- Split View
-
Views
-
CiteCitation
Alicia Garcia-Falgueras, Dick F. Swaab; A sex difference in the hypothalamic uncinate nucleus: relationship to gender identity, Brain, Volume 131, Issue 12, 1 December 2008, Pages 3132–3146, https://doi.org/10.1093/brain/awn276
Download citation file:
© 2018 Oxford University Press
Close -
Share
Abstract
Transsexuality is an individual's unshakable conviction of belonging to the opposite sex, resulting in a request for sex-reassignment surgery. We have shown previously that the bed nucleus of the stria terminalis (BSTc) is female in size and neuron number in male-to-female transsexual people. In the present study we investigated the hypothalamic uncinate nucleus, which is composed of two subnuclei, namely interstitial nucleus of the anterior hypothalamus (INAH) 3 and 4. Post-mortem brain material was used from 42 subjects: 14 control males, 11 control females, 11 male-to-female transsexual people, 1 female-to-male transsexual subject and 5 non-transsexual subjects who were castrated because of prostate cancer. To identify and delineate the nuclei and determine their volume and shape we used three different stainings throughout the nuclei in every 15th section, i.e. thionin, neuropeptide Y and synaptophysin, using an image analysis system. The most pronounced differences were found in the INAH3 subnucleus. Its volume in thionin sections was 1.9 times larger in control males than in females (P< 0.013) and contained 2.3 times as many cells (P< 0.002). We showed for the first time that INAH3 volume and number of neurons of male-to-female transsexual people is similar to that of control females. The female-to-male transsexual subject had an INAH3 volume and number of neurons within the male control range, even though the treatment with testosterone had been stopped three years before death. The castrated men had an INAH3 volume and neuron number that was intermediate between males (volume and number of neurons P> 0.117) and females (volume P> 0.245 and number of neurons P> 0.341). There was no difference in INAH3 between pre-and post-menopausal women, either in the volume (P> 0.84) or in the number of neurons (P< 0.439), indicating that the feminization of the INAH3 of male-to-female transsexuals was not due to estrogen treatment. We propose that the sex reversal of the INAH3 in transsexual people is at least partly a marker of an early atypical sexual differentiation of the brain and that the changes in INAH3 and the BSTc may belong to a complex network that may structurally and functionally be related to gender identity.
Introduction
The human brain differentiates early in development both structurally and functionally in a sexually dimorphic way (Swaab, 2007). Clear structural sex differences in the central nucleus of the bed nucleus of the stria terminalis (BSTc) have previously been found by our group, both in its volume—as delineated by its vasoactive intestinal polypeptide innervation (Zhou et al., 1995)—and in its number of somatostatin immunoreactive neurons (Kruijver et al., 2000). Interestingly, both structural differences were found to be reversed in male-to-female transsexual people; they were not influenced by alterations in sex hormone levels in adulthood and not related to sexual orientation in males (Zhou et al., 1995; Kruijver et al., 2000). These observations suggested that the human BSTc shows an atypical brain development in patients diagnosed as transsexual. Our hypothesis was that, if a structural sex difference in the brain is reversed in transsexuals, and is not influenced by variations in adult levels of sex hormones, then the reversal may be caused by early developmental mechanisms. Our previous observations on the human BSTc suggest an atypical sexual differentiation of the hypothalamus in transsexual people.
Transsexuality is the most extreme gender-identity disorder, distinguished by the unshakable conviction of belonging to the opposite sex, which often leads to a request for sex-reassignment surgery (Blanchard, 1993; Cohen-Kettenis and Gooren, 1999). Most of the current hypotheses on the possible cause of transsexuality presume a combination of a genetic background and an early organizational effect on the interaction of sex hormones with the developing brain during critical fetal periods (Green and Keverne, 2000; Van Goozen et al., 2002; Swaab, 2003b, 2004; Henningsson et al., 2005; Bentz et al., 2008; Berglund et al., 2008; Ramachandran and McGeoch, 2007, 2008; Swaab, 2007). It should be noted that sexual differentiation of the brain occurs later in development and can, therefore, in principle be influenced independently of genital sexual differentiation (Swaab, 2007). The resulting modifications in brain structures in transsexual people are hypothesized to be the basis of the gender-identity disorder. Our BSTc findings support this hypothesis.
The current paper reports for the first time a sex reversal in transsexual people in the interstitial nucleus of the anterior hypothalamus (INAH) 3, a sexually dimorphic hypothalamic nucleus that was previously shown to be related to sexual orientation (LeVay, 1991; Byne et al., 2001). The INAH3, which is part of the uncinate nucleus, was firstly described by Braak and Braak in 1987. Recently, Koutcherov et al. (2007) proposed, on the basis of a study with immunocytochemical markers, that the uncinate is a single nucleus composed of two subnuclei that Allen et al. (1989) named INAH3 and INAH4. Koutcherov et al. (2007) also suggested that the uncinate nucleus was the homologue of the medial preoptic area (MPOC) of the rat central nucleus which, in the rat, projects to the principal subdivision of the bed nucleus of the stria terminalis (BSTpr) (De Olmos and Ingram, 1972; De Olmos et al., 1985; Simerly and Swanson, 1986; Dong and Swanson, 2006). We consider the rat BSTpr to be homologous to the human lateral BST (BSTl). Both nuclei (BST principal region in rats and BSTl in humans) immunocytochemically stain for neuropeptide Y (NPY) (Allen et al., 1984; Walter et al., 1991, Fig. 4A) and both are localized in the more caudal part of the BST, behind the level of the anterior commissure, close to the fornix and the internal capsule. In the rat brain, efferents from the medial preoptic area to the arcuate nucleus (Köves and Rethelyi, 1976) have also been described. The connected preoptic area, BST and arcuate nucleus, may participate in concerted neuroendocrine, reproductive and homeostatic responses (Dong and Swanson, 2006; Crown et al., 2007).
In the present study we identified the uncinate nucleus and its two subnuclei, INAH3 and INAH4, using immunocytochemical markers. The data show that there is indeed a sex difference in the INAH3 subnucleus that is reversed in transsexual people and is only partially influenced by alterations in sex hormone levels in adulthood. We propose that the uncinate nucleus may be part of a brain network that is involved in gender identity.
Materials and Methods
Patients
The hypothalamic region of 42 brains was obtained from the Netherlands Brain Bank (NBB), with informed consent for a brain autopsy and the use of the tissue and the clinical data for research purposes. We selected 25 brains from control patients (14 males and 11 females) without an endocrine, neurological or psychiatric disease. The control male and female patients were matched for sex, age (range males: 25–81 years, females: 21–82 years) post-mortem delay and fixation time (Table 1). Possible confounding factors such as post-mortem delay, fixation time and hour of death for the male, female, transsexual and castrated groups did not differ in Kruskal–Wallis and Mardia–Watson–Wheeler tests [P > 0.109; P > 0.08; Chi-square (df3) = 3.68; P > 0.2981, respectively]. A systematic neuropathological investigation of all the subjects was performed (cf. Van de Nes et al., 1998) by Dr W. Kamphorst (Free University, Amsterdam, The Netherlands).
Clinico-pathological information of control patients
| NBB number | Age | Brain weight (g) | Fixation time (days) | Length Uncinate (μm) | Postmortem delay (h:min) | Clock time at death | Month of death | Clinicopathological information |
|---|---|---|---|---|---|---|---|---|
| Control men | ||||||||
| 00-131 | 25 | 1500 | 44 | 1350 | 18:30 | 15:00 | 10 | Overdose heroin and cocaine |
| 97-075 | 33 | 1410 | 32 | 1428 | 18:45 | 14:15 | 5 | Brain damage following motor accident |
| 98-031 | 33 | 1588 | 72 | 1074 | <46:25 | 18:35 | 12 | Haematothorax following car accident |
| 81-014 | 42 | 1510 | 42 | 672 | 21:50 | 11:10 | 4 | Metastatic bronchus carcioma |
| 98-013 | 47 | 1307 | 28 | 1476 | 33:45 | 23:45 | 1 | Matastasised bronchuscarcinoma |
| 98-169 | 49 | 1730 | 35 | 1104 | 09:50 | 6:25 | 11 | Sudden death |
| 98-006 | 50 | 1436 | 41 | 708 | 8:30 | 11:00 | 1 | Cardiac arrest |
| 98-027 | 54 | 1350 | 59 | 2070 | <08:00 | 9:00 | 12 | Bronchopneumonia and sepsis |
| 97-103 | 55 | 1530 | 70 | 1218 | <41:45 | 23:15 | 6 | Pericarditis carcinomatosa |
| 98-090 | 58 | 1528 | 72 | 876 | <41:00 | NA | 4 | Sudden death |
| 92-042 | 61 | 2220 | 52 | 726 | 13:50 | 21:00 | 4 | Carcinoma of the oesophagus |
| 98-122 | 66 | 1461 | 49 | 1434 | <41:00 | NA | 6 | Septic shock |
| 00-090 | 70 | 1560 | 34 | 1332 | 07:45 | 8:00 | 7 | Bone metastases |
| 98-189 | 81 | 1276 | 33 | 1086 | 5:20 | 22:00 | 12 | Unspecified respiratory problems |
| Median | 52 | 1505 | 43 | 1182.4 | ||||
| Range | 25–81 | 1276–2220 | 28–72 | 672–2070 | ||||
| Mean ± SD | 52 ± 15 | 1529 ± 231.4 | 47.3 ± 15.5 | 1161 ± 378.7 | ||||
| Control women | ||||||||
| 01-009 | 21 | 975 | 65 | 1074 | 19:35 | 16:55 | 11 | Myocard infarction |
| 84-025 | 23 | 1300 | 35 | 1662 | <10:00 | 07:00 | 11 | Acute myeloid leukemia |
| 01-072 | 25 | 1500 | 31 | 768 | <17:00 | 00:00-03:00 | 5 | Found dead |
| 02-006 | 32 | 1287 | 45 | 954 | <41:00 | NA | 12 | Severe pulmonary hypertension |
| 91-009 | 36 | 1348 | 61 | 1842 | <71:30 | 17:30 | 3 | Faecal peritonitis |
| 97-131 | 43 | 1345 | 63 | 1032 | <92:00 | 21:00 | 7 | Myocard infarction |
| 01-011 | 46 | 1197 | 35 | 978 | 10:25 | 2:35 | 1 | Multiple organ failure |
| 98-125 | 58 | 991 | 41 | 816 | 6:15 | 6:30 | 8 | Multiple organ failure |
| 97-037 | 58 | 1221 | 28 | 2520 | 6:45 | 7:45 | 3 | Epileptic convulsions following craniotomy |
| 98-034 | 72 | NA | 56 | 1902 | 65:30 | 16:30 | 1 | Bronchopneumonia |
| 00-142 | 82 | 1280 | 36 | 2052 | 5:30 | 15:10 | 12 | Myocardial infarction |
| Median | 43 | 1283.5 | 41 | 1074 | ||||
| Range | 21–82 | 975–1500 | 28–65 | 768–2520 | ||||
| Mean ± SD | 45.1 ± 20.4 | 1244.4 ± 160.5 | 45.1 ± 13.7 | 1418.2 ± 596 | ||||
| NBB number | Age | Brain weight (g) | Fixation time (days) | Length Uncinate (μm) | Postmortem delay (h:min) | Clock time at death | Month of death | Clinicopathological information |
|---|---|---|---|---|---|---|---|---|
| Control men | ||||||||
| 00-131 | 25 | 1500 | 44 | 1350 | 18:30 | 15:00 | 10 | Overdose heroin and cocaine |
| 97-075 | 33 | 1410 | 32 | 1428 | 18:45 | 14:15 | 5 | Brain damage following motor accident |
| 98-031 | 33 | 1588 | 72 | 1074 | <46:25 | 18:35 | 12 | Haematothorax following car accident |
| 81-014 | 42 | 1510 | 42 | 672 | 21:50 | 11:10 | 4 | Metastatic bronchus carcioma |
| 98-013 | 47 | 1307 | 28 | 1476 | 33:45 | 23:45 | 1 | Matastasised bronchuscarcinoma |
| 98-169 | 49 | 1730 | 35 | 1104 | 09:50 | 6:25 | 11 | Sudden death |
| 98-006 | 50 | 1436 | 41 | 708 | 8:30 | 11:00 | 1 | Cardiac arrest |
| 98-027 | 54 | 1350 | 59 | 2070 | <08:00 | 9:00 | 12 | Bronchopneumonia and sepsis |
| 97-103 | 55 | 1530 | 70 | 1218 | <41:45 | 23:15 | 6 | Pericarditis carcinomatosa |
| 98-090 | 58 | 1528 | 72 | 876 | <41:00 | NA | 4 | Sudden death |
| 92-042 | 61 | 2220 | 52 | 726 | 13:50 | 21:00 | 4 | Carcinoma of the oesophagus |
| 98-122 | 66 | 1461 | 49 | 1434 | <41:00 | NA | 6 | Septic shock |
| 00-090 | 70 | 1560 | 34 | 1332 | 07:45 | 8:00 | 7 | Bone metastases |
| 98-189 | 81 | 1276 | 33 | 1086 | 5:20 | 22:00 | 12 | Unspecified respiratory problems |
| Median | 52 | 1505 | 43 | 1182.4 | ||||
| Range | 25–81 | 1276–2220 | 28–72 | 672–2070 | ||||
| Mean ± SD | 52 ± 15 | 1529 ± 231.4 | 47.3 ± 15.5 | 1161 ± 378.7 | ||||
| Control women | ||||||||
| 01-009 | 21 | 975 | 65 | 1074 | 19:35 | 16:55 | 11 | Myocard infarction |
| 84-025 | 23 | 1300 | 35 | 1662 | <10:00 | 07:00 | 11 | Acute myeloid leukemia |
| 01-072 | 25 | 1500 | 31 | 768 | <17:00 | 00:00-03:00 | 5 | Found dead |
| 02-006 | 32 | 1287 | 45 | 954 | <41:00 | NA | 12 | Severe pulmonary hypertension |
| 91-009 | 36 | 1348 | 61 | 1842 | <71:30 | 17:30 | 3 | Faecal peritonitis |
| 97-131 | 43 | 1345 | 63 | 1032 | <92:00 | 21:00 | 7 | Myocard infarction |
| 01-011 | 46 | 1197 | 35 | 978 | 10:25 | 2:35 | 1 | Multiple organ failure |
| 98-125 | 58 | 991 | 41 | 816 | 6:15 | 6:30 | 8 | Multiple organ failure |
| 97-037 | 58 | 1221 | 28 | 2520 | 6:45 | 7:45 | 3 | Epileptic convulsions following craniotomy |
| 98-034 | 72 | NA | 56 | 1902 | 65:30 | 16:30 | 1 | Bronchopneumonia |
| 00-142 | 82 | 1280 | 36 | 2052 | 5:30 | 15:10 | 12 | Myocardial infarction |
| Median | 43 | 1283.5 | 41 | 1074 | ||||
| Range | 21–82 | 975–1500 | 28–65 | 768–2520 | ||||
| Mean ± SD | 45.1 ± 20.4 | 1244.4 ± 160.5 | 45.1 ± 13.7 | 1418.2 ± 596 | ||||
NA = not available; NBB = Netherlands Brain Bank.
Clinico-pathological information of control patients
| NBB number | Age | Brain weight (g) | Fixation time (days) | Length Uncinate (μm) | Postmortem delay (h:min) | Clock time at death | Month of death | Clinicopathological information |
|---|---|---|---|---|---|---|---|---|
| Control men | ||||||||
| 00-131 | 25 | 1500 | 44 | 1350 | 18:30 | 15:00 | 10 | Overdose heroin and cocaine |
| 97-075 | 33 | 1410 | 32 | 1428 | 18:45 | 14:15 | 5 | Brain damage following motor accident |
| 98-031 | 33 | 1588 | 72 | 1074 | <46:25 | 18:35 | 12 | Haematothorax following car accident |
| 81-014 | 42 | 1510 | 42 | 672 | 21:50 | 11:10 | 4 | Metastatic bronchus carcioma |
| 98-013 | 47 | 1307 | 28 | 1476 | 33:45 | 23:45 | 1 | Matastasised bronchuscarcinoma |
| 98-169 | 49 | 1730 | 35 | 1104 | 09:50 | 6:25 | 11 | Sudden death |
| 98-006 | 50 | 1436 | 41 | 708 | 8:30 | 11:00 | 1 | Cardiac arrest |
| 98-027 | 54 | 1350 | 59 | 2070 | <08:00 | 9:00 | 12 | Bronchopneumonia and sepsis |
| 97-103 | 55 | 1530 | 70 | 1218 | <41:45 | 23:15 | 6 | Pericarditis carcinomatosa |
| 98-090 | 58 | 1528 | 72 | 876 | <41:00 | NA | 4 | Sudden death |
| 92-042 | 61 | 2220 | 52 | 726 | 13:50 | 21:00 | 4 | Carcinoma of the oesophagus |
| 98-122 | 66 | 1461 | 49 | 1434 | <41:00 | NA | 6 | Septic shock |
| 00-090 | 70 | 1560 | 34 | 1332 | 07:45 | 8:00 | 7 | Bone metastases |
| 98-189 | 81 | 1276 | 33 | 1086 | 5:20 | 22:00 | 12 | Unspecified respiratory problems |
| Median | 52 | 1505 | 43 | 1182.4 | ||||
| Range | 25–81 | 1276–2220 | 28–72 | 672–2070 | ||||
| Mean ± SD | 52 ± 15 | 1529 ± 231.4 | 47.3 ± 15.5 | 1161 ± 378.7 | ||||
| Control women | ||||||||
| 01-009 | 21 | 975 | 65 | 1074 | 19:35 | 16:55 | 11 | Myocard infarction |
| 84-025 | 23 | 1300 | 35 | 1662 | <10:00 | 07:00 | 11 | Acute myeloid leukemia |
| 01-072 | 25 | 1500 | 31 | 768 | <17:00 | 00:00-03:00 | 5 | Found dead |
| 02-006 | 32 | 1287 | 45 | 954 | <41:00 | NA | 12 | Severe pulmonary hypertension |
| 91-009 | 36 | 1348 | 61 | 1842 | <71:30 | 17:30 | 3 | Faecal peritonitis |
| 97-131 | 43 | 1345 | 63 | 1032 | <92:00 | 21:00 | 7 | Myocard infarction |
| 01-011 | 46 | 1197 | 35 | 978 | 10:25 | 2:35 | 1 | Multiple organ failure |
| 98-125 | 58 | 991 | 41 | 816 | 6:15 | 6:30 | 8 | Multiple organ failure |
| 97-037 | 58 | 1221 | 28 | 2520 | 6:45 | 7:45 | 3 | Epileptic convulsions following craniotomy |
| 98-034 | 72 | NA | 56 | 1902 | 65:30 | 16:30 | 1 | Bronchopneumonia |
| 00-142 | 82 | 1280 | 36 | 2052 | 5:30 | 15:10 | 12 | Myocardial infarction |
| Median | 43 | 1283.5 | 41 | 1074 | ||||
| Range | 21–82 | 975–1500 | 28–65 | 768–2520 | ||||
| Mean ± SD | 45.1 ± 20.4 | 1244.4 ± 160.5 | 45.1 ± 13.7 | 1418.2 ± 596 | ||||
| NBB number | Age | Brain weight (g) | Fixation time (days) | Length Uncinate (μm) | Postmortem delay (h:min) | Clock time at death | Month of death | Clinicopathological information |
|---|---|---|---|---|---|---|---|---|
| Control men | ||||||||
| 00-131 | 25 | 1500 | 44 | 1350 | 18:30 | 15:00 | 10 | Overdose heroin and cocaine |
| 97-075 | 33 | 1410 | 32 | 1428 | 18:45 | 14:15 | 5 | Brain damage following motor accident |
| 98-031 | 33 | 1588 | 72 | 1074 | <46:25 | 18:35 | 12 | Haematothorax following car accident |
| 81-014 | 42 | 1510 | 42 | 672 | 21:50 | 11:10 | 4 | Metastatic bronchus carcioma |
| 98-013 | 47 | 1307 | 28 | 1476 | 33:45 | 23:45 | 1 | Matastasised bronchuscarcinoma |
| 98-169 | 49 | 1730 | 35 | 1104 | 09:50 | 6:25 | 11 | Sudden death |
| 98-006 | 50 | 1436 | 41 | 708 | 8:30 | 11:00 | 1 | Cardiac arrest |
| 98-027 | 54 | 1350 | 59 | 2070 | <08:00 | 9:00 | 12 | Bronchopneumonia and sepsis |
| 97-103 | 55 | 1530 | 70 | 1218 | <41:45 | 23:15 | 6 | Pericarditis carcinomatosa |
| 98-090 | 58 | 1528 | 72 | 876 | <41:00 | NA | 4 | Sudden death |
| 92-042 | 61 | 2220 | 52 | 726 | 13:50 | 21:00 | 4 | Carcinoma of the oesophagus |
| 98-122 | 66 | 1461 | 49 | 1434 | <41:00 | NA | 6 | Septic shock |
| 00-090 | 70 | 1560 | 34 | 1332 | 07:45 | 8:00 | 7 | Bone metastases |
| 98-189 | 81 | 1276 | 33 | 1086 | 5:20 | 22:00 | 12 | Unspecified respiratory problems |
| Median | 52 | 1505 | 43 | 1182.4 | ||||
| Range | 25–81 | 1276–2220 | 28–72 | 672–2070 | ||||
| Mean ± SD | 52 ± 15 | 1529 ± 231.4 | 47.3 ± 15.5 | 1161 ± 378.7 | ||||
| Control women | ||||||||
| 01-009 | 21 | 975 | 65 | 1074 | 19:35 | 16:55 | 11 | Myocard infarction |
| 84-025 | 23 | 1300 | 35 | 1662 | <10:00 | 07:00 | 11 | Acute myeloid leukemia |
| 01-072 | 25 | 1500 | 31 | 768 | <17:00 | 00:00-03:00 | 5 | Found dead |
| 02-006 | 32 | 1287 | 45 | 954 | <41:00 | NA | 12 | Severe pulmonary hypertension |
| 91-009 | 36 | 1348 | 61 | 1842 | <71:30 | 17:30 | 3 | Faecal peritonitis |
| 97-131 | 43 | 1345 | 63 | 1032 | <92:00 | 21:00 | 7 | Myocard infarction |
| 01-011 | 46 | 1197 | 35 | 978 | 10:25 | 2:35 | 1 | Multiple organ failure |
| 98-125 | 58 | 991 | 41 | 816 | 6:15 | 6:30 | 8 | Multiple organ failure |
| 97-037 | 58 | 1221 | 28 | 2520 | 6:45 | 7:45 | 3 | Epileptic convulsions following craniotomy |
| 98-034 | 72 | NA | 56 | 1902 | 65:30 | 16:30 | 1 | Bronchopneumonia |
| 00-142 | 82 | 1280 | 36 | 2052 | 5:30 | 15:10 | 12 | Myocardial infarction |
| Median | 43 | 1283.5 | 41 | 1074 | ||||
| Range | 21–82 | 975–1500 | 28–65 | 768–2520 | ||||
| Mean ± SD | 45.1 ± 20.4 | 1244.4 ± 160.5 | 45.1 ± 13.7 | 1418.2 ± 596 | ||||
NA = not available; NBB = Netherlands Brain Bank.
The effect of gender identity on the uncinate nucleus was studied in the transsexual group (age range 26–84 years old) that consisted of 10 male-to-female transsexual persons (eight surgically and hormonally intervened and two not orchidectomized but hormonally treated), and one person with gender-identity disorder who was not treated hormonally. In addition there was one female-to-male homosexual transsexual person who was also measured but not included in the statistical analyses (Table 2). The transsexual diagnosis was performed by the Gender Team (Free University of Amsterdam), including interviews with psychologists and psychiatrists, according to the DSM-IV criteria. Seven of these transsexual subjects were the same as used in the earlier study by Kruijver et al. (2000) (T1, T2, T3, T4, T5, T6, female-to-male) and so was the gender-identity disorder subject (S7), while four new male-to-female transsexual people were also included (T7, T8, T9, T10). We also distinguished the male-to-female transsexual people according to their sexual orientation following the Blanchard classification (Blanchard, 1989; Smith et al., 2005), taking into account their clinical information, their biological sex and the biological sex of their sexual partners (Table 2).
Clinico-pathological information of transsexual patients
| NBB number | Symbol | Age | Brain weight (g) | Fixation time (days) | Length Uncinate (μm) | Sexual orientation | Blanchard category | GID type: onset | Age beginning hormone treatment | Age castration | Postmorten delay (h:min) | Clinicopathological information |
|---|---|---|---|---|---|---|---|---|---|---|---|---|
| 98-137 | T7 | 26 | 1500 | NA | 636 | Male orientated | Homosexual | Early | 21 | 26 | NA | Suicide |
| 93-042 | T4 | 36 | 1145 | 31 | 1284 | Toward both | Non-homosexual | Not known | 36 | Not operated | 21:43 | Pneumonia |
| 88-064 | T3 | 43 | 1540 | NA | 1854 | Female orientated | Non-homosexual | Late | 35 | 39 | NA | Neurosarcoma |
| 84-037 | T2 | 44 | 1450 | NA | 846 | Not known | Not known | Early | 36 | 37 | NA | Cardiovascular death |
| 95-018 | T6 | 48 | 1198 | 36 | 636 | Toward both | Non-homosexual | Early | 35 | 36 | <40:20 | Cardiac arrest |
| 84-020 | T1 | 50 | 1380 | 30 | 840 | Toward both | Non-homosexual | Early | 42 | 44 | NA | Suicide |
| 93-070 | T5 | 53 | 1500 | 34 | 1824 | Female orientated | Non-homosexual | Early | 50 | 51 | <100 | Acute fatty liver |
| 04-074 | T8 | 55 | 1321 | 33 | 2478 | Not known | Not known | Early | 55 | Not operated | 05:25 | Lung cancer |
| 07-021 | T9 | 58 | 1358 | 37 | 876 | Not known | Not known | Not known | 43 | 46 | 7:25 | Renal cell carcinoma |
| 98-141 | T10 | 74 | 1118 | 33 | 1674 | Female orientated | Non-homosexual | Early | 64 | 65 | 40:55 | Multiple cerebral infarction |
| 83-004 | S7 | 84 | 1433 | 38 | 2112 | Female orientated | Non-homosexual | Early | No treatment at all | Not operated | 40:55 | Lung carcinoma |
| 98-138 | FMT | 51 | 1171 | 32 | 1182 | Female orientated | Homosexual | Early | 28–48 Androgen treatment | 29 Ovariectomy | 4:15 | Cachexia for multiple disorders |
| Median | 50.5 | 1380 | 33 | 1233 | ||||||||
| Range | 26–84 | 1118–1540 | 30–38 | 636–2478 | ||||||||
| Mean ± SD | 51.8 ± 15.5 | 1341.5 ± 158 | 33 ± 2.7 | 1353 ± 619.9 |
| NBB number | Symbol | Age | Brain weight (g) | Fixation time (days) | Length Uncinate (μm) | Sexual orientation | Blanchard category | GID type: onset | Age beginning hormone treatment | Age castration | Postmorten delay (h:min) | Clinicopathological information |
|---|---|---|---|---|---|---|---|---|---|---|---|---|
| 98-137 | T7 | 26 | 1500 | NA | 636 | Male orientated | Homosexual | Early | 21 | 26 | NA | Suicide |
| 93-042 | T4 | 36 | 1145 | 31 | 1284 | Toward both | Non-homosexual | Not known | 36 | Not operated | 21:43 | Pneumonia |
| 88-064 | T3 | 43 | 1540 | NA | 1854 | Female orientated | Non-homosexual | Late | 35 | 39 | NA | Neurosarcoma |
| 84-037 | T2 | 44 | 1450 | NA | 846 | Not known | Not known | Early | 36 | 37 | NA | Cardiovascular death |
| 95-018 | T6 | 48 | 1198 | 36 | 636 | Toward both | Non-homosexual | Early | 35 | 36 | <40:20 | Cardiac arrest |
| 84-020 | T1 | 50 | 1380 | 30 | 840 | Toward both | Non-homosexual | Early | 42 | 44 | NA | Suicide |
| 93-070 | T5 | 53 | 1500 | 34 | 1824 | Female orientated | Non-homosexual | Early | 50 | 51 | <100 | Acute fatty liver |
| 04-074 | T8 | 55 | 1321 | 33 | 2478 | Not known | Not known | Early | 55 | Not operated | 05:25 | Lung cancer |
| 07-021 | T9 | 58 | 1358 | 37 | 876 | Not known | Not known | Not known | 43 | 46 | 7:25 | Renal cell carcinoma |
| 98-141 | T10 | 74 | 1118 | 33 | 1674 | Female orientated | Non-homosexual | Early | 64 | 65 | 40:55 | Multiple cerebral infarction |
| 83-004 | S7 | 84 | 1433 | 38 | 2112 | Female orientated | Non-homosexual | Early | No treatment at all | Not operated | 40:55 | Lung carcinoma |
| 98-138 | FMT | 51 | 1171 | 32 | 1182 | Female orientated | Homosexual | Early | 28–48 Androgen treatment | 29 Ovariectomy | 4:15 | Cachexia for multiple disorders |
| Median | 50.5 | 1380 | 33 | 1233 | ||||||||
| Range | 26–84 | 1118–1540 | 30–38 | 636–2478 | ||||||||
| Mean ± SD | 51.8 ± 15.5 | 1341.5 ± 158 | 33 ± 2.7 | 1353 ± 619.9 |
GID = gender identity disorder; Homosexual = sexual orientation towards the same (genetic) sex; NA = not available; FMT = female to male transsexual; NBB = Netherlands Brain Bank.
Clinico-pathological information of transsexual patients
| NBB number | Symbol | Age | Brain weight (g) | Fixation time (days) | Length Uncinate (μm) | Sexual orientation | Blanchard category | GID type: onset | Age beginning hormone treatment | Age castration | Postmorten delay (h:min) | Clinicopathological information |
|---|---|---|---|---|---|---|---|---|---|---|---|---|
| 98-137 | T7 | 26 | 1500 | NA | 636 | Male orientated | Homosexual | Early | 21 | 26 | NA | Suicide |
| 93-042 | T4 | 36 | 1145 | 31 | 1284 | Toward both | Non-homosexual | Not known | 36 | Not operated | 21:43 | Pneumonia |
| 88-064 | T3 | 43 | 1540 | NA | 1854 | Female orientated | Non-homosexual | Late | 35 | 39 | NA | Neurosarcoma |
| 84-037 | T2 | 44 | 1450 | NA | 846 | Not known | Not known | Early | 36 | 37 | NA | Cardiovascular death |
| 95-018 | T6 | 48 | 1198 | 36 | 636 | Toward both | Non-homosexual | Early | 35 | 36 | <40:20 | Cardiac arrest |
| 84-020 | T1 | 50 | 1380 | 30 | 840 | Toward both | Non-homosexual | Early | 42 | 44 | NA | Suicide |
| 93-070 | T5 | 53 | 1500 | 34 | 1824 | Female orientated | Non-homosexual | Early | 50 | 51 | <100 | Acute fatty liver |
| 04-074 | T8 | 55 | 1321 | 33 | 2478 | Not known | Not known | Early | 55 | Not operated | 05:25 | Lung cancer |
| 07-021 | T9 | 58 | 1358 | 37 | 876 | Not known | Not known | Not known | 43 | 46 | 7:25 | Renal cell carcinoma |
| 98-141 | T10 | 74 | 1118 | 33 | 1674 | Female orientated | Non-homosexual | Early | 64 | 65 | 40:55 | Multiple cerebral infarction |
| 83-004 | S7 | 84 | 1433 | 38 | 2112 | Female orientated | Non-homosexual | Early | No treatment at all | Not operated | 40:55 | Lung carcinoma |
| 98-138 | FMT | 51 | 1171 | 32 | 1182 | Female orientated | Homosexual | Early | 28–48 Androgen treatment | 29 Ovariectomy | 4:15 | Cachexia for multiple disorders |
| Median | 50.5 | 1380 | 33 | 1233 | ||||||||
| Range | 26–84 | 1118–1540 | 30–38 | 636–2478 | ||||||||
| Mean ± SD | 51.8 ± 15.5 | 1341.5 ± 158 | 33 ± 2.7 | 1353 ± 619.9 |
| NBB number | Symbol | Age | Brain weight (g) | Fixation time (days) | Length Uncinate (μm) | Sexual orientation | Blanchard category | GID type: onset | Age beginning hormone treatment | Age castration | Postmorten delay (h:min) | Clinicopathological information |
|---|---|---|---|---|---|---|---|---|---|---|---|---|
| 98-137 | T7 | 26 | 1500 | NA | 636 | Male orientated | Homosexual | Early | 21 | 26 | NA | Suicide |
| 93-042 | T4 | 36 | 1145 | 31 | 1284 | Toward both | Non-homosexual | Not known | 36 | Not operated | 21:43 | Pneumonia |
| 88-064 | T3 | 43 | 1540 | NA | 1854 | Female orientated | Non-homosexual | Late | 35 | 39 | NA | Neurosarcoma |
| 84-037 | T2 | 44 | 1450 | NA | 846 | Not known | Not known | Early | 36 | 37 | NA | Cardiovascular death |
| 95-018 | T6 | 48 | 1198 | 36 | 636 | Toward both | Non-homosexual | Early | 35 | 36 | <40:20 | Cardiac arrest |
| 84-020 | T1 | 50 | 1380 | 30 | 840 | Toward both | Non-homosexual | Early | 42 | 44 | NA | Suicide |
| 93-070 | T5 | 53 | 1500 | 34 | 1824 | Female orientated | Non-homosexual | Early | 50 | 51 | <100 | Acute fatty liver |
| 04-074 | T8 | 55 | 1321 | 33 | 2478 | Not known | Not known | Early | 55 | Not operated | 05:25 | Lung cancer |
| 07-021 | T9 | 58 | 1358 | 37 | 876 | Not known | Not known | Not known | 43 | 46 | 7:25 | Renal cell carcinoma |
| 98-141 | T10 | 74 | 1118 | 33 | 1674 | Female orientated | Non-homosexual | Early | 64 | 65 | 40:55 | Multiple cerebral infarction |
| 83-004 | S7 | 84 | 1433 | 38 | 2112 | Female orientated | Non-homosexual | Early | No treatment at all | Not operated | 40:55 | Lung carcinoma |
| 98-138 | FMT | 51 | 1171 | 32 | 1182 | Female orientated | Homosexual | Early | 28–48 Androgen treatment | 29 Ovariectomy | 4:15 | Cachexia for multiple disorders |
| Median | 50.5 | 1380 | 33 | 1233 | ||||||||
| Range | 26–84 | 1118–1540 | 30–38 | 636–2478 | ||||||||
| Mean ± SD | 51.8 ± 15.5 | 1341.5 ± 158 | 33 ± 2.7 | 1353 ± 619.9 |
GID = gender identity disorder; Homosexual = sexual orientation towards the same (genetic) sex; NA = not available; FMT = female to male transsexual; NBB = Netherlands Brain Bank.
In order to test the influence of changing circulating sex hormone levels in adulthood on the uncinate nucleus and its subnuclei, separate analyses were performed. For the effect of testosterone, five male patients who were castrated because of prostate cancer (S3, S5, S8, S9, S10; age range: 67–82 years) (Table 3) were analysed and compared to five patients from each of the male and female control groups matched for age (Table 3). Two of the castrated patients (S3 and S5) had already been studied by Zhou et al. (1995) and Kruijver et al. (2000). In order to determine the possible effect of estrogens in adulthood, we compared premenopausal women, between the ages of 21 and 46 years (N = 7) with post-menopausal women between the ages of 58 and 82 years (N = 4).
Clinico-pathological information of prostate carcinoma patients
| NBB number | Symbol | Age | Brain weight (g) | Fixation time (days) | Length Uncinate (m) | Postmortem delay (h:min) | Clock time at death | Month of death | Age bilateral orchidectomy/ hormone change | Clinicopathological information |
|---|---|---|---|---|---|---|---|---|---|---|
| 89-103 | S3 | 67 | 1290 | 28 | 1542 | 24:00 | ? | 12 | 67 (4 months before death) | Carcinoma of pancreas and prostate |
| 97-157 | S8 | 69 | 1475 | 45 | 1590 | 5:55 | 11:20 | 11 | 66 | Metastasis with prostate carcinoma |
| 95-062 | S9 | 80 | 1400 | 24 | 1224 | 4:30 | 14:30 | 6 | 75 (Radiotherapy) | Renal insufficiency and prostate carcinoma |
| 94-109 | S10 | 82 | 1110 | 32 | 1620 | 5:35 | 3:00 | 10 | None | Respiratory insufficiency and prostate carcinoma |
| 94-090 | S5 | 86 | 1663 | 93 | 2208 | 3:00 | 2:00 | 8 | 86 (20 months before death) | Lung and prostate carcinoma |
| Median | 80 | 1400 | 32 | 1590 | ||||||
| Range | 67–86 | 1110–1663 | 24–93 | 1224–2208 | ||||||
| Mean ± SD | 76.8 ± 8.4 | 1387 ± 206.3 | 44 ± 28.3 | 1636 ± 356.4 |
| NBB number | Symbol | Age | Brain weight (g) | Fixation time (days) | Length Uncinate (m) | Postmortem delay (h:min) | Clock time at death | Month of death | Age bilateral orchidectomy/ hormone change | Clinicopathological information |
|---|---|---|---|---|---|---|---|---|---|---|
| 89-103 | S3 | 67 | 1290 | 28 | 1542 | 24:00 | ? | 12 | 67 (4 months before death) | Carcinoma of pancreas and prostate |
| 97-157 | S8 | 69 | 1475 | 45 | 1590 | 5:55 | 11:20 | 11 | 66 | Metastasis with prostate carcinoma |
| 95-062 | S9 | 80 | 1400 | 24 | 1224 | 4:30 | 14:30 | 6 | 75 (Radiotherapy) | Renal insufficiency and prostate carcinoma |
| 94-109 | S10 | 82 | 1110 | 32 | 1620 | 5:35 | 3:00 | 10 | None | Respiratory insufficiency and prostate carcinoma |
| 94-090 | S5 | 86 | 1663 | 93 | 2208 | 3:00 | 2:00 | 8 | 86 (20 months before death) | Lung and prostate carcinoma |
| Median | 80 | 1400 | 32 | 1590 | ||||||
| Range | 67–86 | 1110–1663 | 24–93 | 1224–2208 | ||||||
| Mean ± SD | 76.8 ± 8.4 | 1387 ± 206.3 | 44 ± 28.3 | 1636 ± 356.4 |
NBB = Netherlands Brain Bank.
Clinico-pathological information of prostate carcinoma patients
| NBB number | Symbol | Age | Brain weight (g) | Fixation time (days) | Length Uncinate (m) | Postmortem delay (h:min) | Clock time at death | Month of death | Age bilateral orchidectomy/ hormone change | Clinicopathological information |
|---|---|---|---|---|---|---|---|---|---|---|
| 89-103 | S3 | 67 | 1290 | 28 | 1542 | 24:00 | ? | 12 | 67 (4 months before death) | Carcinoma of pancreas and prostate |
| 97-157 | S8 | 69 | 1475 | 45 | 1590 | 5:55 | 11:20 | 11 | 66 | Metastasis with prostate carcinoma |
| 95-062 | S9 | 80 | 1400 | 24 | 1224 | 4:30 | 14:30 | 6 | 75 (Radiotherapy) | Renal insufficiency and prostate carcinoma |
| 94-109 | S10 | 82 | 1110 | 32 | 1620 | 5:35 | 3:00 | 10 | None | Respiratory insufficiency and prostate carcinoma |
| 94-090 | S5 | 86 | 1663 | 93 | 2208 | 3:00 | 2:00 | 8 | 86 (20 months before death) | Lung and prostate carcinoma |
| Median | 80 | 1400 | 32 | 1590 | ||||||
| Range | 67–86 | 1110–1663 | 24–93 | 1224–2208 | ||||||
| Mean ± SD | 76.8 ± 8.4 | 1387 ± 206.3 | 44 ± 28.3 | 1636 ± 356.4 |
| NBB number | Symbol | Age | Brain weight (g) | Fixation time (days) | Length Uncinate (m) | Postmortem delay (h:min) | Clock time at death | Month of death | Age bilateral orchidectomy/ hormone change | Clinicopathological information |
|---|---|---|---|---|---|---|---|---|---|---|
| 89-103 | S3 | 67 | 1290 | 28 | 1542 | 24:00 | ? | 12 | 67 (4 months before death) | Carcinoma of pancreas and prostate |
| 97-157 | S8 | 69 | 1475 | 45 | 1590 | 5:55 | 11:20 | 11 | 66 | Metastasis with prostate carcinoma |
| 95-062 | S9 | 80 | 1400 | 24 | 1224 | 4:30 | 14:30 | 6 | 75 (Radiotherapy) | Renal insufficiency and prostate carcinoma |
| 94-109 | S10 | 82 | 1110 | 32 | 1620 | 5:35 | 3:00 | 10 | None | Respiratory insufficiency and prostate carcinoma |
| 94-090 | S5 | 86 | 1663 | 93 | 2208 | 3:00 | 2:00 | 8 | 86 (20 months before death) | Lung and prostate carcinoma |
| Median | 80 | 1400 | 32 | 1590 | ||||||
| Range | 67–86 | 1110–1663 | 24–93 | 1224–2208 | ||||||
| Mean ± SD | 76.8 ± 8.4 | 1387 ± 206.3 | 44 ± 28.3 | 1636 ± 356.4 |
NBB = Netherlands Brain Bank.
Histology
Following the autopsy, the hypothalamic region of the brain was fixed in 4% formaldehyde (pH 7.2) for 1–2 months (Tables 1–3) at room temperature and then dehydrated and embedded in paraffin. Coronal sections of 6 µm were then serially cut on a Leitz microtome (Leitz, Wetzlar, Germany). At a distance of every 15th section, three sections were selected for thionin and immunocytochemical stainings, stretched and mounted on SuperFrost/Plus (Menzel, Germany) slides, and subsequently dried overnight on a hot plate at 58°C. The region of the uncinate nucleus in the preoptic area was determined microscopically by the use of the human brain atlas (Mai et al., 2004) and the localization was confirmed by immunocytochemistry. Thionin-stained sections (12 ± 3 sections per patient) were obtained at regular distances, approximately every 90 µm, over more than the entire length of the uncinate for length determination. Subsequently, sections adjacent to the thionin-stained sections were immunocytochemically stained for NPY (anti-NPY) and synaptophysin (anti-SYN) (Fig. 1) as described later.
Representative photomicrographs depicting the uncinate nucleus in a thionin (A), NPY (B) or SYN (C) staining. NBB (Netherlands Brain Bank) # 98169, man 49 years old, INAH3 and 4: interstitial nuclei of the anterior hypothalamus 3 and 4, 3V: third ventricle. Scale bar = 500 µm. The insert in (A) is indicating the INAH3 and INAH4 subdivisions (shown by dotted line) that are characterized by a denser NPY and SYN innervation in (B) and (C). Scale bar = 63 μm.
Representative photomicrographs depicting the uncinate nucleus in a thionin (A), NPY (B) or SYN (C) staining. NBB (Netherlands Brain Bank) # 98169, man 49 years old, INAH3 and 4: interstitial nuclei of the anterior hypothalamus 3 and 4, 3V: third ventricle. Scale bar = 500 µm. The insert in (A) is indicating the INAH3 and INAH4 subdivisions (shown by dotted line) that are characterized by a denser NPY and SYN innervation in (B) and (C). Scale bar = 63 μm.
Immunocytochemistry
The sections were deparaffinized and rehydrated through xylene and decreasing grades of ethanol and rinsed in aquadest and in Tris-buffered saline (TBS; 0.05M Tris and 0.9% NaCl; pH 7.6).
Neuropeptide Y staining
The sections were pre-incubated for 1 h in TBS-milk [5% non-fat dry milk (Elk, Campina, Melkune, Eindhoven, The Netherlands)] at room temperature. Subsequently, a circle was drawn around the sections with a Dakopen (Glostrup, Denmark) to prevent the antibody diffusion. Primary antiserum [rabbit-anti-porcine-NPY, polyclonal (Niepke 26/11/1988, Netherlands Institute for Neuroscience)] diluted in Supermix-milk (a solution of 0.5% Triton X-100, 0.25% gelatin, 5% milk powder in TBS, pH 7.6) was added at a concentration of 1:1000 (NPY) for 1 h at room temperature, followed by an overnight incubation at 4°C. The next day, after rinsing in TBS-milk and TBS, sections were incubated in goat antirabbit biotylinated IgG (Vector Laboratories, Burlingame, CA, USA; cat.no. BA-1000) 1:400 in SUMI (a solution of 0.5% Triton X-100 and 0.25% gelatin in TBS, pH 7.6) for 1 h. Sections were rinsed and incubated in avidin–biotin–peroxidase complex (ABC Elite Kit; Vector Laboratories) 1:800 in SUMI for 1 h. The ABC reaction was visualized by incubation in DAB–nickel solution 0.5 mg/ml 3,3-diaminobenzidine [(Sigma Chemical, St Louis, MO, USA) 0.01% H2O2, 2.33 mg/ml ammonium nickel sulfate in TBS at room temperature for 20 min, then rinsed, dehydrated, cleared in xylene and finally coverslipped with Entellan mounting medium (Merck, Darmstadt, Germany).
SYN staining
The monoclonal SYN antibody (Chemicon International, clone SY 38) was diluted in Supermix (SUMI, pH 7.6) (0.5% Triton X-100 and 0.25% gelatin in TBS) at a concentration of 1:1000. A circle was drawn around the sections with a Dakopen (Glostrup, Denmark) to prevent the antibody diffusion and then the antibody was added for 1 h at room temperature and subsequently incubated overnight at 4°C. The next day the sections were washed in TBS and incubated with the secondary antimouse biotinylated IgG (Vector Laboratories, Burlingame, CA, USA cat.no. BA-2000) 1:400 in SUMI for 1 h at room temperature. Then the sections were washed in TBS and incubated with avidin–biotin complex (Elite, ABC kit, Vector Laboratories), 1:800 in SUMI for 1 h. For ABC reaction, slices were rinsed in TBS and incubated in Tris–HCL containing 0.5 mg/ml 3,3′-diaminobenzidine [(Sigma Chemical, St Louis, MO, USA), 0,01% H2O2 and 0.2% nickel ammonium sulphate)] for 20 min at room temperature. Finally the sections were rinsed, dehydrated in graded ethanols, cleared in xylene and coverslipped with Entellan (Merck, Darmstadt, Germany).
Thionin
The sections were immersed in a thionin solution (0.5% thionin dissolved in aquadest containing 1% acetic acid, pH 2.4) for 10–15 min. The Nissl-stained sections were rinsed, dehydrated in graded ethanols, cleared in xylene and coverslipped with Entellan (Merck, Darmstadt, Germany).
Morphometry
The volume of the uncinate nucleus was estimated unilaterally by measuring cross-sectional areas (in µm2) delineated by thionin, NPY and SYN innervations (Fig. 1) in every 15th section, that were sampled in a randomized systematic way. The localization of the nucleus and its borders was defined on the basis of the three stainings. If the borders of the nucleus were not easily distinguishable in one section, the decision on the border was made by comparing adjacent thionin and/or immunocytochemically stained sections. The angle under which the hypothalamus was cut was comparable among the individuals and not systematically different between the various groups. Cross-sectional digital images were made using a 5× objective (Plan–Neofluar lenses) on a Zeiss Axioscope microscope mounted with a black and white CDD videocamera (Sony-XC77) and connected to an ImageProPlus version 5.1 image analysis system (MediaCybernetics, Silver Spring, MD, USA). All images were collected with exactly the same settings of the camera microscope and the images were optimized with the same brightness/contrast setting values. The contour of the uncinate nucleus was manually outlined by one investigator (AGF) with a cursor from rostral to caudal, in the three different stainings. The subsequent processing and the morphometric analysis of each staining volumes were done without the investigator knowing to which group each patient belonged. For every outlined section in each different staining the area was measured and the total volume analysis of the uncinate nucleus was determined according to the Cavalieri principle, taking into account the area measured in each section, the distance between sections and the thickness of the sections (6 μm) (Gundersen et al., 1988). For these calculations a homemade program (IC95) was used.
To determine the density of the neurons in thionin sections (cells/mm3) a low-magnification image (2.5× objective of the microscope) covering the INAH3 in thionin was obtained for each section. Per subject we used thionin sections at three levels in the INAH3, i.e. the central section that had the largest surface area and the two adjacent sections. Pilot data, measuring neuronal density from rostral to caudal throughout the INAH3, showed that the density values were independent of the level in this nucleus. In these experiments no difference was found in the densities in the central sections (three sections) compared to the density in the whole rostro-caudal structure (11 sections) (P > 0.735). The loaded image of INAH3 was outlined manually and the image analyser generated a grid of rectangular fields covering the area of interest, which was analysed further in a higher magnification (×40 objective), by a random and systematic sampling (50% of fields) procedure. In each field, the area previously outlined, the inclusion and exclusion lines and the presence of a nucleolus (in order to prevent double counting) were the criteria for counting the nucleoli (Gundersen and Osterby, 1981; Sterio, 1984; Popken and Farel, 1997; Bao et al., 2005). Neuron density was calculated by dividing the number of profiles counted by the total cross-sectional area and by the section thickness (6 μm). The total number of neurons per patient was estimated by multiplying the density of neurons by the total volume.
The length of the nucleus was calculated taking into account the number of thionin sections that contained the nucleus from rostral to caudal, multiplied by the section thickness (6 µm).
Inter-assay variance (COV) was determined by measuring, in one patient, 10 different sessions for the density, the profiles identified as neurons and the cross-sectional area. The COV was 25.4% for the density and profiles and 13% for the cross-sectional area.
Statistics
Differences among groups were statistically evaluated by the non-parametric Kruskal–Wallis multiple comparison test, because the data were not all normally distributed. Differences between groups were analysed two-tailed using the Mann–Whitney U-test.
The shape of the nuclei was estimated by the correlation between the length of the nucleus and the maximum cross-sectional area (µm2) in the central section using a Spearman correlation coefficient. Differences in clock time of death and month of death (circular parameters) were tested with the Mardia–Watson–Wheeler Test (Batschelet, 1991). P < 0.05 was considered significant.
Results
The uncinate nucleus was localized in the preoptic area of the human hypothalamus, close to the third ventricle at the level of the hypothalamic sulcus, between the fornix and the optic chiasm, posterior of the anterior commisure. It is a small, oval group of compactly packed medium and small-sized neurons. The structure was visible in thionin-stained sections and its identity was confirmed in all the subjects by dense NPY and SYN innervations as described by Koutcherov et al. (2007). It was frequently bisected into two subnuclei by fibers from the fornix—we could sometimes follow the fibers bisecting INAH3 and INAH4 back to the fornix. Depending on the way the fibers cross the nucleus and on the level of the section, it appears in three forms: as a horse-shoe shape, with the two parts still connected (Fig. 2A), fully bisected into two parts (Fig. 2B) or as one single nucleus (Fig. 2C). The medial part of the bisected uncinate nucleus was originally described as INAH4 and the lateral part as INAH3 (Allen et al., 1989; Koutcherov et al., 2007; Fig. 2). The distinction between INAH3 and INAH4 was based upon location in relation to the third ventricle (INAH4 closer than INAH3) and by smaller neuron size in INAH4. When a single nucleus appeared in thionin and was confirmed by immunocytochemistry, it was judged to be the INAH4 because of its medial localization and smaller neuron size and a value of zero was given to INAH3 (Figs 5–7).
Representative immunocytochemical staining of the NPY innervation of the uncinate nucleus showing the three different types: (A) typical horse-shoe shape, in which fornix fibers do not completely bisect the nucleus, (B) the two subdivisions of the Un clearly divided by fornix fibers, originally called INAH3 and INAH4 and (C) the nucleus as just one part, considered to be the INAH4 (A NBB # 98031 man 33 years old, B NBB # 98006 man 50 years old, C NBB # 91009 woman 36 years old. INAH3 and 4: interstitial nuclei of the anterior hypothalamus 3 and 4, 3V: third ventricle. Scale bar = 250 µm.
Representative immunocytochemical staining of the NPY innervation of the uncinate nucleus showing the three different types: (A) typical horse-shoe shape, in which fornix fibers do not completely bisect the nucleus, (B) the two subdivisions of the Un clearly divided by fornix fibers, originally called INAH3 and INAH4 and (C) the nucleus as just one part, considered to be the INAH4 (A NBB # 98031 man 33 years old, B NBB # 98006 man 50 years old, C NBB # 91009 woman 36 years old. INAH3 and 4: interstitial nuclei of the anterior hypothalamus 3 and 4, 3V: third ventricle. Scale bar = 250 µm.
In NPY stainings a band of fibers was visible between the uncinate nucleus and the BST (Fig. 3). In the lateral and medial subdivision of the BST, many NPY containing neurons were visible in the middle of a dense network of NPY fibers (see Fig. 4A for details). The central subdivision that contained few NPY cells and fibers stained densely for somatostatin (Fig. 4B). The subcommissural part of the BST was found to stain for both NPY and somatostatin. The uncinate nucleus, more densely innervated by NPY than its environment, emerged at the level of the caudal portion of the BST, when the anterior commisure had disappeared (Fig. 3).
Photomicrographs depicting the dense band of NPY fibers which connect the bed nucleus of the stria terminalis and the uncinate nucleus (A) NBB # 83004, virilized woman of 46 years of age with an adrenal tumour. Because the adrenal tumour was giving rise to high cortisol, androstendione and testosterone plasma levels, this patient was not included in the measurements. Fx = fornix, INAH3 and 4: interstitial nuclei of the anterior hypothalamus 3 and 4, 3V: third ventricle. Note the extra dense innervation of INAH3 and 4. Scale bar = 250 µm.
Photomicrographs depicting the dense band of NPY fibers which connect the bed nucleus of the stria terminalis and the uncinate nucleus (A) NBB # 83004, virilized woman of 46 years of age with an adrenal tumour. Because the adrenal tumour was giving rise to high cortisol, androstendione and testosterone plasma levels, this patient was not included in the measurements. Fx = fornix, INAH3 and 4: interstitial nuclei of the anterior hypothalamus 3 and 4, 3V: third ventricle. Note the extra dense innervation of INAH3 and 4. Scale bar = 250 µm.
Innervations of the different subdivisions of the BST by NPY (A) and somatostatin (B). Note that the two stainings are complementary. The two inserts in (A) show the difference in the density of NPY fibers and cells in lateral/medial BST and in central BST subdivision Scale bar = 50 μm. LV: lateral ventricle, AC = anterior commisure; BSTl, c, m = Bed nucleus of the stria terminalis lateral, central and medial subnucleus. Scale bars = 375 µm.
Innervations of the different subdivisions of the BST by NPY (A) and somatostatin (B). Note that the two stainings are complementary. The two inserts in (A) show the difference in the density of NPY fibers and cells in lateral/medial BST and in central BST subdivision Scale bar = 50 μm. LV: lateral ventricle, AC = anterior commisure; BSTl, c, m = Bed nucleus of the stria terminalis lateral, central and medial subnucleus. Scale bars = 375 µm.
Brain weight
A significant sex difference was found for brain weight among the four groups [(male, female, transsexual male-to-female and castrated patients, (Kruskal–Wallis P < 0.008)]. Male brain weight was higher than female brain weight (P < 0.001). Male-to-female transsexual persons had a brain weight (1358 ± 155.6) in between that of the males (1529 ± 231.4) and females (1244 ± 160.5) (Tables 1 and 2), that was almost significantly different from the male group (M > MtF: P > 0.053), but not different from the females (F = MtF: P > 0.130). The brain weight of the castrated group (CAS, 1387 ± 206.3) did not differ from that in the other groups (CAS = M: P > 0.917; CAS = F: P > 0.142; CAS = MtF: P = 1).
When all subjects were pooled together no correlation was found between brain weight and uncinate nucleus volume, nor for its subnuclei [(uncinate: ρ = 0.103; P > 0.527); (INAH3: ρ = 0.069; P > 0.674); (INAH4: ρ = 0.108; P > 0.509)]. Age was neither correlated with the uncinate volume nor with its nuclei [(uncinate: ρ = 0.007; P > 0.964); (INAH3: ρ = –0.096; P > 0.547); (INAH4: ρ = 0.103; P > 0.505)].
Thionin-stained material
Volume
Kruskal–Wallis showed a significant difference among the four groups (male, female, transsexual male-to-female and castrated patients) for the INAH3 subdivision (P < 0.031), but not for INAH4 (P > 0.563) or for the uncinate nucleus as a whole (P > 0.198).
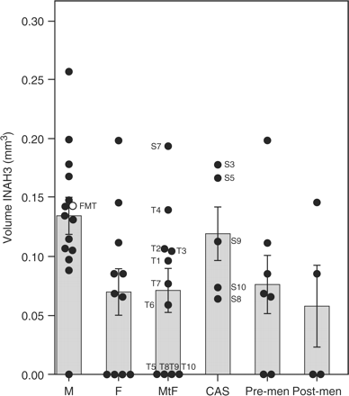
The INAH3 subdivision in males was significantly (1.9 times) larger than in females (P < 0.013). The INAH3 volume values fully agree with the previously reported data (Table 4). Comparing the male-to-female transsexual group to the male group revealed a significant difference in the INAH3 subdivision (M > MtF: P < 0.018), while no difference was found when the male-to-female group was compared to the female group (MtF = F: P > 0.973) (Figs 5 and 8).
Mean ± SEM volume INAH3 (mm) in different morphometric studies
| Allen et al., 1989 | LeVay, 1991 | Byne et al., 2000 | Byne et al., 2001 | Our research (thionin) | |
|---|---|---|---|---|---|
| Men | 0.132 mm3N = 11 | 0.12 mm3 ± 0.01 N = 16 | 0.114 mm3 ± 0.011 N = 15 | 0.123 mm3 ± 0.009 N = 22 | 0.133 mm3 ± 0.015 N = 14 |
| Women | 0.047 mm3N = 11 | 0.056 mm3 ± 0.02 N = 6 | 0.074 mm3 ± 0.007 N = 18 | 0.077 mm3 ± 0.006 N = 25 | 0.069 mm3 ± 0.02 N = 11 |
| Homosexual men | 0.051 mm3 ± 0.01 N = 19 | 0.096 mm3 ± 0.007 N = 14 | |||
| Castrated men | 0.119 mm3 ± 0.023 N = 5 | ||||
| Transsexual m-f | 0.07 mm3 ± 0.019 N = 10 |
| Allen et al., 1989 | LeVay, 1991 | Byne et al., 2000 | Byne et al., 2001 | Our research (thionin) | |
|---|---|---|---|---|---|
| Men | 0.132 mm3N = 11 | 0.12 mm3 ± 0.01 N = 16 | 0.114 mm3 ± 0.011 N = 15 | 0.123 mm3 ± 0.009 N = 22 | 0.133 mm3 ± 0.015 N = 14 |
| Women | 0.047 mm3N = 11 | 0.056 mm3 ± 0.02 N = 6 | 0.074 mm3 ± 0.007 N = 18 | 0.077 mm3 ± 0.006 N = 25 | 0.069 mm3 ± 0.02 N = 11 |
| Homosexual men | 0.051 mm3 ± 0.01 N = 19 | 0.096 mm3 ± 0.007 N = 14 | |||
| Castrated men | 0.119 mm3 ± 0.023 N = 5 | ||||
| Transsexual m-f | 0.07 mm3 ± 0.019 N = 10 |
Mean ± SEM volume INAH3 (mm) in different morphometric studies
| Allen et al., 1989 | LeVay, 1991 | Byne et al., 2000 | Byne et al., 2001 | Our research (thionin) | |
|---|---|---|---|---|---|
| Men | 0.132 mm3N = 11 | 0.12 mm3 ± 0.01 N = 16 | 0.114 mm3 ± 0.011 N = 15 | 0.123 mm3 ± 0.009 N = 22 | 0.133 mm3 ± 0.015 N = 14 |
| Women | 0.047 mm3N = 11 | 0.056 mm3 ± 0.02 N = 6 | 0.074 mm3 ± 0.007 N = 18 | 0.077 mm3 ± 0.006 N = 25 | 0.069 mm3 ± 0.02 N = 11 |
| Homosexual men | 0.051 mm3 ± 0.01 N = 19 | 0.096 mm3 ± 0.007 N = 14 | |||
| Castrated men | 0.119 mm3 ± 0.023 N = 5 | ||||
| Transsexual m-f | 0.07 mm3 ± 0.019 N = 10 |
| Allen et al., 1989 | LeVay, 1991 | Byne et al., 2000 | Byne et al., 2001 | Our research (thionin) | |
|---|---|---|---|---|---|
| Men | 0.132 mm3N = 11 | 0.12 mm3 ± 0.01 N = 16 | 0.114 mm3 ± 0.011 N = 15 | 0.123 mm3 ± 0.009 N = 22 | 0.133 mm3 ± 0.015 N = 14 |
| Women | 0.047 mm3N = 11 | 0.056 mm3 ± 0.02 N = 6 | 0.074 mm3 ± 0.007 N = 18 | 0.077 mm3 ± 0.006 N = 25 | 0.069 mm3 ± 0.02 N = 11 |
| Homosexual men | 0.051 mm3 ± 0.01 N = 19 | 0.096 mm3 ± 0.007 N = 14 | |||
| Castrated men | 0.119 mm3 ± 0.023 N = 5 | ||||
| Transsexual m-f | 0.07 mm3 ± 0.019 N = 10 |
INAH3 volume in thionin staining in different groups, according to their gender identity and hormonal changes in adulthood. (M) control male group, (F) control female group, (MtF) male-to-female transsexual group, (CAS) castrated male group, (PreM) pre-menopausal women, (PostM) post-menopausal women. Bars represent means and standard errors of the mean (SEM). MtF and F groups were statistically different compared to the M group (P < 0.018 and P < 0.013, respectively). Hormonal changes in adulthood (CAS versus M and PreM versus PostM groups) showed no difference in INAH3 volume. Note that the volume of the female-to-male transsexual subject (FTM, in the male group, 51 years old) is in the male range. A gender dysphoric male-to-female patient who was not treated in any way (S7, in the MtF group, 84 years old) showed a male value for INAH3 volume.
INAH3 volume in thionin staining in different groups, according to their gender identity and hormonal changes in adulthood. (M) control male group, (F) control female group, (MtF) male-to-female transsexual group, (CAS) castrated male group, (PreM) pre-menopausal women, (PostM) post-menopausal women. Bars represent means and standard errors of the mean (SEM). MtF and F groups were statistically different compared to the M group (P < 0.018 and P < 0.013, respectively). Hormonal changes in adulthood (CAS versus M and PreM versus PostM groups) showed no difference in INAH3 volume. Note that the volume of the female-to-male transsexual subject (FTM, in the male group, 51 years old) is in the male range. A gender dysphoric male-to-female patient who was not treated in any way (S7, in the MtF group, 84 years old) showed a male value for INAH3 volume.
No other significantly different volumes were found among the groups for the uncinate nucleus or the INAH4 subdivision: [uncinate (M = F: P > 0.08); (M = MtF: P > 0.063); (F = MtF: P > 0.818); INAH4 [(M = F: P > 0.511); (M = MtF: P > 0.584); (F = MtF: P > 0.622)].
The INAH3 volume of castrated men did not differ from that of the control males (P > 0.117) or from that of the control females (P > 0.245). Comparison with the transsexual group did not reveal any statistical differences either [MtF = CAS, INAH3: P > 0.189]. For the uncinate nucleus in the castrated group no differences were found [(M = CAS: P > 0.175); (F = CAST: P > 0.602); (MtF = CAST: P > 0.692)]. No differences were found for the INAH4 either [(M = CAS: P > 0.175) (F = CAST: P > 0.347) (MtF = CAST: P > 0.692)]. The results for pre- and post-menopausal women were not different either: PreM = PostM; [(INAH3: P > 0.847); (INAH4: P > 0.45); (uncinate: P = 1)].
The female-to-male transsexual subject had an INAH3 volume (0.1433 mm3) in the male range. The same was found for the gender-identity disorder subject who was not treated at all (S7) (INAH3 = 0.1941 mm3) (Fig. 5).
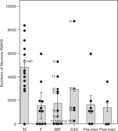
Number of neurons and density in INAH3
Because the differences were found in the volume of INAH3, an estimation of the number of neurons in this subnucleus was performed. Kruskal–Wallis analyses among the four experimental groups revealed a statistically significant difference in the total number of neurons (P < 0.002), as well as in neuron density (P < 0.029). The male group had a higher total number of neurons (P < 0.002) and a higher density of neurons (P < 0.01) than the female group (Fig. 6 and 7). Male-to-female transsexual people had a lower number of neurons compared to control males (P < 0.002) while no significant difference was found in neuronal density (P > 0.063). They did not differ from the female control group with regard to the number of neurons (P > 0.762) or neuronal density (P > 0.655) (Figs 6 and 7).
INAH3 number of neurons. Distribution of the INAH3 number of neurons among different groups. (M) control male group, (F) control female group, (MtF) transsexual male-to-female group, (CAS) castrated male group, (PreM) pre-menopausal women, (PostM) post-menopausal women. Bars represent means and SEM. Statistically differences were found among men (M) and women (F) (P < 0.029) and among men (M) and male-to-female transsexual groups (P < 0.002). A female-to-male transsexual person (FMT, in the male group, 51 years old) had a masculine INAH3 number of neurons while the gender dysphoric non-treated patient (S7, in the MtF group, 84 years old) had a similar number of neurons to the other transsexuals examined.
INAH3 number of neurons. Distribution of the INAH3 number of neurons among different groups. (M) control male group, (F) control female group, (MtF) transsexual male-to-female group, (CAS) castrated male group, (PreM) pre-menopausal women, (PostM) post-menopausal women. Bars represent means and SEM. Statistically differences were found among men (M) and women (F) (P < 0.029) and among men (M) and male-to-female transsexual groups (P < 0.002). A female-to-male transsexual person (FMT, in the male group, 51 years old) had a masculine INAH3 number of neurons while the gender dysphoric non-treated patient (S7, in the MtF group, 84 years old) had a similar number of neurons to the other transsexuals examined.
Density of neurons in INAH3 in different groups: M = control male group; F = control female group; MtF = transsexual male-to-female group; CAScastrated male group; PreM = pre-menopausal women; PostM = post-menopausal women. Bars represent means and the SEM. A sex difference was found among men (M) and women (F) (P < 0.01) and any other difference was found. The female-to-male transsexual person (FMT, in male group, 51 years old) had a masculine density for the INAH3 while the gender dysphoric non-treated patient (S7, in the MtF group, 84 years old) had a similar value to the other transsexuals examined.
Density of neurons in INAH3 in different groups: M = control male group; F = control female group; MtF = transsexual male-to-female group; CAScastrated male group; PreM = pre-menopausal women; PostM = post-menopausal women. Bars represent means and the SEM. A sex difference was found among men (M) and women (F) (P < 0.01) and any other difference was found. The female-to-male transsexual person (FMT, in male group, 51 years old) had a masculine density for the INAH3 while the gender dysphoric non-treated patient (S7, in the MtF group, 84 years old) had a similar value to the other transsexuals examined.
The total number of INAH 3 neurons in the castrated group was not different from the male group (M = CAS; P > 0.117), the female group (F = CAS; P > 0.341), or the male-to-female transsexual group (MtF = CAS; P > 0.332) (Fig. 6). The same pattern was found for density (M = CAS; P > 0.076; F = CAS; P > 0.245; MtF = CAS; P > 0.465) (Fig. 7). The total number of neurons in pre- and post-menopausal women did not differ significantly (Pre = Post; P > 0.847) nor did neuronal density (Pre = Post; P > 0.699) (Figs 6 and 7).
The female-to-male transsexual subject had a neuron count in the male range (5296 neurons) while the untreated gender-identity disorder patient (S7) had a low number of neurons (2931 neurons), which was in the female range (Fig. 6).
Innervation of the uncinate nucleus
Use of three markers (thionin, NPY and SYN) helped to identify the uncinate nucleus, both in terms of the rostro-caudal dimension and individual subnucleus recognition.
NPY-stained sections
A statistically significant difference was found in the NPY-stained INAH3 subdivision among the four experimental groups (Kruskal–Wallis analyses < 0.05). For INAH4 and uncinate nucleus no differences were found (INAH4: P > 0.681; uncinate: P > 0.189).
The NPY delineated volume of the INAH3 subdivision was 2.6 times larger, and that of the entire uncinate nucleus was 1.6 times larger in males than in females (INAH3: M > F: P < 0.014; uncinate: P < 0.049). For INAH4 no sex differences were observed (M = F: P > 0.411). Male-to-female transsexual people had an intermediate value for the NPY-stained values and for the INAH3 subdivision and no significant difference was found when the group was compared to control males or females, either for the uncinate nucleus, or for its INAH3 or INAH4 subdivisions [(MtF = M: INAH3: P > 0.347; INAH4: P > 0.266; uncinate: P > 0.242; (MtF = F: INAH3: P > 0.092; INAH4: P > 0.526; uncinate: P > 0.398); Fig. 8].
Representative photomicrographs of the uncinate nucleus in three different groups in consecutive sections (A, B and C: NBB # 00131 male 25 years old; D, E and F: NBB # 01011 female 46 years old; G, H and I: NBB # 84037 transsexual male-to-female 44 years old). A, D and G are low-power immunocytochemical stainings of NPY, INAH3 and 4: interstitial nucleus of the anterior hypothalamus 3 and 4, 3V: third ventricle. Scale bar = 500 µm. B, E and H: details of the innervation by NPY fibers and C, F and I: details of the thionin staining. Scale bar = 63 μm. Note that the male group shows a larger INAH3 and, in C, also a larger number of cells than the transsexual and female groups. The neuronal size is larger in INAH3 subdivision than in INAH4 (C, F and I). It is also noticeable how INAH3 contains more neurons and extension in the male group (C) than in the other two groups (F and I).
Representative photomicrographs of the uncinate nucleus in three different groups in consecutive sections (A, B and C: NBB # 00131 male 25 years old; D, E and F: NBB # 01011 female 46 years old; G, H and I: NBB # 84037 transsexual male-to-female 44 years old). A, D and G are low-power immunocytochemical stainings of NPY, INAH3 and 4: interstitial nucleus of the anterior hypothalamus 3 and 4, 3V: third ventricle. Scale bar = 500 µm. B, E and H: details of the innervation by NPY fibers and C, F and I: details of the thionin staining. Scale bar = 63 μm. Note that the male group shows a larger INAH3 and, in C, also a larger number of cells than the transsexual and female groups. The neuronal size is larger in INAH3 subdivision than in INAH4 (C, F and I). It is also noticeable how INAH3 contains more neurons and extension in the male group (C) than in the other two groups (F and I).
Castrated patients had a smaller NPY-stained INAH3 than the control males (M > CAS; P < 0.028), while no difference was found for the INAH4 or the uncinate nucleus (M = CAS; P > 0.076, both). In the female group no statistical significances were detected compared to the castrated males for INAH3 (CAS = F: INAH3: P > 0.914) nor for the uncinate nucleus or the INAH4 (CAS = F; uncinate: P > 0.754; INAH4: P > 0.602). Comparison of the male-to-female group with the CAS group did not reveal a difference (CAS = MtF: INAH3: P > 0.318; INAH4: 0.903; uncinate: P > 0.462). No differences were found in NPY volume between pre-and post-menopausal women (Pre = Post: INAH3: P > 0.257; IHAH4: P > 0.85; uncinate: P = 0.449).
The female-to-male transsexual subject had a NPY-stained volume in the male range (INAH3 = 0.15 mm3) and the same was found for the gender-identity disorder patient (S7) (INAH3 = 0.20 mm3).
SYN-stained sections
Kruskal–Wallis analyses of SYN-stained material revealed no statistically significant difference among the four experimental groups for the uncinate nucleus (P > 0.197).
In 91% of the cases the double shape of the uncinate nucleus in SYN-stained material in the female group could not be distinguished, while such a lack of SYN staining for all the sections occurred only in 29% of the cases in the male group. In the male-to-female group the SYN-stained INAH3 could not be distinguished in 70% of the cases, i.e. as often as in control females. In the castrated group, INAH3 could not be distinguished in cases stained with SYN. We, therefore, refrained from doing a separate analysis of the INAH 3 and INAH4 in SYN stainings.
Shape of the INAH 4
The shape of the uncinate nucleus and its subnuclei was estimated by the relationship between its length and the maximum cross-sectional area in the central part of the nucleus only in thionin-stained material. No difference was found between the different groups for INAH3. Only the INAH4 shape appeared to be more elongated in men and more spherical in women. In the female group a negative correlation was found between the length and the maximum cross-sectional area in INAH4 (ρ = –0.697; P < 0.025) while in the male group no such correlation was found (ρ = –0.143; P > 0.626). In the transsexual group no correlation was detected between length and maximum cross-sectional area in INAH4 (ρ = 0.021; P > 0.953) as it was for the castrated group (ρ = –0.7; P > 0.182): an elongated shape was thus found in the male-to-female and in the castrated group. The shape was not determined in the NPY and SYN stainings because a clear maximal cross-sectional area was not present in the centre of the nucleus in these stainings.
Discussion
The present study shows, for the first time, a sex reversal in male-to-female transsexual people for the volume and number of neurons in the INAH3 subdivision of the uncinate nucleus. The lack of testosterone in male-to-female transsexual people in adulthood, due to the surgical sex-reassignment, does not fully explain this sex reversal, since the INAH3 volume and number of neurons of the castrated group was intermediate between the male and the female group. Moreover, the female-to-male transsexual subject showed male values, in spite of the fact that no testosterone treatment was given for the last 3 years. Adult circulating estrogens did not have an effect at all because the INAH3 measurements of pre- and post-menopausal women did not differ. Earlier, a female-sized INAH3 volume in homosexual men had been reported (LeVay, 1991; Byne et al., 2001). However, the number of neurons in the INAH3 of homosexual and heterosexual men did not differ as demonstrated in previous work (Byne et al., 2001). In the present study we found both female volume and neuron number in the INAH3 of male-to-female transsexual persons. As previously shown (LeVay, 1991; Byne et al., 2001) INAH3 volume may thus be related to sexual orientation, whereas our data show that INAH3 neuron number may be related to gender identity. This finding is in contrast to the earlier observations in the BSTc where both the volume and neuron number were found to be related only to gender identity, since a sex reversal was observed in male-to-female transsexual people but not in homosexual men (Zhou et al., 1995; Kruijver et al., 2000). We demonstrated that the differences in BSTc and INAH3 in transsexual persons cannot fully be explained by variations in adult levels of sex hormones so that prenatal effects of sex hormones or other early developmental events seem to play a role. The sex reversals in INAH3 and the BSTc, that are at least partly independent of adult sex hormone changes, may be part of a complex neuronal network that is structurally and functionally related to gender identity and sexual orientation.
Anatomy of sexually dimorphic structures in the human hypothalamus
The literature on the sex differences in the human hypothalamus and adjacent areas is controversial. The first structural difference in the human hypothalamus was reported by our group in the sexually dimorphic nucleus of the preoptic area (SDN-POA) that we found to be 2.5 times larger in men than in women and to contain 2.2 times as many cells (Swaab and Fliers, 1985). This area is also called the intermediate nucleus (Brockhaus, 1942; Braak and Braak, 1987; Koutcherov et al., 2007) and INAH1 (Allen et al., 1989). The latter authors described four interstitial nuclei of the anterior hypothalamus (INAH1-4) and found a larger volume in men compared to women for INAH3 (2.8 times) and for INAH2 (2 times) subdivisions. The fact that they could not find a sex difference in INAH1 as found by us (Swaab and Fliers, 1985) could be fully explained by the strong age effect on the sex differences of this nucleus (Swaab and Hofman, 1988; Swaab et al., 2003). In fact, the sex difference develops only after the age of 5 and disappears temporarily after the age of 50 (Swaab and Fliers, 1985; Hofman and Swaab, 1989; Swaab et al., 1992). Moreover, it is now clear that what we called the SDN-POA (Swaab and Fliers, 1985) is a horseshoe-shaped structure that can show up in sections as two separate nuclei (Swaab, 2003a; Koutcherov et al., 2007), which Allen et al. (1989) called INAH1 and 2, or as just one nucleus, called the intermediate nucleus (Koutcherov et al., 2007) or SDN-POA (Swaab and Fliers, 1985). Further analysis of INAH1 and 2 in the transsexual population is ongoing. The differences observed between the INAH3 structure in relation to sexual orientation and gender identity and its possible connection to the BSTc suggest that these two nuclei and the two earlier described SDN-POA (= intermediate nucleus = INAH1 and 2) and SCN (Swaab and Fliers, 1985; Hofman and Swaab, 1989) are part of a complex network involved in various aspects of sexual behaviour (Swaab and Hofman, 1990; LeVay, 1991; Swaab et al., 1992; Zhou et al., 1995; Kruijver et al., 2000; Byne et al., 2001).
In the present paper we localized and delineated the uncinate nucleus using three different stainings, i.e. thionin, NPY and SYN. We found sex differences in volume and neuron number in the INAH3 subdivision, while the INAH4 subdivision showed only a sex difference in shape: it was more elongated in the genetic male groups, i.e. in the male controls, castrated men and male-to-female groups and more ovoid in the genetically female group. The INAH3 volume values fully agree with the previously reported data, in spite of the fact that we, in contrast to the others, used thin 6 µm sections. The sex differences in INAH3 volume that we found also confirm the earlier reports in which the volume of the INAH3 is quite similar (Table 4; Allen et al., 1989; LeVay, 1991; Byne et al., 2000, 2001). The same holds true for the sex difference for the INAH3 number of neurons (Byne et al., 2000). The neuronal density in the Byne study (Byne et al., 2001) was, however, notably lower than in our study. This may possibly be explained by the difference in material. Byne used 80 µm frozen sections, and we used 6 µm paraffin sections that may have made the recognition of the nucleolus as a marker for neurons easier. The sex reversal in the INAH3 volume and number of neurons for the male-to-female group (Fig. 2) was found in the present study for the first time. A number of different names have been used for the two subnuclei of the uncinate nucleus: (i) periventricular and uncinate nucleus (the former closer to the third ventricle than the latter) by Braak and Braak (1987), (ii) INAH4 (closer to the third ventricle than the INAH3) by Allen et al. (1989), and (iii) lateral and medial subdivisions of the uncinate nucleus by Koutcherov et al. (2007). There are indeed arguments to consider these two subdivisions as one structure called the uncinate nucleus, based on its neurochemical markers such as NPY and SYN and the fact that they appear as one structure in some subjects (Fig. 2). On the other hand, the present study also provided arguments to distinguish two subnuclei (INAH3 and INAH4). The uncinate nucleus appears in thionin staining mostly as two distinct subnuclei, of which INAH3 has larger neurons than in INAH4. Moreover, INAH3 is sexually dimorphic and of small, female size and cell number in male-to-female transsexual people, while the INAH4 subdivision does not show such gender-related differences (present study; LeVay, 1991; Byne et al., 2000, 2001). In addition, sex differences were found in the INAH3 volume as delimitated by NPY, but not in INAH4. There was also a sex difference in the proportion of individuals in which the INAH3 could be distinguished in the SYN staining, because in 92% of the control females group, in 70% of the cases in the male-to-female group and in 29% of the male controls the INAH3 could not be distinguished. All these data indicate that the two subdivisions (INAH3 and INAH4) of the uncinate nucleus may have different functions.
The transsexual hypothalamus
The INAH3 subdivision of the uncinate nucleus is larger in men than women while the INAH4 subdivision is not (Figs 5 and 8), in spite of the fact that a sex difference in brain weight between the sexes was detected. In each staining, the volume of the INAH3 in males was larger than in females, and so was the number of neurons and the density (Figs 5–7). The shape of the INAH4 is also different in the different sexes, being more elongated in men and more spherical in women. In addition, the occurrence of an uncinate nucleus in a single shape was sex different, since such a single uncinate nucleus was found in 36% cases of the female group and just in a 7% of the control males in a thionin staining. This sex difference may be related to a different connectivity in men and women. A sex difference in the expression of NPY INAH3 volume was also detected: an equivalent female volume was found for the castrated group, suggesting that circulating testosterone is crucial for this sex difference.
The volume and number of neurons of the INAH3, as measured in thionin-stained sections, was found to be of female size in male-to-female transsexual people. The female-to-male transsexual subject had a male INAH3 volume and neuron number. This patient stopped taking androgens 3 years before death, indicating that the male INAH3 was not caused by an acute activating effect of androgens. We found that in castrated men the INAH3 volume and cell number were intermediate between those of male and female controls. These data and those of subject S7 (see later) cannot fully be explained by an activating effect of androgens on the INAH3 and indicate that there are also organizational effects during development on the INAH3 morphology. These findings are in contrast to the BSTc that did not change at all following castration (Zhou et al., 1995; Kruijver et al., 2000) and seemed thus to be fully determined by organizational effects.
The untreated male gender dysphoric person (S7), who took no hormones and kept transsexual feelings under wraps, appeared to have a large INAH3 volume—in the male range—but a female number of neurons. In contrast to these mixed male and female characteristics, S7 had a small BSTc with low, female cell numbers (Kruijver et al., 2000). This intermediate pattern of INAH3 changes for the S7 gender dysphoric patient may be explained in different ways. One may presume (i) that, since transsexuality is an extreme form of gender-identity dysphoria, it may have different grades of feminization over the neuronal network that is implicated in sexual identity, or (ii) alternatively, INAH3 volume may have a relationship to sexual orientation rather than to gender identity, since the S7 individual, having a masculine INAH3 volume in contrast to the other male-to-female subjects, was erotically attracted only to women. Indeed, the volume of INAH3 but not the neuron number was of female size in homosexual men as shown in previous studies (LeVay, 1991; Byne et al., 2001). The number of neurons of the INAH3 may thus be related to gender-identity, whereas the volume of this nucleus may rather be related to sexual orientation (LeVay, 1991; Byne et al., 2001). This also agrees with the data of the only homosexual (male orientated) transsexual male-to-female subject (T7), who was attracted only to men and had a small INAH3 volume and number of neurons. On the other hand, in the BSTc, a male volume and number of somatostatin neurons was found in the male homosexual group, while in the male-to-female transsexual group the BSTc size and neuron number were found to be female (Zhou et al., 1995; Kruijver et al., 2000). There thus appears to be a relationship of the BSTc with gender identity rather than with sexual orientation while the INAH3 seems to have a relationship with both.
In contrast to the female size of the INAH3 in male-to-female transsexual people, some structural parameters showed male or intermediate values. For instance, the shape of the INAH4 was more elongated, similar to that observed in the male control and castrated group and different from the more ovoid shape found in women. It is remarkable that the individuals with no definable INAH3, i.e. T5, 8, 9 and 10, were the oldest 4 of the 10 transsexuals, they began their hormone treatments at older ages than the other 6, and they had greater uncinate lengths (Table 2). Whether this is a subgroup of transsexual people with distinct characteristics or whether there is an age effect involved in the INAH3 of transsexual people should be investigated when more brain material is available.
The intermediate position of the density of the INAH3 neurons, the NPY delineated volume and the total brain weight in the male-to-female group, none of which were significantly different from the male or female control groups, can also be seen at least partly as male characteristics. Some brain parameters in male-to-female transsexual people are typically female, such as the volume and neuron number in the BSTc (Zhou et al., 1995; Kruijver et al., 2000), and in the INAH3 subdivision (Figs 5 and 6) but other parameters are rather like those found in males, indicating a sex-atypical development. Treatment is always a possible confounding factor in postmortem human brain material. However, recently an fMRI study in non-homosexual transsexual people, who were not treated hormonally, showed that a number of brain areas in the transsexual hypothalamus were activated by pheromones in a sex-atypical way. Although the functional reactions in the hypothalamus on an estrogen-derived pheromone were predominantly female, male-to-female transsexual people also showed some characteristics of a male activation pattern (Berglund et al., 2008). Our results in INAH3 and the BSTc are in agreement with the presence of such a sex-atypical hypothalamus in transsexual people, although at this moment it is not possible to tell how differences in neuronal number versus volume are related functionally, since differences in volume are not only determined by differences in neuronal number but also by the amount of dendrites, efferent and afferent fibers, synapses, glial cells and blood vessels.
Innervation
A remarkably dense and continuous band of NPY fibers was found between the infundibular nucleus, paraventricular area including the uncinate nucleus and the medial and the medial and lateral subdivisions of the bed nucleus of the stria terminalis (BSTm and BSTl), while an extra dense NPY fiber network was present in both subnuclei of the uncinate (Fig. 3). Cell bodies containing NPY were seen in the infundibular nucleus and in the BSTm and BSTl subdivisions, whereas the BSTc showed clearly fewer NPY cells and fibers than the other BST subnuclei. Rostrally, a NPY connection between the lateral BST and the uncinate nucleus was observed (Fig. 3), while more caudally the BST and the infundibular nucleus were connected by NPY fibers (not shown). The NPY fibers between the infundibular nucleus, the uncinate nucleus and the lateral and medial subdivisions of the BST are of special interest since the NPY is involved in both, the regulation of both metabolism and reproductive processes (Crown et al., 2007).
The NPY-stained innervations of the INAH3 differed, in some aspects, from the measurements in the Nissl staining. As in the thionin-stained material, the NPY delineated volume of the INAH3 was clearly larger in men than in women, and the NPY-INAH3 of the female-to-male transsexual was masculine in size. However, the castrated men had a small INAH3 volume for NPY, while male-to-female transsexual people appeared to be in an intermediate position between males and females. No difference in NPY innervation was found between pre- and post-menopausal women. The data suggest the presence of both activating effects of circulating testosterone in adulthood and organizing effects on the NPY innervation of the INAH3.
SYN staining in the INAH3 subdivision showed sex differences in the proportion of subjects in which the INAH3 could not be distinguished by this staining. This was the case for the female controls in 29% and for the male controls in 92%, while the male-to-female group was intermediary in this respect (70%). Curiously, INAH3 stained in SYN could not be identified in any of the castrated subjects.
Subtypes of transsexual people
Sex-atypical brain development in transsexual people may not only be dependent on the structure studied and the marker used, as discussed earlier, but it may also depend on the subgroup of transsexual individuals studied. Our sample was, however, mostly composed of non-homosexual early onset male-to-female transsexual people (Table 2), so a comparison of the different subtypes was not possible.
Conclusions
Our data reveal a sex-atypical INAH3 volume and neuron number in transsexual male-to-female people to be in the female range, while the values of a female-to-male subject were in the male range. Differences in adult testosterone levels can only partly explain the observed differences in the INAH3 subdivision of transsexual people while estrogen levels do not seem to have an influence. In male-to-female subjects the number of neurons in the INAH3 does not seem to be related to sexual orientation, nor to the onset time of transsexuality, but rather to atypical early female-biased gender. The differences observed between the INAH3 structure, its innervation in relation to sexual orientation and gender identity and its putative connection to the BSTc suggest that these two nuclei, together with the SDN-POA (= intermediate nucleus, = INAH1 and 2) and the SCN (Swaab et al., 1985) are part of a complex network involved in various aspects of sexual behaviour. For the INAH4 subdivision of the uncinate nucleus, the only difference found among the groups was in relation to its shape, which was similar in all genetically male groups studied.
Funding
Spanish government (MEC); postdoctoral fellowships (MEC/Fulbright, EX2006-0930); from Cajamadrid bank; from GIRES and Mermaids.
Acknowledgements
We thank Bart Fisser, Unga Unmehopa, Rawien Balesar, Arja A. Sluiter, Joop Van Heerikhuize and Ton Puts for their technical help, Wilma Verweij for secretarial help, Jenneke Kruisbrink for her literature resource help and Mrs Terry Reed, Dr Michel Hofman and Dr Ronald W.H. Verwer for their critical comments. Brain material was provided by the Netherlands Brain Bank (coordinator Dr Inge Huitinga).
References
Abbreviations:
- BSTc
bed nucleus of the stria terminalis
- INAH
interstitial nucleus of the anterior hypothalamus
- NBB
Netherlands Brain Bank
- NPY
neuropeptide Y
- SDN-POA
sexually dimorphic nucleus of the preoptic area
- SYN
synaptophysin








