 108.8 | 16.1 | 1 and 3 | 90 | 6.7 |
| Wadden et al (35) | 76 | F | 42 | Mixed | 23 | 106 | 14.6 | 1 and 5 | 62 | 474 |
| Wadden and Frey (36) | 508 | F | 44 | VLED | 26 | 104.9 | 23.7 | 2, 3, 4, and 5 | 54 | 100 |
| 113 | M | 47 | VLED | 26 | 134.1 | 34.3 | 2, 3, 4, and 5 | 54 | 100 | |
| Walsh and Flynn (37) | 189 | F | 45 | VLED | 18 | 100.7 | 19.7 | 4 | 52.4 | 1004 |
| 66 | M | 47 | VLED | 19 | 123.3 | 27.2 | 4 | 66.7 | 1004 |
| Reference | n | Sex | Age | Diet | Length of treatment | Initial weight | Weight loss | Follow-up years | Available for follow-up2 | Self-reported weight3 |
|---|---|---|---|---|---|---|---|---|---|---|
| y | wk | kg | kg | % | % | |||||
| Anderson et al (8) | 71 | F | 43 | VLED | 17 | 94 | 17.9 | 1, 2, and 4 | 58 | 100 |
| 29 | M | 43 | VLED | 12 | 116 | 18.2 | 1, 2, and 4 | 58 | 100 | |
| Anderson et al (4) | 72 | F | 41 | VLED | 22 | 106.8 | 31.9 | 1 and 2 | 73 | 0 |
| 28 | M | 41 | VLED | 21 | 125.1 | 36 | 1 and 2 | 73 | 0 | |
| Anderson et al (9) | 55 | F | 42 | VLED | 28 | 120.7 | 32.4 | 1 and 2 | 58 | 80 |
| 25 | M | 44 | VLED | 23 | 148 | 41.6 | 1 and 2 | 58 | 80 | |
| Anderson et al (10) | 112 | F and M | 46 | VLED | 22 | 108 | 29.1 | 1, 2, 4, and 5 | 100 | 30 |
| 72 | F | 46 | VLED | 24 | 96.4 | 26.5 | 3 | 100 | 30 | |
| 40 | M | 43 | VLED | 21 | 128.8 | 35.6 | 3 | 100 | 30 | |
| Dubbert and Wilson (11) | 62 | F and M | NA | HBD | 19 | 91.1 | 7.8 | 1 and 2 | 96 | 100 |
| Eubank et al (12) | 45 | F and M | 50 | VLED | 23 | 100 | 28 | 2 | 82 | 4.4 |
| Fitzwater et al (13) | 213 | F and M | 40 | HBD | 30 | 103.4 | 7.3 | 2 | 69 | 60 |
| Flynn and Walsh (14) | 189 | F | 43 | VLED | 17 | 102.8 | 37.9 | 2 | 83 | 1004 |
| 66 | M | 46 | VLED | 18 | 123.9 | 39.1 | 2 | 83 | 1004 | |
| Graham et al (15) | 62 | F and M | 46 | HBD | 8 | 97.7 | 4.5 | 5 | 97 | 0 |
| Grodstein et al (16) | 325 | F and M | NA | VLED | 22 | 105.9 | 22 | 3 | 59 | 100 |
| Hall (17) | 10 | F and M | NA | HBD | 10 | 83.3 | 6.1 | 2 | 90 | 0 |
| Hartman et al (18) | 73 | F | 42 | VLED | 22 | 99.5 | 24.7 | 2 | 74 | 434 |
| 29 | M | 46 | VLED | 22 | 116.5 | 33.5 | 2 | 74 | 434 | |
| Hensrud et al (20) | 24 | F | 59 | HBD | 15 | 73.5 | 12.5 | 1, 2, 3, and 4 | 92 | 12 |
| Holden et al (21) | 80 | F | 47 | VLED | 23 | 108 | 25.2 | 3 | 100 | 100 |
| 38 | M | 46 | VLED | 27 | 140.1 | 44.2 | 3 | 100 | 100 | |
| Jeffery et al (23) | 89 | M | 53 | HBD | 15 | 100.2 | 13.5 | 1 and 2 | 93 | 0 |
| Jordon and Canavan (24) | 437 | F and M | 47 | HBD | 20 | 97.9 | 8.5 | 3 and 5 | 85 | 100 |
| Kirschenbaum et al (25) | 65 | F and M | 38 | HBD | 12 | 86.8 | 6.1 | 2 | 90.3 | 0 |
| Kramer et al (26) | 83 | F and M | 53 | HBD | 15 | 100.5 | 13 | 5 | 93 | 7.24 |
| 38 | F | 48 | HBD | 15 | 83.1 | 8.6 | 1, 2, 3, and 4 | 76 | 7.24 | |
| 114 | M | 51 | HBD | 15 | 101.1 | 13 | 1, 2, 3, and 4 | 76 | 7.24 | |
| Lavery and Loewry (27) | 386 | F | 45 | HBD | 8 | 78.7 | 3.5 | 2 | 98 | 100 |
| 123 | M | 45 | HBD | 8 | 101.3 | 6.2 | 2 | 98 | 100 | |
| Murphy et al (28) | 34 | F and M | NA | HBD | 10 | 87.5 | 7.4 | 1, 2, and 4 | 77 | 61.8 |
| Nunn et al (29) | 44 | F | 51 | VLED | 22 | 98.9 | 23.2 | 1 and 2 | 82 | 184 |
| 16 | M | 48 | VLED | 22 | 119.1 | 27.7 | 1 and 2 | 98 | 184 | |
| Pavlou et al (30) | 49 | F and M | 38 | HBD | 12 | 100.1 | 13.3 | 3 | 63 | 4.4 |
| Stunkard and Penick (31) | 32 | F and M | 40 | HBD | 12 | 97 | 8.2 | 5 | 84 | 63 |
| Stalonas et al (32) | 30 | F | 31 | HBD | 10 | 79.4 | 4.9 | 5 | 82 | 0 |
| 6 | M | 31 | HBD | 10 | 101.6 | 6.3 | 5 | 82 | 0 | |
| Sikand et al (33) | 30 | F | 39 | VLED | 17 | 106.1 | 19.8 | 2 | 50 | 100 |
| Wadden et al (34) | 50 | F and M | 44 | Mixed | 23 | 108.8 | 16.1 | 1 and 3 | 90 | 6.7 |
| Wadden et al (35) | 76 | F | 42 | Mixed | 23 | 106 | 14.6 | 1 and 5 | 62 | 474 |
| Wadden and Frey (36) | 508 | F | 44 | VLED | 26 | 104.9 | 23.7 | 2, 3, 4, and 5 | 54 | 100 |
| 113 | M | 47 | VLED | 26 | 134.1 | 34.3 | 2, 3, 4, and 5 | 54 | 100 | |
| Walsh and Flynn (37) | 189 | F | 45 | VLED | 18 | 100.7 | 19.7 | 4 | 52.4 | 1004 |
| 66 | M | 47 | VLED | 19 | 123.3 | 27.2 | 4 | 66.7 | 1004 |
VLED, very-low-energy diet; HBD, hypoenergetic balanced diet.
Percentage of initial subjects who completed the study at the final follow-up.
Percentage self-reported weight loss at last follow-up.
Adjusted by original authors for self-reported weight loss by adding 1.5–2.3 kg to the subjects' reported weight.
Demographic data for all studies1
| Reference | n | Sex | Age | Diet | Length of treatment | Initial weight | Weight loss | Follow-up years | Available for follow-up2 | Self-reported weight3 |
|---|---|---|---|---|---|---|---|---|---|---|
| y | wk | kg | kg | % | % | |||||
| Anderson et al (8) | 71 | F | 43 | VLED | 17 | 94 | 17.9 | 1, 2, and 4 | 58 | 100 |
| 29 | M | 43 | VLED | 12 | 116 | 18.2 | 1, 2, and 4 | 58 | 100 | |
| Anderson et al (4) | 72 | F | 41 | VLED | 22 | 106.8 | 31.9 | 1 and 2 | 73 | 0 |
| 28 | M | 41 | VLED | 21 | 125.1 | 36 | 1 and 2 | 73 | 0 | |
| Anderson et al (9) | 55 | F | 42 | VLED | 28 | 120.7 | 32.4 | 1 and 2 | 58 | 80 |
| 25 | M | 44 | VLED | 23 | 148 | 41.6 | 1 and 2 | 58 | 80 | |
| Anderson et al (10) | 112 | F and M | 46 | VLED | 22 | 108 | 29.1 | 1, 2, 4, and 5 | 100 | 30 |
| 72 | F | 46 | VLED | 24 | 96.4 | 26.5 | 3 | 100 | 30 | |
| 40 | M | 43 | VLED | 21 | 128.8 | 35.6 | 3 | 100 | 30 | |
| Dubbert and Wilson (11) | 62 | F and M | NA | HBD | 19 | 91.1 | 7.8 | 1 and 2 | 96 | 100 |
| Eubank et al (12) | 45 | F and M | 50 | VLED | 23 | 100 | 28 | 2 | 82 | 4.4 |
| Fitzwater et al (13) | 213 | F and M | 40 | HBD | 30 | 103.4 | 7.3 | 2 | 69 | 60 |
| Flynn and Walsh (14) | 189 | F | 43 | VLED | 17 | 102.8 | 37.9 | 2 | 83 | 1004 |
| 66 | M | 46 | VLED | 18 | 123.9 | 39.1 | 2 | 83 | 1004 | |
| Graham et al (15) | 62 | F and M | 46 | HBD | 8 | 97.7 | 4.5 | 5 | 97 | 0 |
| Grodstein et al (16) | 325 | F and M | NA | VLED | 22 | 105.9 | 22 | 3 | 59 | 100 |
| Hall (17) | 10 | F and M | NA | HBD | 10 | 83.3 | 6.1 | 2 | 90 | 0 |
| Hartman et al (18) | 73 | F | 42 | VLED | 22 | 99.5 | 24.7 | 2 | 74 | 434 |
| 29 | M | 46 | VLED | 22 | 116.5 | 33.5 | 2 | 74 | 434 | |
| Hensrud et al (20) | 24 | F | 59 | HBD | 15 | 73.5 | 12.5 | 1, 2, 3, and 4 | 92 | 12 |
| Holden et al (21) | 80 | F | 47 | VLED | 23 | 108 | 25.2 | 3 | 100 | 100 |
| 38 | M | 46 | VLED | 27 | 140.1 | 44.2 | 3 | 100 | 100 | |
| Jeffery et al (23) | 89 | M | 53 | HBD | 15 | 100.2 | 13.5 | 1 and 2 | 93 | 0 |
| Jordon and Canavan (24) | 437 | F and M | 47 | HBD | 20 | 97.9 | 8.5 | 3 and 5 | 85 | 100 |
| Kirschenbaum et al (25) | 65 | F and M | 38 | HBD | 12 | 86.8 | 6.1 | 2 | 90.3 | 0 |
| Kramer et al (26) | 83 | F and M | 53 | HBD | 15 | 100.5 | 13 | 5 | 93 | 7.24 |
| 38 | F | 48 | HBD | 15 | 83.1 | 8.6 | 1, 2, 3, and 4 | 76 | 7.24 | |
| 114 | M | 51 | HBD | 15 | 101.1 | 13 | 1, 2, 3, and 4 | 76 | 7.24 | |
| Lavery and Loewry (27) | 386 | F | 45 | HBD | 8 | 78.7 | 3.5 | 2 | 98 | 100 |
| 123 | M | 45 | HBD | 8 | 101.3 | 6.2 | 2 | 98 | 100 | |
| Murphy et al (28) | 34 | F and M | NA | HBD | 10 | 87.5 | 7.4 | 1, 2, and 4 | 77 | 61.8 |
| Nunn et al (29) | 44 | F | 51 | VLED | 22 | 98.9 | 23.2 | 1 and 2 | 82 | 184 |
| 16 | M | 48 | VLED | 22 | 119.1 | 27.7 | 1 and 2 | 98 | 184 | |
| Pavlou et al (30) | 49 | F and M | 38 | HBD | 12 | 100.1 | 13.3 | 3 | 63 | 4.4 |
| Stunkard and Penick (31) | 32 | F and M | 40 | HBD | 12 | 97 | 8.2 | 5 | 84 | 63 |
| Stalonas et al (32) | 30 | F | 31 | HBD | 10 | 79.4 | 4.9 | 5 | 82 | 0 |
| 6 | M | 31 | HBD | 10 | 101.6 | 6.3 | 5 | 82 | 0 | |
| Sikand et al (33) | 30 | F | 39 | VLED | 17 | 106.1 | 19.8 | 2 | 50 | 100 |
| Wadden et al (34) | 50 | F and M | 44 | Mixed | 23 | 108.8 | 16.1 | 1 and 3 | 90 | 6.7 |
| Wadden et al (35) | 76 | F | 42 | Mixed | 23 | 106 | 14.6 | 1 and 5 | 62 | 474 |
| Wadden and Frey (36) | 508 | F | 44 | VLED | 26 | 104.9 | 23.7 | 2, 3, 4, and 5 | 54 | 100 |
| 113 | M | 47 | VLED | 26 | 134.1 | 34.3 | 2, 3, 4, and 5 | 54 | 100 | |
| Walsh and Flynn (37) | 189 | F | 45 | VLED | 18 | 100.7 | 19.7 | 4 | 52.4 | 1004 |
| 66 | M | 47 | VLED | 19 | 123.3 | 27.2 | 4 | 66.7 | 1004 |
| Reference | n | Sex | Age | Diet | Length of treatment | Initial weight | Weight loss | Follow-up years | Available for follow-up2 | Self-reported weight3 |
|---|---|---|---|---|---|---|---|---|---|---|
| y | wk | kg | kg | % | % | |||||
| Anderson et al (8) | 71 | F | 43 | VLED | 17 | 94 | 17.9 | 1, 2, and 4 | 58 | 100 |
| 29 | M | 43 | VLED | 12 | 116 | 18.2 | 1, 2, and 4 | 58 | 100 | |
| Anderson et al (4) | 72 | F | 41 | VLED | 22 | 106.8 | 31.9 | 1 and 2 | 73 | 0 |
| 28 | M | 41 | VLED | 21 | 125.1 | 36 | 1 and 2 | 73 | 0 | |
| Anderson et al (9) | 55 | F | 42 | VLED | 28 | 120.7 | 32.4 | 1 and 2 | 58 | 80 |
| 25 | M | 44 | VLED | 23 | 148 | 41.6 | 1 and 2 | 58 | 80 | |
| Anderson et al (10) | 112 | F and M | 46 | VLED | 22 | 108 | 29.1 | 1, 2, 4, and 5 | 100 | 30 |
| 72 | F | 46 | VLED | 24 | 96.4 | 26.5 | 3 | 100 | 30 | |
| 40 | M | 43 | VLED | 21 | 128.8 | 35.6 | 3 | 100 | 30 | |
| Dubbert and Wilson (11) | 62 | F and M | NA | HBD | 19 | 91.1 | 7.8 | 1 and 2 | 96 | 100 |
| Eubank et al (12) | 45 | F and M | 50 | VLED | 23 | 100 | 28 | 2 | 82 | 4.4 |
| Fitzwater et al (13) | 213 | F and M | 40 | HBD | 30 | 103.4 | 7.3 | 2 | 69 | 60 |
| Flynn and Walsh (14) | 189 | F | 43 | VLED | 17 | 102.8 | 37.9 | 2 | 83 | 1004 |
| 66 | M | 46 | VLED | 18 | 123.9 | 39.1 | 2 | 83 | 1004 | |
| Graham et al (15) | 62 | F and M | 46 | HBD | 8 | 97.7 | 4.5 | 5 | 97 | 0 |
| Grodstein et al (16) | 325 | F and M | NA | VLED | 22 | 105.9 | 22 | 3 | 59 | 100 |
| Hall (17) | 10 | F and M | NA | HBD | 10 | 83.3 | 6.1 | 2 | 90 | 0 |
| Hartman et al (18) | 73 | F | 42 | VLED | 22 | 99.5 | 24.7 | 2 | 74 | 434 |
| 29 | M | 46 | VLED | 22 | 116.5 | 33.5 | 2 | 74 | 434 | |
| Hensrud et al (20) | 24 | F | 59 | HBD | 15 | 73.5 | 12.5 | 1, 2, 3, and 4 | 92 | 12 |
| Holden et al (21) | 80 | F | 47 | VLED | 23 | 108 | 25.2 | 3 | 100 | 100 |
| 38 | M | 46 | VLED | 27 | 140.1 | 44.2 | 3 | 100 | 100 | |
| Jeffery et al (23) | 89 | M | 53 | HBD | 15 | 100.2 | 13.5 | 1 and 2 | 93 | 0 |
| Jordon and Canavan (24) | 437 | F and M | 47 | HBD | 20 | 97.9 | 8.5 | 3 and 5 | 85 | 100 |
| Kirschenbaum et al (25) | 65 | F and M | 38 | HBD | 12 | 86.8 | 6.1 | 2 | 90.3 | 0 |
| Kramer et al (26) | 83 | F and M | 53 | HBD | 15 | 100.5 | 13 | 5 | 93 | 7.24 |
| 38 | F | 48 | HBD | 15 | 83.1 | 8.6 | 1, 2, 3, and 4 | 76 | 7.24 | |
| 114 | M | 51 | HBD | 15 | 101.1 | 13 | 1, 2, 3, and 4 | 76 | 7.24 | |
| Lavery and Loewry (27) | 386 | F | 45 | HBD | 8 | 78.7 | 3.5 | 2 | 98 | 100 |
| 123 | M | 45 | HBD | 8 | 101.3 | 6.2 | 2 | 98 | 100 | |
| Murphy et al (28) | 34 | F and M | NA | HBD | 10 | 87.5 | 7.4 | 1, 2, and 4 | 77 | 61.8 |
| Nunn et al (29) | 44 | F | 51 | VLED | 22 | 98.9 | 23.2 | 1 and 2 | 82 | 184 |
| 16 | M | 48 | VLED | 22 | 119.1 | 27.7 | 1 and 2 | 98 | 184 | |
| Pavlou et al (30) | 49 | F and M | 38 | HBD | 12 | 100.1 | 13.3 | 3 | 63 | 4.4 |
| Stunkard and Penick (31) | 32 | F and M | 40 | HBD | 12 | 97 | 8.2 | 5 | 84 | 63 |
| Stalonas et al (32) | 30 | F | 31 | HBD | 10 | 79.4 | 4.9 | 5 | 82 | 0 |
| 6 | M | 31 | HBD | 10 | 101.6 | 6.3 | 5 | 82 | 0 | |
| Sikand et al (33) | 30 | F | 39 | VLED | 17 | 106.1 | 19.8 | 2 | 50 | 100 |
| Wadden et al (34) | 50 | F and M | 44 | Mixed | 23 | 108.8 | 16.1 | 1 and 3 | 90 | 6.7 |
| Wadden et al (35) | 76 | F | 42 | Mixed | 23 | 106 | 14.6 | 1 and 5 | 62 | 474 |
| Wadden and Frey (36) | 508 | F | 44 | VLED | 26 | 104.9 | 23.7 | 2, 3, 4, and 5 | 54 | 100 |
| 113 | M | 47 | VLED | 26 | 134.1 | 34.3 | 2, 3, 4, and 5 | 54 | 100 | |
| Walsh and Flynn (37) | 189 | F | 45 | VLED | 18 | 100.7 | 19.7 | 4 | 52.4 | 1004 |
| 66 | M | 47 | VLED | 19 | 123.3 | 27.2 | 4 | 66.7 | 1004 |
VLED, very-low-energy diet; HBD, hypoenergetic balanced diet.
Percentage of initial subjects who completed the study at the final follow-up.
Percentage self-reported weight loss at last follow-up.
Adjusted by original authors for self-reported weight loss by adding 1.5–2.3 kg to the subjects' reported weight.
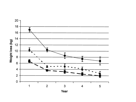
The pattern of weight-loss maintenance in all groups, in the VLED group, and in the HBD group is illustrated in Figure 1. There was significant heterogeneity (P < 0.0001) when all groups (women and men and VLEDs and HBDs) were combined. This heterogeneity appeared related to the combination of sex and diet because subgroup analysis showed homogeneity for women and for VLEDs at most years of follow-up. When all studies were included, follow-up data were available for 13, 20, 10, 8, and 8 studies at 1, 2, 3, 4, and 5 y, respectively. Individuals maintained 67% (95% CI: 65%, 69%) of their initial weight loss at 1 y, 44% (95% CI: 42%, 46%) at 2 y, 32% (95% CI: 29%, 32%) at 3 y, 28% (95% CI: 25%, 30%) at 4 y, and 21% (95% CI: 18%, 25%) at 5 y.
Weight reduction maintained over time. Values are weighted means (±95% CIs) for all subjects (▴), subjects consuming very-low-energy diets (•), and subjects consuming hypoenergetic balanced diets (▪). In the very-low-energy and hypoenergetic balanced diet groups, respectively, n = 298 and 152 at 1 y, 1307 and 650 at 2 y, 778 and 152 at 3 y, 688 and 152 at 4 y, and 337 and 36 at 5 y.
Weight reduction maintained over time. Values are weighted means (±95% CIs) for all subjects (▴), subjects consuming very-low-energy diets (•), and subjects consuming hypoenergetic balanced diets (▪). In the very-low-energy and hypoenergetic balanced diet groups, respectively, n = 298 and 152 at 1 y, 1307 and 650 at 2 y, 778 and 152 at 3 y, 688 and 152 at 4 y, and 337 and 36 at 5 y.
Weight-loss maintenance, percentage weight-loss maintenance, and reduced weight did not differ significantly between women and men at years 1–5 (data not shown). ANOVA testing indicated no significant differences between men and women when diets were considered. Also, the magnitude of the significant differences between the VLEDs and the HBDs were similar for women and men. VLED participants lost significantly more weight initially and maintained significantly greater weight losses than did HBD participants. As illustrated in Figure 1, VLED participants maintained significantly more weight loss in kilograms than did HBD participants. Percentage weight-loss maintenance was higher after VLEDs than after HBDs, but the differences were significant only at 1 y. Reduced weight was significantly greater at all years after VLEDs than after HBDs. Reduced weight values were as follows for the VLEDs and HBDs, respectively: 1 y, 16.1% (95% CI: 15.4%, 16.8%) and 7.2% (95% CI: 6.6%, 7.9%); 2 y, 9.7% (95% CI: 9.0%, 10.3%) and 4.2% (95% CI: 3.8%, 4.6%); 3 y, 7.8% (95% CI: 6.9%, 8.6%) and 3.5% (95% CI: 2.8%, 4.3%); 4 y, 7.0% (95% CI: 6.2%, 7.8%) and 2.8% (95% CI: 2.1%, 3.4%); and 5 y, 6.2% (95% CI: 5.0%, 7.4%) and 2.0% (95% CI: 1.4%, 2.6%).
After the HBDs, percentage weight-loss maintenance and reduced weight at 5 y were significantly lower than the values at 3 y, suggesting continued weight gain in this group between years 3 and 5 of follow-up. In contrast, after the VLEDs, weight-loss maintenance, percentage weight-loss maintenance, and reduced weight at 5 y did not differ significantly from the values at 3 y, suggesting that this group did not gain significant amounts of weight between 3 and 5 y of follow-up.
The weight-loss maintenance, percentage weight-loss maintenance, and reduced weight values for all groups are presented in Table 2. For most comparisons, differences between years 4 and 5 were not significant; analyzing data for the last available year, either year 4 or 5, also decreased heterogeneity.
Weight maintenance of all subjects and of selected subgroups1
| Group | Years of follow-up | No. of studies | No. of subjects | Initalweight2 | Weightloss2 | Weight-lossmaintenance3 | Percentage weight-lossmaintenance3 | Reduced weight3 |
|---|---|---|---|---|---|---|---|---|
| y | kg | kg | kg | % | % | |||
| All | 4.5 | 13 | 1081 | 98 | 14.00 | 3.00 (2.54, 3.45) | 23.40 (20.4, 26.4) | 3.15 (2.69, 3.62) |
| Men | 4.4 | 5 | 247 | 115 | 18.30 | 4.70 (2.86, 6.54) | 30.50 (21.5, 39.4) | 4.48 (2.89, 6.06) |
| Women | 4.4 | 6 | 534 | 95 | 16.60 | 4.66 (3.52, 5.80) | 23.60 (18.4, 28.8) | 4.67 (2.55, 5.79) |
| VLED | 4.5 | 4 | 578 | 106 | 24.10 | 7.05 (6.04, 8.06) | 29.40 (25.2, 33.6) | 6.59 (5.65, 7.54) |
| HBD | 4.5 | 8 | 448 | 93 | 8.80 | 1.99 (1.47, 2.51) | 17.80 (13.4, 22.2) | 2.11 (1.56, 2.65) |
| Lower exercise | 2.7 | 6 | 272 | 110 | 22.00 | 7.47 (6.29, 8.66) | 27.20 (22.8, 31.6) | 6.66 (5.61, 7.71) |
| Higher exercise | 2.7 | 6 | 220 | 110 | 20.90 | 14.99(13.48,16.49) | 53.80(48.4,59.2) | 12.49(11.24,13.74) |
| Group | Years of follow-up | No. of studies | No. of subjects | Initalweight2 | Weightloss2 | Weight-lossmaintenance3 | Percentage weight-lossmaintenance3 | Reduced weight3 |
|---|---|---|---|---|---|---|---|---|
| y | kg | kg | kg | % | % | |||
| All | 4.5 | 13 | 1081 | 98 | 14.00 | 3.00 (2.54, 3.45) | 23.40 (20.4, 26.4) | 3.15 (2.69, 3.62) |
| Men | 4.4 | 5 | 247 | 115 | 18.30 | 4.70 (2.86, 6.54) | 30.50 (21.5, 39.4) | 4.48 (2.89, 6.06) |
| Women | 4.4 | 6 | 534 | 95 | 16.60 | 4.66 (3.52, 5.80) | 23.60 (18.4, 28.8) | 4.67 (2.55, 5.79) |
| VLED | 4.5 | 4 | 578 | 106 | 24.10 | 7.05 (6.04, 8.06) | 29.40 (25.2, 33.6) | 6.59 (5.65, 7.54) |
| HBD | 4.5 | 8 | 448 | 93 | 8.80 | 1.99 (1.47, 2.51) | 17.80 (13.4, 22.2) | 2.11 (1.56, 2.65) |
| Lower exercise | 2.7 | 6 | 272 | 110 | 22.00 | 7.47 (6.29, 8.66) | 27.20 (22.8, 31.6) | 6.66 (5.61, 7.71) |
| Higher exercise | 2.7 | 6 | 220 | 110 | 20.90 | 14.99(13.48,16.49) | 53.80(48.4,59.2) | 12.49(11.24,13.74) |
Percentage weight-loss maintenance is as a percentage of initial weight loss and reduced weight is as a percentage of initial body weight. VLED, very-low-energy diet; HBD, hypoenergetic balanced diet.
x̄.
x̄; 95% CI in parentheses.
Weight maintenance of all subjects and of selected subgroups1
| Group | Years of follow-up | No. of studies | No. of subjects | Initalweight2 | Weightloss2 | Weight-lossmaintenance3 | Percentage weight-lossmaintenance3 | Reduced weight3 |
|---|---|---|---|---|---|---|---|---|
| y | kg | kg | kg | % | % | |||
| All | 4.5 | 13 | 1081 | 98 | 14.00 | 3.00 (2.54, 3.45) | 23.40 (20.4, 26.4) | 3.15 (2.69, 3.62) |
| Men | 4.4 | 5 | 247 | 115 | 18.30 | 4.70 (2.86, 6.54) | 30.50 (21.5, 39.4) | 4.48 (2.89, 6.06) |
| Women | 4.4 | 6 | 534 | 95 | 16.60 | 4.66 (3.52, 5.80) | 23.60 (18.4, 28.8) | 4.67 (2.55, 5.79) |
| VLED | 4.5 | 4 | 578 | 106 | 24.10 | 7.05 (6.04, 8.06) | 29.40 (25.2, 33.6) | 6.59 (5.65, 7.54) |
| HBD | 4.5 | 8 | 448 | 93 | 8.80 | 1.99 (1.47, 2.51) | 17.80 (13.4, 22.2) | 2.11 (1.56, 2.65) |
| Lower exercise | 2.7 | 6 | 272 | 110 | 22.00 | 7.47 (6.29, 8.66) | 27.20 (22.8, 31.6) | 6.66 (5.61, 7.71) |
| Higher exercise | 2.7 | 6 | 220 | 110 | 20.90 | 14.99(13.48,16.49) | 53.80(48.4,59.2) | 12.49(11.24,13.74) |
| Group | Years of follow-up | No. of studies | No. of subjects | Initalweight2 | Weightloss2 | Weight-lossmaintenance3 | Percentage weight-lossmaintenance3 | Reduced weight3 |
|---|---|---|---|---|---|---|---|---|
| y | kg | kg | kg | % | % | |||
| All | 4.5 | 13 | 1081 | 98 | 14.00 | 3.00 (2.54, 3.45) | 23.40 (20.4, 26.4) | 3.15 (2.69, 3.62) |
| Men | 4.4 | 5 | 247 | 115 | 18.30 | 4.70 (2.86, 6.54) | 30.50 (21.5, 39.4) | 4.48 (2.89, 6.06) |
| Women | 4.4 | 6 | 534 | 95 | 16.60 | 4.66 (3.52, 5.80) | 23.60 (18.4, 28.8) | 4.67 (2.55, 5.79) |
| VLED | 4.5 | 4 | 578 | 106 | 24.10 | 7.05 (6.04, 8.06) | 29.40 (25.2, 33.6) | 6.59 (5.65, 7.54) |
| HBD | 4.5 | 8 | 448 | 93 | 8.80 | 1.99 (1.47, 2.51) | 17.80 (13.4, 22.2) | 2.11 (1.56, 2.65) |
| Lower exercise | 2.7 | 6 | 272 | 110 | 22.00 | 7.47 (6.29, 8.66) | 27.20 (22.8, 31.6) | 6.66 (5.61, 7.71) |
| Higher exercise | 2.7 | 6 | 220 | 110 | 20.90 | 14.99(13.48,16.49) | 53.80(48.4,59.2) | 12.49(11.24,13.74) |
Percentage weight-loss maintenance is as a percentage of initial weight loss and reduced weight is as a percentage of initial body weight. VLED, very-low-energy diet; HBD, hypoenergetic balanced diet.
x̄.
x̄; 95% CI in parentheses.
Men were significantly heavier (x̄: 115 kg; 95% CI: 110, 120 kg) than were women (x̄;: 95 kg; 95% CI: 86, 104 kg) but weight losses did not differ significantly and patterns of weight regain were similar between the sexes. We noted no significant differences in weight-loss maintenance, percentage weight-loss maintenance, or reduced weight between women and men. Follow-up weights were available at 4–5 y (average: 4.4 y) for women from 6 studies and for men from 5 studies. At these 4–5-y follow-up points, the following comparisons were noted: weight-loss maintenance was 4.66 kg for women and 4.70 kg for men; percentage weight-loss maintenance was 23.60% for women and 30.50% for men; and reduced weight was 4.67% for women and 4.48% for men.
Four VLED-studies that included 578 participants provided follow-up data for 4 or 5 y. Eight HBD studies that included 448 participants provided follow-up data for 4 or 5 y. At an average of 4.5 y of follow-up, weight-loss maintenance, percentage weight-loss maintenance, and reduced weight were significantly lower with HBDs than VLEDs. These comparisons for VLEDs and HBDs, respectively, were as follows: weight-loss maintenance, 7.05 and 1.99 kg; percentage weight-loss maintenance, 29.40% and 17.80%; and reduced weight, 6.59% and 2.11%.
All 4 VLED studies reported weight losses of ≥20 kg and 5 HBD studies reported weight losses of <10 kg. Comparisons of the groups with weight losses of ≥20 kg with those with weight losses <10 kg were almost identical to the results of the comparisons of the VLEDs and HBDs. Duration of the initial structured weight-loss program was not significantly correlated with weight-loss maintenance, percentage weight-loss maintenance, or reduced weight. We could not match groups with maintenance programs to make meaningful comparisons.
Six studies (12,14,18,21,30,33) provided information related to the effects of exercise on weight-loss maintenance (Table 2). Initial body weights and weight losses did not differ significantly between lower and higher exercise groups. Follow-up weights were provided for patients for periods between 2 and 3.3 y (average: 2.7 y). The groups with higher amounts of exercise were significantly more successful in maintaining their weight loss than were the groups with lower amounts of physical activity. The values for lower exercise and higher exercise groups, respectively, were as follows: weight-loss maintenance, 7.47 and 14.99 kg; percentage weight-loss maintenance, 27.20% and 53.80%; and reduced weight, 6.66% and 12.49%.
According to the weighted regression model, 3 variables—follow-up at each year, diet, and sex—explained 61.6% of the variability of weight maintained. Further results of the multiple regression analysis showed that 61.7% of the variability in reduced weight and 50.0% of the variability in weight-loss maintained was explained by these same 3 variables.
DISCUSSION
This analysis of 5-y weight-loss maintenance indicates, on average, that obese individuals maintained weight losses of ≈3.0 kg, representing a reduced weight of ≈3.2% below initial body weight. These individuals were successfully maintaining a weight loss averaging ≈23.4% of their initial weight loss at 5 y. These average values are higher than those reported in earlier studies (24,32,35) and indicate that most individuals who participate in structured weight-loss programs in the United States of the type reported in the literature do not regain all of the weight lost at 5 y of follow-up. McGuire et al (49) reached similar conclusions from a random, cross-sectional telephone survey of US adults.
The weight-loss maintenance and reduced weight results reported here are limited by the observational design of the studies included. The interpretation of these results should take into consideration that the true effect of a weight-loss intervention could be best assessed in a long-term, randomized controlled clinical trial. In particular, the greatest limitation of these studies is the absence of an accurate estimation of weight changes in an identical untreated population. Thus, weight changes can only be compared with baseline body weights. The studies analyzed did not provide information on dieting practices between the weight-loss phase and the follow-up periods. Some of the subjects assessed did not complete their structured weight-loss program; thus, these results may not accurately reflect long-term maintenance of weight loss for compliant subjects who completed their structured weight-loss program.
These mean data can be compared with reports from Wadden and Frey (36) and our group (10) on the percentage of patients who successfully completed similar VLED programs. At 5 y, the success rates for maintaining a 5% reduction in body weight were as follows: 57.9% for men (36), 47.8% for women (36), and 40.2% for men and women (10). At 5 y, the success rates for maintaining a 10% reduction in body weight were as follows: 28.1% for men (36) and 31.3% for women (36). We (10) reported that 25% of our patients were maintaining a 10% reduction in body weight at 7 y.
After VLEDs or after weight losses of ≥20 kg, individuals maintained a significantly greater weight loss at 5 y than after HBDs or weight losses of ≤10 kg. Our analysis suggest that individuals are more likely to sustain long-term weight losses of ≥5% of initial body weight if they participate in VLEDs or lose ≥20 kg initially. This is not consistent with the common recommendation that individuals lose weight slowly and set initial weight-loss goals of ≈5% of their body weight (3,6).
These observations do not consider the possibility that individuals who participated in these weight-loss programs may have gained weight over the next 5 y if they had not participated. Previously, we (10) cited literature to suggest that untreated women are likely to gain 1 kg (50) to 3 kg (51) to 6 kg (52) over a 5-y period. Recently, Rothacker (53) added to this information base. Over a 5-y period, matched control subjects for a meal-replacement study gained ≈6.5 kg. Thus, participants in these structured programs maintaining a weight loss of 3 kg may actually be 4–10 kg below the weight they would have been if they had not participated in the structured program 5 y previously. Persons who participated in a VLED program or lost >20 kg may be maintaining a weight loss of 8–14 kg below their expected weight at 5 y of follow-up.
Our study confirmed the important role of exercise in weight-loss maintenance. Although persuasive prospective clinical trials have not been done to evaluate the long-term benefits of regular exercise for weight-loss maintenance, the 6 studies analyzed in this report and other extensive evidence (16,54–56) emphasize the importance of exercise in long-term weight maintenance.
Predictors of long-term weight-loss maintenance have not been clearly identified because, in large part, there is a paucity of long-term data to test hypotheses. Our observations provide data for further hypothesis development. Exercise appears to be positively related to successful weight-loss maintenance. Use of VLEDs or weight loss of ≥20 kg also was strongly related to long-term successful weight-loss maintenance. In this analysis we observed no significant difference in weight-loss maintenance or weight reduction between women and men. Although we detected no significant effects of the duration of the initial weight-loss program, the power of this meta-analysis was not adequate to detect differences between groups. The report from the National Weight Control Registry (57) indicates that selected individuals are successfully maintaining substantial amounts of weight loss over the long-term. Some of the characteristics of these successful weight-loss maintainers were a low intake of fat (24% of energy) and a high level of physical activity (equivalent to walking ≈28 miles/wk). The results of our analysis agree with these results but also suggest that successful weight loss of >20 kg may be an important contributor to weight maintenance. Research on the use of meal replacements (53,58) in maintaining weight loss and our clinical experience (L Gotthelf, LTP Stifler, and JW Anderson, unpublished observations, 2001) with meal replacements suggests that this may be another important weight-loss maintenance strategy.
In conclusion, this meta-analysis of 29 reports of long-term weight-loss maintenance indicated that weight-loss maintenance 4 or 5 y after a structured weight-loss program averages 3.0 kg or 23% of initial weight loss, representing a sustained reduction in body weight of 3.2%. Individuals who participated in a VLED program or lost ≥20 kg had a weight-loss maintenance at 4 or 5 y of 7 kg or 29% of initial weight loss, representing a sustained reduction in body weight of 6.6%. Although success in weight-loss maintenance has improved over the past decade, much more research is required to enable most individuals to sustain the lifestyle changes in physical activity and food choices necessary for successful weight maintenance.

