- Split View
-
Views
-
CiteCitation
Dalia Kasperavičiūtė, Claudia B. Catarino, Erin L. Heinzen, Chantal Depondt, Gianpiero L. Cavalleri, Luis O. Caboclo, Sarah K. Tate, Jenny Jamnadas-Khoda, Krishna Chinthapalli, Lisa M.S. Clayton, Kevin V. Shianna, Rodney A. Radtke, Mohamad A. Mikati, William B. Gallentine, Aatif M. Husain, Saud Alhusaini, David Leppert, Lefkos T. Middleton, Rachel A. Gibson, Michael R. Johnson, Paul M. Matthews, David Hosford, Kjell Heuser, Leslie Amos, Marcos Ortega, Dominik Zumsteg, Heinz-Gregor Wieser, Bernhard J. Steinhoff, Günter Krämer, Jörg Hansen, Thomas Dorn, Anne-Mari Kantanen, Leif Gjerstad, Terhi Peuralinna, Dena G. Hernandez, Kai J. Eriksson, Reetta K. Kälviäinen, Colin P. Doherty, Nicholas W. Wood, Massimo Pandolfo, John S. Duncan, Josemir W. Sander, Norman Delanty, David B. Goldstein, Sanjay M. Sisodiya; Common genetic variation and susceptibility to partial epilepsies: a genome-wide association study, Brain, Volume 133, Issue 7, 1 July 2010, Pages 2136–2147, https://doi.org/10.1093/brain/awq130
Download citation file:
© 2018 Oxford University Press
Close -
Share
Abstract
Partial epilepsies have a substantial heritability. However, the actual genetic causes are largely unknown. In contrast to many other common diseases for which genetic association-studies have successfully revealed common variants associated with disease risk, the role of common variation in partial epilepsies has not yet been explored in a well-powered study. We undertook a genome-wide association-study to identify common variants which influence risk for epilepsy shared amongst partial epilepsy syndromes, in 3445 patients and 6935 controls of European ancestry. We did not identify any genome-wide significant association. A few single nucleotide polymorphisms may warrant further investigation. We exclude common genetic variants with effect sizes above a modest 1.3 odds ratio for a single variant as contributors to genetic susceptibility shared across the partial epilepsies. We show that, at best, common genetic variation can only have a modest role in predisposition to the partial epilepsies when considered across syndromes in Europeans. The genetic architecture of the partial epilepsies is likely to be very complex, reflecting genotypic and phenotypic heterogeneity. Larger meta-analyses are required to identify variants of smaller effect sizes (odds ratio <1.3) or syndrome-specific variants. Further, our results suggest research efforts should also be directed towards identifying the multiple rare variants likely to account for at least part of the heritability of the partial epilepsies. Data emerging from genome-wide association-studies will be valuable during the next serious challenge of interpreting all the genetic variation emerging from whole-genome sequencing studies.
Introduction
The epilepsies constitute the commonest serious chronic neurological condition, with a prevalence of 3–16 per 1000 worldwide (Begley et al., 2007). Mendelian epilepsies probably account for only ∼1% of cases. The majority—so-called ‘sporadic’ epilepsies—are considered ‘complex’: both genetic and environmental factors probably play a role, to different extents, in individual patients. Estimates of partial epilepsy heritability vary between studies, some estimates reaching 70% (Kjeldsen et al., 2001). All published twin and family studies report higher concordance among monozygotic than dizygotic twins and high familial aggregation (e.g. Berkovic et al., 1998; Miller et al., 1998; Hemminki et al., 2006). Nevertheless, even though the importance of genetic factors is clear, the factors themselves remain elusive. Numerous candidate gene studies have failed to identify unambiguous associations (see Discussion section in Tan et al., 2004; Cavalleri et al., 2005, 2007). The failure to detect robust associations has been commonly attributed to small sample sizes and hence low study power, and to the choice of candidate genes. Many studies focused on candidates emerging from the genetics of familial epilepsies, such as ion-channel genes, which comprise two-third of genes responsible for Mendelian epilepsies. Interestingly, in single-gene mutant mice exhibiting spontaneous or more readily-evoked seizures, only a quarter of the mutated genes encode ion channels (Frankel, 2009), suggesting a much broader spectrum of pathways and genes for seizure predisposition than currently known.
Despite the heterogeneity of partial epilepsy syndromes, some shared biological features, such as some components of seizures, secondary generalization of partial seizures, shared EEG abnormalities and the fundamental biophysical and neurochemical cellular components of seizures, e.g. action potentials and synaptic transmission processes, suggest there are some common mechanisms for susceptibility to partial seizures in general. Studies indicate that different types of epilepsy can aggregate in families (Ottman et al., 1998; Bianchi et al., 2003; Berkovic et al., 2004), suggesting the existence of shared genetic factors that increase susceptibility to different epilepsies. More recently, microdeletion analyses have shown that apparently the same genetic defect can contribute to different forms of epilepsy (de Kovel et al., 2009), including ‘symptomatic’ epilepsies (Heinzen et al., 2010). It is possible, therefore, that shared genetic variants predispose to partial epilepsies, irrespective of syndrome type or any structural cause. Knowledge of such shared variants would significantly increase the understanding of disease biology of partial epilepsies and help identify targets for novel therapeutic interventions effective across partial epilepsies. On the other hand, if well-powered and comprehensive studies cannot detect any common genetic variants for susceptibility for partial epilepsies, our concepts of the genetic architecture of partial epilepsies will evolve, and a different approach may prove more productive in epilepsy genetics research.
Here we report the results from a genome-wide association-study for partial epilepsies in a large cohort of patients of European ancestry. We show that common variants are unlikely to have clinically relevant effects in predisposition to partial epilepsies shared across syndromes.
Methods
Patients
Patients with partial epilepsies were recruited in seven countries (Supplementary material) during clinical appointments. The diagnosis of partial epilepsy was made and/or reviewed by a consultant epileptologist who was part of this study, with access to clinical history and available investigation results. The International League Against Epilepsy (Commission on Classification and Terminology of the International League Against Epilepsy, 1989) definition for partial epilepsy was used. A patient was considered as having epilepsy if he/she had had two or more unprovoked epileptic seizures. Partial epilepsy was defined as epilepsy characterized by seizures the semiology or investigation (ictal EEG) of which disclosed a focal origin of seizures. We did not select patients by syndrome other than partial epilepsy, nor by known structural abnormality, if any. Phenotypic details of the patients for each country's cohort are shown in Table 1, using a scheme adapted from The International League Against Epilepsy revised organization of phenotypes in epilepsies (Berg et al., 2010).
Phenotypic details of patients for each country's cohort, classified according to the revised organization of phenotypes in epilepsy (Berg et al., 2010), adapted to our study (A), with additional data on MRI findings (B)
| Phenotype | UK (n = 1185) | Ireland (n = 607) | Belgium (n = 418) | Finland (n = 410) | USA (n = 393) | Switzerland (n = 231) | Norway (n = 201) | Total (n = 3445) |
|---|---|---|---|---|---|---|---|---|
| A. | ||||||||
| Syndrome or constellation | ||||||||
| Distinctive constellations | ||||||||
| Mesial temporal lobe epilepsy with hippocampal sclerosis | 265 | 148 | 67 | 116 | 71 | 182 | 70 | 919 |
| Epilepsies that can be distinguished first on the basis of the presence or absence of a known structural or metabolic condition (presumed cause) and then on the basis of the primary mode of seizure onset (generalized versus focal) | ||||||||
| Epilepsies attributed to and organized by structural-metabolic causes | ||||||||
| Malformations of cortical development (hemimegalencephaly, heterotopias, etc.) | 141 | 38 | 21 | 12 | 16 | 12 | 1 | 241 |
| Neurocutaneous syndromes (tuberous sclerosis complex, Sturge-Weber, etc.) | 1 | 3 | 3 | 0 | 3 | 0 | 0 | 10 |
| Tumour | 42 | 62 | 42 | 3 | 48 | 23 | 2 | 222 |
| Infection | 36 | 16 | 9 | 1 | 8 | 0 | 6 | 76 |
| Trauma | 32 | 60 | 22 | 2 | 21 | 0 | 7 | 144 |
| Angioma or other vascular malformation | 34 | 26 | 27 | 4 | 9 | 0 | 7 | 107 |
| Perinatal insults | 34 | 12 | 8 | 9 | 2 | 0 | 9 | 74 |
| Stroke | 32 | 27 | 33 | 0 | 9 | 0 | 1 | 102 |
| Other structural-metabolic causes | 51 | 23 | 18 | 6 | 16 | 5 | 2 | 121 |
| Epilepsies of unknown cause | 517 | 192 | 168 | 257 | 190 | 9 | 96 | 1429 |
| B. | ||||||||
| MRI phenotype | ||||||||
| Normal | 487 | 134 | 94 | 209 | 146 | 8 | 81 | 1159 |
| Unilateral hippocampal sclerosis | 277 | 140 | 65 | 118 | 66 | 182 | 72 | 920 |
| Bilateral hippocampal sclerosis | 12 | 6 | 3 | 4 | 5 | 1 | 0 | 31 |
| Malformations of cortical development | 138 | 38 | 17 | 12 | 14 | 12 | 1 | 232 |
| Cerebrovascular disease | 27 | 12 | 30 | 0 | 11 | 0 | 1 | 81 |
| Perinatal injury | 34 | 1 | 7 | 8 | 1 | 0 | 9 | 60 |
| Other acquired injury | 59 | 29 | 27 | 3 | 20 | 0 | 8 | 146 |
| Vascular malformation | 34 | 25 | 25 | 4 | 18 | 0 | 7 | 113 |
| Tumour | 42 | 60 | 42 | 3 | 50 | 23 | 2 | 222 |
| Other | 39 | 23 | 41 | 31 | 6 | 4 | 18 | 162 |
| Incidental MRI findings | 26 | 26 | 39 | 11 | 20 | 1 | 2 | 125 |
| MRI not available, but an X-ray computerized tomography scan is consistent with the presence of a particular abnormality | 10 | 15 | 10 | 0 | 0 | 0 | 0 | 35 |
| MRI data not availablea | 0 | 98 | 18 | 7 | 36 | 0 | 0 | 159 |
| Phenotype | UK (n = 1185) | Ireland (n = 607) | Belgium (n = 418) | Finland (n = 410) | USA (n = 393) | Switzerland (n = 231) | Norway (n = 201) | Total (n = 3445) |
|---|---|---|---|---|---|---|---|---|
| A. | ||||||||
| Syndrome or constellation | ||||||||
| Distinctive constellations | ||||||||
| Mesial temporal lobe epilepsy with hippocampal sclerosis | 265 | 148 | 67 | 116 | 71 | 182 | 70 | 919 |
| Epilepsies that can be distinguished first on the basis of the presence or absence of a known structural or metabolic condition (presumed cause) and then on the basis of the primary mode of seizure onset (generalized versus focal) | ||||||||
| Epilepsies attributed to and organized by structural-metabolic causes | ||||||||
| Malformations of cortical development (hemimegalencephaly, heterotopias, etc.) | 141 | 38 | 21 | 12 | 16 | 12 | 1 | 241 |
| Neurocutaneous syndromes (tuberous sclerosis complex, Sturge-Weber, etc.) | 1 | 3 | 3 | 0 | 3 | 0 | 0 | 10 |
| Tumour | 42 | 62 | 42 | 3 | 48 | 23 | 2 | 222 |
| Infection | 36 | 16 | 9 | 1 | 8 | 0 | 6 | 76 |
| Trauma | 32 | 60 | 22 | 2 | 21 | 0 | 7 | 144 |
| Angioma or other vascular malformation | 34 | 26 | 27 | 4 | 9 | 0 | 7 | 107 |
| Perinatal insults | 34 | 12 | 8 | 9 | 2 | 0 | 9 | 74 |
| Stroke | 32 | 27 | 33 | 0 | 9 | 0 | 1 | 102 |
| Other structural-metabolic causes | 51 | 23 | 18 | 6 | 16 | 5 | 2 | 121 |
| Epilepsies of unknown cause | 517 | 192 | 168 | 257 | 190 | 9 | 96 | 1429 |
| B. | ||||||||
| MRI phenotype | ||||||||
| Normal | 487 | 134 | 94 | 209 | 146 | 8 | 81 | 1159 |
| Unilateral hippocampal sclerosis | 277 | 140 | 65 | 118 | 66 | 182 | 72 | 920 |
| Bilateral hippocampal sclerosis | 12 | 6 | 3 | 4 | 5 | 1 | 0 | 31 |
| Malformations of cortical development | 138 | 38 | 17 | 12 | 14 | 12 | 1 | 232 |
| Cerebrovascular disease | 27 | 12 | 30 | 0 | 11 | 0 | 1 | 81 |
| Perinatal injury | 34 | 1 | 7 | 8 | 1 | 0 | 9 | 60 |
| Other acquired injury | 59 | 29 | 27 | 3 | 20 | 0 | 8 | 146 |
| Vascular malformation | 34 | 25 | 25 | 4 | 18 | 0 | 7 | 113 |
| Tumour | 42 | 60 | 42 | 3 | 50 | 23 | 2 | 222 |
| Other | 39 | 23 | 41 | 31 | 6 | 4 | 18 | 162 |
| Incidental MRI findings | 26 | 26 | 39 | 11 | 20 | 1 | 2 | 125 |
| MRI not available, but an X-ray computerized tomography scan is consistent with the presence of a particular abnormality | 10 | 15 | 10 | 0 | 0 | 0 | 0 | 35 |
| MRI data not availablea | 0 | 98 | 18 | 7 | 36 | 0 | 0 | 159 |
The organization of phenotypes was adapted to include only the categories for which there were patients in our study. We note that the proposed organization of phenotypes (Berg et al., 2010) is not specific for partial epilepsies, but only patients with partial epilepsies were included in our study. The numbers of patients in some phenotype categories in part A of the table do not necessarily match numbers in the similar categories in the part B, because part A contains the numbers related to causation of epilepsy, which is determined using all available clinical history and investigations, while part B contains data on MRI findings alone. a Excludes 10 patients from the UK, 15 patients from Ireland and 10 patients from Belgium, for whom an X-ray computerized tomography scan is consistent with the presence of a particular abnormality (cerebrovascular disease, infection or trauma).
Phenotypic details of patients for each country's cohort, classified according to the revised organization of phenotypes in epilepsy (Berg et al., 2010), adapted to our study (A), with additional data on MRI findings (B)
| Phenotype | UK (n = 1185) | Ireland (n = 607) | Belgium (n = 418) | Finland (n = 410) | USA (n = 393) | Switzerland (n = 231) | Norway (n = 201) | Total (n = 3445) |
|---|---|---|---|---|---|---|---|---|
| A. | ||||||||
| Syndrome or constellation | ||||||||
| Distinctive constellations | ||||||||
| Mesial temporal lobe epilepsy with hippocampal sclerosis | 265 | 148 | 67 | 116 | 71 | 182 | 70 | 919 |
| Epilepsies that can be distinguished first on the basis of the presence or absence of a known structural or metabolic condition (presumed cause) and then on the basis of the primary mode of seizure onset (generalized versus focal) | ||||||||
| Epilepsies attributed to and organized by structural-metabolic causes | ||||||||
| Malformations of cortical development (hemimegalencephaly, heterotopias, etc.) | 141 | 38 | 21 | 12 | 16 | 12 | 1 | 241 |
| Neurocutaneous syndromes (tuberous sclerosis complex, Sturge-Weber, etc.) | 1 | 3 | 3 | 0 | 3 | 0 | 0 | 10 |
| Tumour | 42 | 62 | 42 | 3 | 48 | 23 | 2 | 222 |
| Infection | 36 | 16 | 9 | 1 | 8 | 0 | 6 | 76 |
| Trauma | 32 | 60 | 22 | 2 | 21 | 0 | 7 | 144 |
| Angioma or other vascular malformation | 34 | 26 | 27 | 4 | 9 | 0 | 7 | 107 |
| Perinatal insults | 34 | 12 | 8 | 9 | 2 | 0 | 9 | 74 |
| Stroke | 32 | 27 | 33 | 0 | 9 | 0 | 1 | 102 |
| Other structural-metabolic causes | 51 | 23 | 18 | 6 | 16 | 5 | 2 | 121 |
| Epilepsies of unknown cause | 517 | 192 | 168 | 257 | 190 | 9 | 96 | 1429 |
| B. | ||||||||
| MRI phenotype | ||||||||
| Normal | 487 | 134 | 94 | 209 | 146 | 8 | 81 | 1159 |
| Unilateral hippocampal sclerosis | 277 | 140 | 65 | 118 | 66 | 182 | 72 | 920 |
| Bilateral hippocampal sclerosis | 12 | 6 | 3 | 4 | 5 | 1 | 0 | 31 |
| Malformations of cortical development | 138 | 38 | 17 | 12 | 14 | 12 | 1 | 232 |
| Cerebrovascular disease | 27 | 12 | 30 | 0 | 11 | 0 | 1 | 81 |
| Perinatal injury | 34 | 1 | 7 | 8 | 1 | 0 | 9 | 60 |
| Other acquired injury | 59 | 29 | 27 | 3 | 20 | 0 | 8 | 146 |
| Vascular malformation | 34 | 25 | 25 | 4 | 18 | 0 | 7 | 113 |
| Tumour | 42 | 60 | 42 | 3 | 50 | 23 | 2 | 222 |
| Other | 39 | 23 | 41 | 31 | 6 | 4 | 18 | 162 |
| Incidental MRI findings | 26 | 26 | 39 | 11 | 20 | 1 | 2 | 125 |
| MRI not available, but an X-ray computerized tomography scan is consistent with the presence of a particular abnormality | 10 | 15 | 10 | 0 | 0 | 0 | 0 | 35 |
| MRI data not availablea | 0 | 98 | 18 | 7 | 36 | 0 | 0 | 159 |
| Phenotype | UK (n = 1185) | Ireland (n = 607) | Belgium (n = 418) | Finland (n = 410) | USA (n = 393) | Switzerland (n = 231) | Norway (n = 201) | Total (n = 3445) |
|---|---|---|---|---|---|---|---|---|
| A. | ||||||||
| Syndrome or constellation | ||||||||
| Distinctive constellations | ||||||||
| Mesial temporal lobe epilepsy with hippocampal sclerosis | 265 | 148 | 67 | 116 | 71 | 182 | 70 | 919 |
| Epilepsies that can be distinguished first on the basis of the presence or absence of a known structural or metabolic condition (presumed cause) and then on the basis of the primary mode of seizure onset (generalized versus focal) | ||||||||
| Epilepsies attributed to and organized by structural-metabolic causes | ||||||||
| Malformations of cortical development (hemimegalencephaly, heterotopias, etc.) | 141 | 38 | 21 | 12 | 16 | 12 | 1 | 241 |
| Neurocutaneous syndromes (tuberous sclerosis complex, Sturge-Weber, etc.) | 1 | 3 | 3 | 0 | 3 | 0 | 0 | 10 |
| Tumour | 42 | 62 | 42 | 3 | 48 | 23 | 2 | 222 |
| Infection | 36 | 16 | 9 | 1 | 8 | 0 | 6 | 76 |
| Trauma | 32 | 60 | 22 | 2 | 21 | 0 | 7 | 144 |
| Angioma or other vascular malformation | 34 | 26 | 27 | 4 | 9 | 0 | 7 | 107 |
| Perinatal insults | 34 | 12 | 8 | 9 | 2 | 0 | 9 | 74 |
| Stroke | 32 | 27 | 33 | 0 | 9 | 0 | 1 | 102 |
| Other structural-metabolic causes | 51 | 23 | 18 | 6 | 16 | 5 | 2 | 121 |
| Epilepsies of unknown cause | 517 | 192 | 168 | 257 | 190 | 9 | 96 | 1429 |
| B. | ||||||||
| MRI phenotype | ||||||||
| Normal | 487 | 134 | 94 | 209 | 146 | 8 | 81 | 1159 |
| Unilateral hippocampal sclerosis | 277 | 140 | 65 | 118 | 66 | 182 | 72 | 920 |
| Bilateral hippocampal sclerosis | 12 | 6 | 3 | 4 | 5 | 1 | 0 | 31 |
| Malformations of cortical development | 138 | 38 | 17 | 12 | 14 | 12 | 1 | 232 |
| Cerebrovascular disease | 27 | 12 | 30 | 0 | 11 | 0 | 1 | 81 |
| Perinatal injury | 34 | 1 | 7 | 8 | 1 | 0 | 9 | 60 |
| Other acquired injury | 59 | 29 | 27 | 3 | 20 | 0 | 8 | 146 |
| Vascular malformation | 34 | 25 | 25 | 4 | 18 | 0 | 7 | 113 |
| Tumour | 42 | 60 | 42 | 3 | 50 | 23 | 2 | 222 |
| Other | 39 | 23 | 41 | 31 | 6 | 4 | 18 | 162 |
| Incidental MRI findings | 26 | 26 | 39 | 11 | 20 | 1 | 2 | 125 |
| MRI not available, but an X-ray computerized tomography scan is consistent with the presence of a particular abnormality | 10 | 15 | 10 | 0 | 0 | 0 | 0 | 35 |
| MRI data not availablea | 0 | 98 | 18 | 7 | 36 | 0 | 0 | 159 |
The organization of phenotypes was adapted to include only the categories for which there were patients in our study. We note that the proposed organization of phenotypes (Berg et al., 2010) is not specific for partial epilepsies, but only patients with partial epilepsies were included in our study. The numbers of patients in some phenotype categories in part A of the table do not necessarily match numbers in the similar categories in the part B, because part A contains the numbers related to causation of epilepsy, which is determined using all available clinical history and investigations, while part B contains data on MRI findings alone. a Excludes 10 patients from the UK, 15 patients from Ireland and 10 patients from Belgium, for whom an X-ray computerized tomography scan is consistent with the presence of a particular abnormality (cerebrovascular disease, infection or trauma).
Informed consent was obtained from study participants and the study was approved by the Ethics Committee at each recruitment site according to national standards. Patients of all ethnicities were recruited and genotyped. However, only patients of European ancestry were included in genome-wide association analysis to minimize confounding by population structure (see below).
Controls
We used (Supplementary Fig. 1): (i) 288 controls from Finland and 285 controls from Switzerland without neurological conditions, recruited and genotyped for this study; (ii) 1165 USA controls from the Duke Memory study (Need et al., 2009; Cirulli et al., 2010), who consented to participate in epilepsy genetics research; 84% of participants filled in a questionnaire about their history of neurological conditions and the subjects who reported a history of seizures were excluded from the study; (iii) 5667 population controls from the Wellcome Trust Case Control Consortium (2007) Phase 2, September 2009 data release; (iv) 469 population controls from Finland, all 85-years-old or over at the time of recruitment (Vantaa85+) (Myllykangas et al., 2005; Peuralinna et al., 2008); and (v) 211 Irish neurologically-normal controls from the Study of Irish Amyotrophic Lateral Sclerosis (Cronin et al., 2008).
Genotyping and quality control
DNA was extracted from blood samples using standard procedures. All patients with epilepsy and the Switzerland, Finland and USA controls were genotyped at Duke University. The majority of the in-house genotyped patients (93.4%) and controls (77.4%) were genotyped using Human610-Quadv1genotyping chips (Table 2). Genotype calling and quality control were performed using Beadstudio v3 software as previously described (Fellay et al., 2007) and detailed in the Supplementary material. Finnish control data from the Vantaa85+ study were received in Beadstudio files and processed using the same protocol.
Subjects of European ancestry included in the analysis
| Country | Number of subjects in analysis | Percent of females (number) | Genotyping chip (number of samples) |
|---|---|---|---|
| Patients | |||
| UK | 1185 | 51.1 (605) | Human610-Quadv1 (1018), HumanHap550v3 (167) |
| Ireland | 607 | 51.1 (310) | Human610-Quadv1 (562), HumanHap300v1 (45) |
| Belgium | 418 | 53.1 (222) | Human610-Quadv1 (418) |
| Finland | 410 | 59.0 (242) | Human610-Quadv1 (410) |
| USA | 393 | 55.2 (217) | Human610-Quadv1 (393) |
| Norway | 201 | 55.7 (112) | Human610-Quadv1 (201) |
| Switzerland | 231 | 50.2 (116) | Human610-Quadv1 (231) |
| All patients | 3445 | 52.9 (1824) | Human610-Quadv1 (3233), HumanHap550v3 (167), HumanHap300v1 (45) |
| Controls | |||
| UK | 5116 | 49.6 (2535) | Human1-2M-DuoCustom (5116) |
| Finland | 746 | 72.9 (544) | Human610-Quadv1 (277), Human1M-Duov3 (104), HumanCNV370-Quadv3 (171), HumanCNV370v1 (194) |
| USA | 605 | 56.9 (344) | Human610-Quadv1 (347), HumanHap550v3 (81), HumanHap550v1 (171), Human1Mv1 (6) |
| Switzerland | 259 | 56.8 (147) | Human610-Quadv1 (259) |
| Ireland | 209 | 46.9 (98) | HumanHap550v3 (209) |
| All controls | 6935 | 52.9 (3668) | Human610-Quadv1 (883), Human1-2M-DuoCustom (5116), HumanHap550v3 (81), HumanHap550v1 (380), Human1Mv1 (6), Human1M-Duov3 (104), HumanCNV370-Quadv3 (171), HumanCNV370v1 (194) |
| Country | Number of subjects in analysis | Percent of females (number) | Genotyping chip (number of samples) |
|---|---|---|---|
| Patients | |||
| UK | 1185 | 51.1 (605) | Human610-Quadv1 (1018), HumanHap550v3 (167) |
| Ireland | 607 | 51.1 (310) | Human610-Quadv1 (562), HumanHap300v1 (45) |
| Belgium | 418 | 53.1 (222) | Human610-Quadv1 (418) |
| Finland | 410 | 59.0 (242) | Human610-Quadv1 (410) |
| USA | 393 | 55.2 (217) | Human610-Quadv1 (393) |
| Norway | 201 | 55.7 (112) | Human610-Quadv1 (201) |
| Switzerland | 231 | 50.2 (116) | Human610-Quadv1 (231) |
| All patients | 3445 | 52.9 (1824) | Human610-Quadv1 (3233), HumanHap550v3 (167), HumanHap300v1 (45) |
| Controls | |||
| UK | 5116 | 49.6 (2535) | Human1-2M-DuoCustom (5116) |
| Finland | 746 | 72.9 (544) | Human610-Quadv1 (277), Human1M-Duov3 (104), HumanCNV370-Quadv3 (171), HumanCNV370v1 (194) |
| USA | 605 | 56.9 (344) | Human610-Quadv1 (347), HumanHap550v3 (81), HumanHap550v1 (171), Human1Mv1 (6) |
| Switzerland | 259 | 56.8 (147) | Human610-Quadv1 (259) |
| Ireland | 209 | 46.9 (98) | HumanHap550v3 (209) |
| All controls | 6935 | 52.9 (3668) | Human610-Quadv1 (883), Human1-2M-DuoCustom (5116), HumanHap550v3 (81), HumanHap550v1 (380), Human1Mv1 (6), Human1M-Duov3 (104), HumanCNV370-Quadv3 (171), HumanCNV370v1 (194) |
Subjects of European ancestry included in the analysis
| Country | Number of subjects in analysis | Percent of females (number) | Genotyping chip (number of samples) |
|---|---|---|---|
| Patients | |||
| UK | 1185 | 51.1 (605) | Human610-Quadv1 (1018), HumanHap550v3 (167) |
| Ireland | 607 | 51.1 (310) | Human610-Quadv1 (562), HumanHap300v1 (45) |
| Belgium | 418 | 53.1 (222) | Human610-Quadv1 (418) |
| Finland | 410 | 59.0 (242) | Human610-Quadv1 (410) |
| USA | 393 | 55.2 (217) | Human610-Quadv1 (393) |
| Norway | 201 | 55.7 (112) | Human610-Quadv1 (201) |
| Switzerland | 231 | 50.2 (116) | Human610-Quadv1 (231) |
| All patients | 3445 | 52.9 (1824) | Human610-Quadv1 (3233), HumanHap550v3 (167), HumanHap300v1 (45) |
| Controls | |||
| UK | 5116 | 49.6 (2535) | Human1-2M-DuoCustom (5116) |
| Finland | 746 | 72.9 (544) | Human610-Quadv1 (277), Human1M-Duov3 (104), HumanCNV370-Quadv3 (171), HumanCNV370v1 (194) |
| USA | 605 | 56.9 (344) | Human610-Quadv1 (347), HumanHap550v3 (81), HumanHap550v1 (171), Human1Mv1 (6) |
| Switzerland | 259 | 56.8 (147) | Human610-Quadv1 (259) |
| Ireland | 209 | 46.9 (98) | HumanHap550v3 (209) |
| All controls | 6935 | 52.9 (3668) | Human610-Quadv1 (883), Human1-2M-DuoCustom (5116), HumanHap550v3 (81), HumanHap550v1 (380), Human1Mv1 (6), Human1M-Duov3 (104), HumanCNV370-Quadv3 (171), HumanCNV370v1 (194) |
| Country | Number of subjects in analysis | Percent of females (number) | Genotyping chip (number of samples) |
|---|---|---|---|
| Patients | |||
| UK | 1185 | 51.1 (605) | Human610-Quadv1 (1018), HumanHap550v3 (167) |
| Ireland | 607 | 51.1 (310) | Human610-Quadv1 (562), HumanHap300v1 (45) |
| Belgium | 418 | 53.1 (222) | Human610-Quadv1 (418) |
| Finland | 410 | 59.0 (242) | Human610-Quadv1 (410) |
| USA | 393 | 55.2 (217) | Human610-Quadv1 (393) |
| Norway | 201 | 55.7 (112) | Human610-Quadv1 (201) |
| Switzerland | 231 | 50.2 (116) | Human610-Quadv1 (231) |
| All patients | 3445 | 52.9 (1824) | Human610-Quadv1 (3233), HumanHap550v3 (167), HumanHap300v1 (45) |
| Controls | |||
| UK | 5116 | 49.6 (2535) | Human1-2M-DuoCustom (5116) |
| Finland | 746 | 72.9 (544) | Human610-Quadv1 (277), Human1M-Duov3 (104), HumanCNV370-Quadv3 (171), HumanCNV370v1 (194) |
| USA | 605 | 56.9 (344) | Human610-Quadv1 (347), HumanHap550v3 (81), HumanHap550v1 (171), Human1Mv1 (6) |
| Switzerland | 259 | 56.8 (147) | Human610-Quadv1 (259) |
| Ireland | 209 | 46.9 (98) | HumanHap550v3 (209) |
| All controls | 6935 | 52.9 (3668) | Human610-Quadv1 (883), Human1-2M-DuoCustom (5116), HumanHap550v3 (81), HumanHap550v1 (380), Human1Mv1 (6), Human1M-Duov3 (104), HumanCNV370-Quadv3 (171), HumanCNV370v1 (194) |
Quality control procedures were applied to the Wellcome Trust Case Control Consortium control dataset in the following order: (i) all individuals listed as 'individual exclusions' in the data release documentation were excluded; (ii) any remaining individuals with >2% missing data were removed; (iii) single nucleotide polymorphisms (SNPs) with >1% missing data were removed; (iv) SNPs with Hardy-Weinberg equilibrium P-value below 1 × 10−10 were removed; (v) allele frequencies in 1958 birth cohort and National-Blood cohort subsets were compared using the χ2 test, and SNPs with P-values below 1 × 10−10 were removed; and (vi) principal component analysis was performed on the remaining data using a subset of unlinked SNPs to check for possible plate effects. Such effects were suspected in two plates and these samples were removed (Supplementary material).
The Irish control genotype data were downloaded from the dbGaP database (http://www.ncbi.nlm.nih.gov/gap), dbGaP accession number phs000127.v1.p1. SNPs with call rates below 0.98 and cluster separation values below 0.3, as provided in the data release documentation, were removed. We then checked that none of the individuals had >2% missing data.
Further, we performed gender and relatedness checks for all samples and manually inspected cluster plots for a subset of SNPs as described in the Supplementary material.
Population ancestry and stratification analysis
A combination of self-identified ancestry and EIGENSTRAT principal components methods (Price et al., 2006) were used to identify individuals of European ancestry and to correct further for population stratification. We used a modified EIGENSTRAT method, as previously described (Fellay et al., 2007) and detailed in the Supplementary material.
Principal component analysis also detects correlations in the data that may occur for reasons other than population ancestry. Correlations among individuals may be due to laboratory processing error (batch or plate effects). Correlations among SNPs may be due to large linkage disequilibrium regions or genotype calling differences (e.g. genotyping chip differences or different genotype call algorithms). Therefore, we inspected all EIGENSTRAT axes for these effects and suspect samples were removed. Similarly, we detected 31 SNPs discordant between HumanHap550 and Human610-Quadv1 chips and removed them from the analysis.
Association analysis
Only SNPs present on both Illumina Human610-Quadv1 and Human1-2M-DuoCustom were included in the analysis. Association analysis was performed using PLINK (Purcell et al., 2007). First, we used the logistic regression additive model, including gender and all significant EIGENSTRAT axes, as assessed using the Tracy-Widom statistic with P < 0.05, as covariates into the model. Further, we performed a stratified analysis using the Cochran–Mantel–Haenszel test. For this analysis, seven strata were used, each corresponding to the recruitment country. To ensure homogeneity of each stratum, we performed principal component analysis within each stratum separately and removed the outliers.
Only SNPs with minor allele frequency of 1% and above were included in the analysis. We chose this frequency cut-off because we were interested in common variants. Our study was underpowered to detect associations with lower allele frequencies. Genotypes of SNPs with minor allele frequency <1% were less reliably called across the different cohorts.
Power calculations were performed using PGA Power Calculator software (Menashe et al., 2008) assuming a disease prevalence of 0.5%, the additive risk model, and r2 0.9 between a causal variant and a genotyped marker (Fig. 1).
Minimal detectable odds ratio at P = 5 × 10−8 for different power levels in our genome-wide association-study. Power calculations were performed assuming a disease prevalence of 0.5%, the additive risk model and r2 = 0.9 between a causal variant and a genotyped marker.
Minimal detectable odds ratio at P = 5 × 10−8 for different power levels in our genome-wide association-study. Power calculations were performed assuming a disease prevalence of 0.5%, the additive risk model and r2 = 0.9 between a causal variant and a genotyped marker.
Gene ontology analysis was performed using the ALIGATOR method (Holmans et al., 2009) to investigate whether there was enrichment for SNPs in genes in any gene ontology categories among the SNPs with low, but not genome-wide significant, P-values. We investigated these SNP sets using two thresholds, P < 0.0001 and P < 0.001. Only SNPs located within genes were included (based on NCBI SNP build 129 and NCBI sequence build 36.3). One SNP per gene, with the lowest P-value, was included in the ALIGATOR analysis using 20 000 simulated replicate gene lists and 5000 simulated replicate studies.
Results
Study participants (total 4514, 3941 patients with partial epilepsies and 573 controls) were genotyped in the study (Supplementary Fig. 1). 4383 (97.1%, 3816 patients and 567 controls) passed genotyping quality control filters. After the application of quality control procedures, the average genotyping call rate was 99.96% for subjects genotyped on Human610-Quadv1 chips and 99.93% for subjects genotyped on HumanHap550v3 chips. Thirty-four known duplicate samples were genotyped. Genotype concordance rate was >99.99% regardless of whether samples were genotyped on the same chip type or on different chips. Twenty subjects (0.4%, 17 patients and three controls) were excluded because sex mismatch was detected between phenotype and genotype data. One sample was removed because the same patient was recruited independently in two cohorts (UK and Ireland). A further 48 subjects (27 patients and 21 controls) were removed because of imputed relatedness to other study participants. The resulting dataset was merged with the quality-controlled control datasets from the Duke Memory study, Wellcome Trust Case Control Consortium, Vantaa85+ and Study of Irish Amyotrophic Lateral Sclerosis, and a further three related controls were removed.
After the population structure analysis, 3445 patients with partial epilepsies and 6935 controls of European ancestry were included for genome-wide association-analysis (Table 2). 528 745 SNPs were included in the analysis. We note, however, that for the SNPs which were on Human610-Quadv1 and Human1-2M-DuoCustom only, but not on other types of chips, the sample size was smaller. Therefore the minimal sample size was 3233 patients and 5999 controls, if a SNP was not present on any other type of the chip.
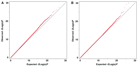
First, we performed association analysis using logistic regression, including sex and 15 EIGENSTRAT axes as covariates in an additive genetic model. Inspection of quantile–quantile plots showed a slight departure from ‘normal’ expectation (Fig. 2A) with a genomic inflation factor λ 1.05. This could indicate the existence of many causal alleles with small effect sizes. However, we were concerned there could be residual population stratification. Unequal sample sizes from different European subpopulations can bias principal component-based population structure analysis, overemphasizing variation within the largest cohorts. Also, because of the differences in ratio of patients and controls from the different populations, the most significant principal component axes correlated with case–control status. Therefore principal component-based correction could have over-compensated. To check the robustness of the association results, we performed a stratified association analysis using the Cochran–Mantel–Haenszel test. The quantile–quantile plot indicated a slight excess of low P-values, with a genomic inflation factor λ 1.02 indicating adequate correction for population structure (Fig. 2B).
Quantile–quantile plots of P-values (red dots) of genome-wide association-analysis in partial epilepsies based on P-values calculated using logistic regression and including significant EIGENSTRAT axes as covariates (A) and using the Cochran–Mantel–Haenszel test (B). Figure generated in WGAviewer (Ge et al., 2008).
Quantile–quantile plots of P-values (red dots) of genome-wide association-analysis in partial epilepsies based on P-values calculated using logistic regression and including significant EIGENSTRAT axes as covariates (A) and using the Cochran–Mantel–Haenszel test (B). Figure generated in WGAviewer (Ge et al., 2008).
Manhattan plots of the genome-wide association-results are shown in Fig. 3. Results for SNPs with P-values below 5 × 10−5 in both analyses are shown in Table 3. All SNPs with P-values below 1 × 10−4 in either Cochran–Mantel–Haenszel or logistic regression tests are shown in the Supplementary material. The P-values for all SNPs are available from http://www.ion.ucl.ac.uk/departments/epilepsy/themes/genetics/PEvsCTRL.
Manhattan plots for genome-wide association-analysis results. −log10P-values of the logistic regression test (A) and the Cochran–Mantel–Haenszel test (B) for quality-control-positive SNPs are plotted against SNP positions on each chromosome. Chromosomes are shown in alternating colours for clarity.
Manhattan plots for genome-wide association-analysis results. −log10P-values of the logistic regression test (A) and the Cochran–Mantel–Haenszel test (B) for quality-control-positive SNPs are plotted against SNP positions on each chromosome. Chromosomes are shown in alternating colours for clarity.
SNPs with P < 5 × 10−5 both in Cochran–Mantel–Haenszel and logistic regression tests
| SNP | Chr | Position (NCBI build 36) | Type | Closest gene | P (CMH) | P (LR) | Odds ratio (95% CI, CMH) | Minor allele | MAF in patients | MAF in controls | Genotype counts in patients | Genotype counts in controls |
|---|---|---|---|---|---|---|---|---|---|---|---|---|
| rs346291 | 6 | 80 564 836 | Within pseudogene | AL132875.2 | 3.34 × 10−7 | 2.51 × 10−6 | 0.83 (0.77–0.89) | A | 0.335 | 0.366 | 384/1538/1523 | 950/3180/2802 |
| rs9341799 | 6 | 80 564 519 | Within pseudogene | AL132875.2 | 4.82 × 10−7 | 2.08 × 10−6 | 1.20 (1.12–1.28) | G | 0.405 | 0.373 | 569/1617/1215 | 943/3005/2617 |
| rs2601828 | 16 | 4 103 871 | Intronic | ADCY9 | 1.21 × 10−6 | 1.04 × 10−6 | 1.21 (1.12–1.31) | A | 0.253 | 0.222 | 200/1342/1903 | 349/2380/4206 |
| rs1490157 | 3 | 21 719 246 | Intronic | ZNF385D | 5.30 × 10−6 | 2.36 × 10−5 | 0.83 (0.76–0.90) | G | 0.229 | 0.261 | 163/1229/2004 | 444/2538/3572 |
| rs1989647 | 16 | 23 959 420 | Intronic | PRKCB | 1.28 × 10−5 | 8.89 × 10−6 | 1.18 (1.09–1.26) | A | 0.351 | 0.312 | 423/1536/1438 | 654/2791/3122 |
| rs1320292 | 3 | 21 701 712 | Intronic | ZNF385D | 1.61 × 10−5 | 1.82 × 10−5 | 0.83 (0.76–0.90) | A | 0.208 | 0.240 | 140/1127/2116 | 361/2434/3772 |
| rs951997 | 2 | 223 567 016 | Intronic | MOGAT1 | 2.00 × 10−5 | 4.53 × 10−5 | 1.16 (1.08–1.24) | A | 0.476 | 0.443 | 796/1690/959 | 1354/3441/2138 |
| rs1942006 | 10 | 67 653 901 | Intergenic | CTNNA3 | 2.12 × 10−5 | 4.07 × 10−5 | 1.17 (1.09–1.26) | A | 0.300 | 0.274 | 306/1451/1687 | 538/2726/3666 |
| rs1387822 | 3 | 21 686 466 | Intronic | ZNF385D | 2.92 × 10−5 | 2.51 × 10−5 | 0.86 (0.79–0.92) | G | 0.298 | 0.326 | 294/1462/1688 | 725/3070/3137 |
| rs1396626 | 1 | 96 025 546 | Within known processed transcript | AL683887.1 | 3.36 × 10−5 | 3.32 × 10−5 | 1.17 (1.08–1.25) | A | 0.318 | 0.288 | 351/1487/1607 | 585/2823/3522 |
| rs16834756 | 2 | 154 745 009 | Intronic | GALNT13 | 4.89 × 10−5 | 3.68 × 10−6 | 0.67 (0.55–0.81) | G | 0.030 | 0.046 | 6/190/3205 | 9/582/5973 |
| SNP | Chr | Position (NCBI build 36) | Type | Closest gene | P (CMH) | P (LR) | Odds ratio (95% CI, CMH) | Minor allele | MAF in patients | MAF in controls | Genotype counts in patients | Genotype counts in controls |
|---|---|---|---|---|---|---|---|---|---|---|---|---|
| rs346291 | 6 | 80 564 836 | Within pseudogene | AL132875.2 | 3.34 × 10−7 | 2.51 × 10−6 | 0.83 (0.77–0.89) | A | 0.335 | 0.366 | 384/1538/1523 | 950/3180/2802 |
| rs9341799 | 6 | 80 564 519 | Within pseudogene | AL132875.2 | 4.82 × 10−7 | 2.08 × 10−6 | 1.20 (1.12–1.28) | G | 0.405 | 0.373 | 569/1617/1215 | 943/3005/2617 |
| rs2601828 | 16 | 4 103 871 | Intronic | ADCY9 | 1.21 × 10−6 | 1.04 × 10−6 | 1.21 (1.12–1.31) | A | 0.253 | 0.222 | 200/1342/1903 | 349/2380/4206 |
| rs1490157 | 3 | 21 719 246 | Intronic | ZNF385D | 5.30 × 10−6 | 2.36 × 10−5 | 0.83 (0.76–0.90) | G | 0.229 | 0.261 | 163/1229/2004 | 444/2538/3572 |
| rs1989647 | 16 | 23 959 420 | Intronic | PRKCB | 1.28 × 10−5 | 8.89 × 10−6 | 1.18 (1.09–1.26) | A | 0.351 | 0.312 | 423/1536/1438 | 654/2791/3122 |
| rs1320292 | 3 | 21 701 712 | Intronic | ZNF385D | 1.61 × 10−5 | 1.82 × 10−5 | 0.83 (0.76–0.90) | A | 0.208 | 0.240 | 140/1127/2116 | 361/2434/3772 |
| rs951997 | 2 | 223 567 016 | Intronic | MOGAT1 | 2.00 × 10−5 | 4.53 × 10−5 | 1.16 (1.08–1.24) | A | 0.476 | 0.443 | 796/1690/959 | 1354/3441/2138 |
| rs1942006 | 10 | 67 653 901 | Intergenic | CTNNA3 | 2.12 × 10−5 | 4.07 × 10−5 | 1.17 (1.09–1.26) | A | 0.300 | 0.274 | 306/1451/1687 | 538/2726/3666 |
| rs1387822 | 3 | 21 686 466 | Intronic | ZNF385D | 2.92 × 10−5 | 2.51 × 10−5 | 0.86 (0.79–0.92) | G | 0.298 | 0.326 | 294/1462/1688 | 725/3070/3137 |
| rs1396626 | 1 | 96 025 546 | Within known processed transcript | AL683887.1 | 3.36 × 10−5 | 3.32 × 10−5 | 1.17 (1.08–1.25) | A | 0.318 | 0.288 | 351/1487/1607 | 585/2823/3522 |
| rs16834756 | 2 | 154 745 009 | Intronic | GALNT13 | 4.89 × 10−5 | 3.68 × 10−6 | 0.67 (0.55–0.81) | G | 0.030 | 0.046 | 6/190/3205 | 9/582/5973 |
CMH = Cochran–Mantel–Haenszel; LR = logistic regression; Chr = chromosome; CI = confidence intervals; MAF = minor allele frequency.
SNPs with P < 5 × 10−5 both in Cochran–Mantel–Haenszel and logistic regression tests
| SNP | Chr | Position (NCBI build 36) | Type | Closest gene | P (CMH) | P (LR) | Odds ratio (95% CI, CMH) | Minor allele | MAF in patients | MAF in controls | Genotype counts in patients | Genotype counts in controls |
|---|---|---|---|---|---|---|---|---|---|---|---|---|
| rs346291 | 6 | 80 564 836 | Within pseudogene | AL132875.2 | 3.34 × 10−7 | 2.51 × 10−6 | 0.83 (0.77–0.89) | A | 0.335 | 0.366 | 384/1538/1523 | 950/3180/2802 |
| rs9341799 | 6 | 80 564 519 | Within pseudogene | AL132875.2 | 4.82 × 10−7 | 2.08 × 10−6 | 1.20 (1.12–1.28) | G | 0.405 | 0.373 | 569/1617/1215 | 943/3005/2617 |
| rs2601828 | 16 | 4 103 871 | Intronic | ADCY9 | 1.21 × 10−6 | 1.04 × 10−6 | 1.21 (1.12–1.31) | A | 0.253 | 0.222 | 200/1342/1903 | 349/2380/4206 |
| rs1490157 | 3 | 21 719 246 | Intronic | ZNF385D | 5.30 × 10−6 | 2.36 × 10−5 | 0.83 (0.76–0.90) | G | 0.229 | 0.261 | 163/1229/2004 | 444/2538/3572 |
| rs1989647 | 16 | 23 959 420 | Intronic | PRKCB | 1.28 × 10−5 | 8.89 × 10−6 | 1.18 (1.09–1.26) | A | 0.351 | 0.312 | 423/1536/1438 | 654/2791/3122 |
| rs1320292 | 3 | 21 701 712 | Intronic | ZNF385D | 1.61 × 10−5 | 1.82 × 10−5 | 0.83 (0.76–0.90) | A | 0.208 | 0.240 | 140/1127/2116 | 361/2434/3772 |
| rs951997 | 2 | 223 567 016 | Intronic | MOGAT1 | 2.00 × 10−5 | 4.53 × 10−5 | 1.16 (1.08–1.24) | A | 0.476 | 0.443 | 796/1690/959 | 1354/3441/2138 |
| rs1942006 | 10 | 67 653 901 | Intergenic | CTNNA3 | 2.12 × 10−5 | 4.07 × 10−5 | 1.17 (1.09–1.26) | A | 0.300 | 0.274 | 306/1451/1687 | 538/2726/3666 |
| rs1387822 | 3 | 21 686 466 | Intronic | ZNF385D | 2.92 × 10−5 | 2.51 × 10−5 | 0.86 (0.79–0.92) | G | 0.298 | 0.326 | 294/1462/1688 | 725/3070/3137 |
| rs1396626 | 1 | 96 025 546 | Within known processed transcript | AL683887.1 | 3.36 × 10−5 | 3.32 × 10−5 | 1.17 (1.08–1.25) | A | 0.318 | 0.288 | 351/1487/1607 | 585/2823/3522 |
| rs16834756 | 2 | 154 745 009 | Intronic | GALNT13 | 4.89 × 10−5 | 3.68 × 10−6 | 0.67 (0.55–0.81) | G | 0.030 | 0.046 | 6/190/3205 | 9/582/5973 |
| SNP | Chr | Position (NCBI build 36) | Type | Closest gene | P (CMH) | P (LR) | Odds ratio (95% CI, CMH) | Minor allele | MAF in patients | MAF in controls | Genotype counts in patients | Genotype counts in controls |
|---|---|---|---|---|---|---|---|---|---|---|---|---|
| rs346291 | 6 | 80 564 836 | Within pseudogene | AL132875.2 | 3.34 × 10−7 | 2.51 × 10−6 | 0.83 (0.77–0.89) | A | 0.335 | 0.366 | 384/1538/1523 | 950/3180/2802 |
| rs9341799 | 6 | 80 564 519 | Within pseudogene | AL132875.2 | 4.82 × 10−7 | 2.08 × 10−6 | 1.20 (1.12–1.28) | G | 0.405 | 0.373 | 569/1617/1215 | 943/3005/2617 |
| rs2601828 | 16 | 4 103 871 | Intronic | ADCY9 | 1.21 × 10−6 | 1.04 × 10−6 | 1.21 (1.12–1.31) | A | 0.253 | 0.222 | 200/1342/1903 | 349/2380/4206 |
| rs1490157 | 3 | 21 719 246 | Intronic | ZNF385D | 5.30 × 10−6 | 2.36 × 10−5 | 0.83 (0.76–0.90) | G | 0.229 | 0.261 | 163/1229/2004 | 444/2538/3572 |
| rs1989647 | 16 | 23 959 420 | Intronic | PRKCB | 1.28 × 10−5 | 8.89 × 10−6 | 1.18 (1.09–1.26) | A | 0.351 | 0.312 | 423/1536/1438 | 654/2791/3122 |
| rs1320292 | 3 | 21 701 712 | Intronic | ZNF385D | 1.61 × 10−5 | 1.82 × 10−5 | 0.83 (0.76–0.90) | A | 0.208 | 0.240 | 140/1127/2116 | 361/2434/3772 |
| rs951997 | 2 | 223 567 016 | Intronic | MOGAT1 | 2.00 × 10−5 | 4.53 × 10−5 | 1.16 (1.08–1.24) | A | 0.476 | 0.443 | 796/1690/959 | 1354/3441/2138 |
| rs1942006 | 10 | 67 653 901 | Intergenic | CTNNA3 | 2.12 × 10−5 | 4.07 × 10−5 | 1.17 (1.09–1.26) | A | 0.300 | 0.274 | 306/1451/1687 | 538/2726/3666 |
| rs1387822 | 3 | 21 686 466 | Intronic | ZNF385D | 2.92 × 10−5 | 2.51 × 10−5 | 0.86 (0.79–0.92) | G | 0.298 | 0.326 | 294/1462/1688 | 725/3070/3137 |
| rs1396626 | 1 | 96 025 546 | Within known processed transcript | AL683887.1 | 3.36 × 10−5 | 3.32 × 10−5 | 1.17 (1.08–1.25) | A | 0.318 | 0.288 | 351/1487/1607 | 585/2823/3522 |
| rs16834756 | 2 | 154 745 009 | Intronic | GALNT13 | 4.89 × 10−5 | 3.68 × 10−6 | 0.67 (0.55–0.81) | G | 0.030 | 0.046 | 6/190/3205 | 9/582/5973 |
CMH = Cochran–Mantel–Haenszel; LR = logistic regression; Chr = chromosome; CI = confidence intervals; MAF = minor allele frequency.
None of the P-values in our study reach the now widely-accepted 5 × 10−8 threshold for genome-wide significance in association studies (McCarthy et al., 2008), nor the 9.46 × 10−8 threshold required to achieve significance after applying Bonferroni correction for 528 745 tests in our study specifically.
The top SNP, rs346291, (P = 3.34 × 10−7) is located on chromosome 6 within a predicted pseudogene and is located 95 and 116 kb from the closest known genes, SH3BGRL2 and ELOVL4, respectively. There is little linkage disequilibrium in the region, and the second most-associated SNP, rs9341799, is in only moderate linkage disequilibrium with rs346291 (r2 = 0.34 in our dataset) (Fig. 4). To test the independence of association signals for these two SNPs, we performed logistic regression analysis for rs9341799 conditioned on the genotype of rs346291, i.e. incorporating this genotype as a covariate in the model. We detected a residual association (P = 0.0102), indicating that these two signals are not completely dependent on each other.
Overview of chromosome 6 region with top associated SNPs. Top: −log10P-values for Cochran–Mantel–Haenszel test, each bar represents a SNP; bottom: linkage disequilibrium structure for this region in HapMap CEU samples, colouring according to r2. Figure generated in WGAviewer (Ge et al., 2008).
Overview of chromosome 6 region with top associated SNPs. Top: −log10P-values for Cochran–Mantel–Haenszel test, each bar represents a SNP; bottom: linkage disequilibrium structure for this region in HapMap CEU samples, colouring according to r2. Figure generated in WGAviewer (Ge et al., 2008).
The other top associated SNPs lie within interesting candidate genes and may warrant further investigation. The third most-associated SNP, rs2601828 (P = 1.21 × 10−6) is an intronic SNP in the ADCY9 gene, encoding adenylate cyclase 9, which catalyses the formation of cyclic AMP from ATP and is involved in neuronal signalling. The PRKCB gene, which encodes protein kinase C, also involved in neuronal signalling, is another interesting candidate. However, we note that these associations did not reach genome-wide significance in our study and require replication in an independent study.
Further, we performed gene ontology analysis to see whether any gene ontology categories are overrepresented among genes with SNPs with low P values (Holmans et al., 2009). Ion-channel and receptor coding genes showed significant enrichment (Tables 4 and 5).
Results of gene ontology analysis for partial epilepsies associated SNPs with P < 0.0001 (Cochran–Mantel–Haenszel test), gene ontology categories with enrichment P < 0.05
| Gene ontology number | Type | Total number genes in category | Number of genes on list | Expected number of genes on list | P-value | Function |
|---|---|---|---|---|---|---|
| GO:0005230 | FUNCTION | 69 | 3 | 0.3 | 0.0032 | Extracellular ligand-gated ion channel activity |
| GO:0005234 | FUNCTION | 19 | 2 | 0.2 | 0.016 | Extracellular-glutamate-gated ion channel activity |
| GO:0004970 | FUNCTION | 18 | 2 | 0.2 | 0.016 | Ionotropic glutamate receptor activity |
| GO:0015276 | FUNCTION | 112 | 3 | 0.58 | 0.019 | Ligand-gated ion channel activity |
| GO:0022834 | FUNCTION | 112 | 3 | 0.58 | 0.019 | Ligand-gated channel activity |
| GO:0005231 | FUNCTION | 46 | 2 | 0.23 | 0.021 | Excitatory extracellular ligand-gated ion channel activity |
| GO:0004888 | FUNCTION | 832 | 6 | 2.28 | 0.022 | Transmembrane receptor activity |
| GO:0044248 | PROCESS | 839 | 4 | 1.22 | 0.032 | Cellular catabolic process |
| GO:0046982 | FUNCTION | 125 | 2 | 0.29 | 0.032 | Protein heterodimerization activity |
| GO:0045211 | CELLULAR | 115 | 3 | 0.72 | 0.035 | Postsynaptic membrane |
| GO:0022836 | FUNCTION | 277 | 4 | 1.25 | 0.035 | Gated channel activity |
| GO:0016788 | FUNCTION | 547 | 4 | 1.27 | 0.036 | Hydrolase activity, acting on ester bonds |
| GO:0000122 | PROCESS | 148 | 2 | 0.31 | 0.039 | Negative regulation of transcription from RNA polymerase II promoter |
| GO:0008066 | FUNCTION | 29 | 2 | 0.32 | 0.040 | Glutamate receptor activity |
| GO:0005529 | FUNCTION | 145 | 2 | 0.32 | 0.041 | Sugar binding |
| GO:0009056 | PROCESS | 952 | 4 | 1.41 | 0.049 | Catabolic process |
| Gene ontology number | Type | Total number genes in category | Number of genes on list | Expected number of genes on list | P-value | Function |
|---|---|---|---|---|---|---|
| GO:0005230 | FUNCTION | 69 | 3 | 0.3 | 0.0032 | Extracellular ligand-gated ion channel activity |
| GO:0005234 | FUNCTION | 19 | 2 | 0.2 | 0.016 | Extracellular-glutamate-gated ion channel activity |
| GO:0004970 | FUNCTION | 18 | 2 | 0.2 | 0.016 | Ionotropic glutamate receptor activity |
| GO:0015276 | FUNCTION | 112 | 3 | 0.58 | 0.019 | Ligand-gated ion channel activity |
| GO:0022834 | FUNCTION | 112 | 3 | 0.58 | 0.019 | Ligand-gated channel activity |
| GO:0005231 | FUNCTION | 46 | 2 | 0.23 | 0.021 | Excitatory extracellular ligand-gated ion channel activity |
| GO:0004888 | FUNCTION | 832 | 6 | 2.28 | 0.022 | Transmembrane receptor activity |
| GO:0044248 | PROCESS | 839 | 4 | 1.22 | 0.032 | Cellular catabolic process |
| GO:0046982 | FUNCTION | 125 | 2 | 0.29 | 0.032 | Protein heterodimerization activity |
| GO:0045211 | CELLULAR | 115 | 3 | 0.72 | 0.035 | Postsynaptic membrane |
| GO:0022836 | FUNCTION | 277 | 4 | 1.25 | 0.035 | Gated channel activity |
| GO:0016788 | FUNCTION | 547 | 4 | 1.27 | 0.036 | Hydrolase activity, acting on ester bonds |
| GO:0000122 | PROCESS | 148 | 2 | 0.31 | 0.039 | Negative regulation of transcription from RNA polymerase II promoter |
| GO:0008066 | FUNCTION | 29 | 2 | 0.32 | 0.040 | Glutamate receptor activity |
| GO:0005529 | FUNCTION | 145 | 2 | 0.32 | 0.041 | Sugar binding |
| GO:0009056 | PROCESS | 952 | 4 | 1.41 | 0.049 | Catabolic process |
Results of gene ontology analysis for partial epilepsies associated SNPs with P < 0.0001 (Cochran–Mantel–Haenszel test), gene ontology categories with enrichment P < 0.05
| Gene ontology number | Type | Total number genes in category | Number of genes on list | Expected number of genes on list | P-value | Function |
|---|---|---|---|---|---|---|
| GO:0005230 | FUNCTION | 69 | 3 | 0.3 | 0.0032 | Extracellular ligand-gated ion channel activity |
| GO:0005234 | FUNCTION | 19 | 2 | 0.2 | 0.016 | Extracellular-glutamate-gated ion channel activity |
| GO:0004970 | FUNCTION | 18 | 2 | 0.2 | 0.016 | Ionotropic glutamate receptor activity |
| GO:0015276 | FUNCTION | 112 | 3 | 0.58 | 0.019 | Ligand-gated ion channel activity |
| GO:0022834 | FUNCTION | 112 | 3 | 0.58 | 0.019 | Ligand-gated channel activity |
| GO:0005231 | FUNCTION | 46 | 2 | 0.23 | 0.021 | Excitatory extracellular ligand-gated ion channel activity |
| GO:0004888 | FUNCTION | 832 | 6 | 2.28 | 0.022 | Transmembrane receptor activity |
| GO:0044248 | PROCESS | 839 | 4 | 1.22 | 0.032 | Cellular catabolic process |
| GO:0046982 | FUNCTION | 125 | 2 | 0.29 | 0.032 | Protein heterodimerization activity |
| GO:0045211 | CELLULAR | 115 | 3 | 0.72 | 0.035 | Postsynaptic membrane |
| GO:0022836 | FUNCTION | 277 | 4 | 1.25 | 0.035 | Gated channel activity |
| GO:0016788 | FUNCTION | 547 | 4 | 1.27 | 0.036 | Hydrolase activity, acting on ester bonds |
| GO:0000122 | PROCESS | 148 | 2 | 0.31 | 0.039 | Negative regulation of transcription from RNA polymerase II promoter |
| GO:0008066 | FUNCTION | 29 | 2 | 0.32 | 0.040 | Glutamate receptor activity |
| GO:0005529 | FUNCTION | 145 | 2 | 0.32 | 0.041 | Sugar binding |
| GO:0009056 | PROCESS | 952 | 4 | 1.41 | 0.049 | Catabolic process |
| Gene ontology number | Type | Total number genes in category | Number of genes on list | Expected number of genes on list | P-value | Function |
|---|---|---|---|---|---|---|
| GO:0005230 | FUNCTION | 69 | 3 | 0.3 | 0.0032 | Extracellular ligand-gated ion channel activity |
| GO:0005234 | FUNCTION | 19 | 2 | 0.2 | 0.016 | Extracellular-glutamate-gated ion channel activity |
| GO:0004970 | FUNCTION | 18 | 2 | 0.2 | 0.016 | Ionotropic glutamate receptor activity |
| GO:0015276 | FUNCTION | 112 | 3 | 0.58 | 0.019 | Ligand-gated ion channel activity |
| GO:0022834 | FUNCTION | 112 | 3 | 0.58 | 0.019 | Ligand-gated channel activity |
| GO:0005231 | FUNCTION | 46 | 2 | 0.23 | 0.021 | Excitatory extracellular ligand-gated ion channel activity |
| GO:0004888 | FUNCTION | 832 | 6 | 2.28 | 0.022 | Transmembrane receptor activity |
| GO:0044248 | PROCESS | 839 | 4 | 1.22 | 0.032 | Cellular catabolic process |
| GO:0046982 | FUNCTION | 125 | 2 | 0.29 | 0.032 | Protein heterodimerization activity |
| GO:0045211 | CELLULAR | 115 | 3 | 0.72 | 0.035 | Postsynaptic membrane |
| GO:0022836 | FUNCTION | 277 | 4 | 1.25 | 0.035 | Gated channel activity |
| GO:0016788 | FUNCTION | 547 | 4 | 1.27 | 0.036 | Hydrolase activity, acting on ester bonds |
| GO:0000122 | PROCESS | 148 | 2 | 0.31 | 0.039 | Negative regulation of transcription from RNA polymerase II promoter |
| GO:0008066 | FUNCTION | 29 | 2 | 0.32 | 0.040 | Glutamate receptor activity |
| GO:0005529 | FUNCTION | 145 | 2 | 0.32 | 0.041 | Sugar binding |
| GO:0009056 | PROCESS | 952 | 4 | 1.41 | 0.049 | Catabolic process |
Results of gene ontology analysis for partial epilepsies associated SNPs with P < 0.001 (Cochran–Mantel–Haenszel test), gene ontology categories with enrichment P-values < 0.01
| Gene ontology number | Type | Total number genes in category | Number of genes on list | Expected number of genes on list | P-value | Function |
|---|---|---|---|---|---|---|
| GO:0005272 | FUNCTION | 30 | 5 | 0.71 | 0.00005 | Sodium channel activity |
| GO:0001518 | CELLULAR | 12 | 3 | 0.2 | 0.0007 | Voltage-gated sodium channel complex |
| GO:0034706 | CELLULAR | 12 | 3 | 0.2 | 0.0007 | Sodium channel complex |
| GO:0005248 | FUNCTION | 15 | 3 | 0.22 | 0.0008 | Voltage-gated sodium channel activity |
| GO:0022836 | FUNCTION | 277 | 15 | 7.17 | 0.0043 | Gated channel activity |
| GO:0030324 | PROCESS | 58 | 4 | 0.72 | 0.0051 | Lung development |
| GO:0005882 | CELLULAR | 85 | 3 | 0.38 | 0.0058 | Intermediate filament |
| GO:0045111 | CELLULAR | 86 | 3 | 0.39 | 0.0061 | Intermediate filament cytoskeleton |
| GO:0046873 | FUNCTION | 282 | 14 | 6.88 | 0.0062 | Metal ion transmembrane transporter activity |
| GO:0006368 | PROCESS | 35 | 2 | 0.13 | 0.0068 | RNA elongation from RNA polymerase II promoter |
| GO:0030323 | PROCESS | 60 | 4 | 0.81 | 0.0075 | Respiratory tube development |
| GO:0006354 | PROCESS | 38 | 2 | 0.14 | 0.0079 | RNA elongation |
| GO:0005216 | FUNCTION | 341 | 16 | 8.38 | 0.0084 | Ion channel activity |
| GO:0022838 | FUNCTION | 349 | 16 | 8.41 | 0.0087 | Substrate specific channel activity |
| GO:0015267 | FUNCTION | 355 | 16 | 8.42 | 0.0088 | Channel activity |
| GO:0022803 | FUNCTION | 355 | 16 | 8.42 | 0.0088 | Passive transmembrane transporter activity |
| GO:0006213 | PROCESS | 8 | 2 | 0.23 | 0.0091 | Pyrimidine nucleoside metabolic process |
| GO:0048286 | PROCESS | 10 | 2 | 0.16 | 0.0094 | Alveolus development |
| GO:0008266 | FUNCTION | 5 | 2 | 0.2 | 0.0097 | Poly(U) binding |
| Gene ontology number | Type | Total number genes in category | Number of genes on list | Expected number of genes on list | P-value | Function |
|---|---|---|---|---|---|---|
| GO:0005272 | FUNCTION | 30 | 5 | 0.71 | 0.00005 | Sodium channel activity |
| GO:0001518 | CELLULAR | 12 | 3 | 0.2 | 0.0007 | Voltage-gated sodium channel complex |
| GO:0034706 | CELLULAR | 12 | 3 | 0.2 | 0.0007 | Sodium channel complex |
| GO:0005248 | FUNCTION | 15 | 3 | 0.22 | 0.0008 | Voltage-gated sodium channel activity |
| GO:0022836 | FUNCTION | 277 | 15 | 7.17 | 0.0043 | Gated channel activity |
| GO:0030324 | PROCESS | 58 | 4 | 0.72 | 0.0051 | Lung development |
| GO:0005882 | CELLULAR | 85 | 3 | 0.38 | 0.0058 | Intermediate filament |
| GO:0045111 | CELLULAR | 86 | 3 | 0.39 | 0.0061 | Intermediate filament cytoskeleton |
| GO:0046873 | FUNCTION | 282 | 14 | 6.88 | 0.0062 | Metal ion transmembrane transporter activity |
| GO:0006368 | PROCESS | 35 | 2 | 0.13 | 0.0068 | RNA elongation from RNA polymerase II promoter |
| GO:0030323 | PROCESS | 60 | 4 | 0.81 | 0.0075 | Respiratory tube development |
| GO:0006354 | PROCESS | 38 | 2 | 0.14 | 0.0079 | RNA elongation |
| GO:0005216 | FUNCTION | 341 | 16 | 8.38 | 0.0084 | Ion channel activity |
| GO:0022838 | FUNCTION | 349 | 16 | 8.41 | 0.0087 | Substrate specific channel activity |
| GO:0015267 | FUNCTION | 355 | 16 | 8.42 | 0.0088 | Channel activity |
| GO:0022803 | FUNCTION | 355 | 16 | 8.42 | 0.0088 | Passive transmembrane transporter activity |
| GO:0006213 | PROCESS | 8 | 2 | 0.23 | 0.0091 | Pyrimidine nucleoside metabolic process |
| GO:0048286 | PROCESS | 10 | 2 | 0.16 | 0.0094 | Alveolus development |
| GO:0008266 | FUNCTION | 5 | 2 | 0.2 | 0.0097 | Poly(U) binding |
Results of gene ontology analysis for partial epilepsies associated SNPs with P < 0.001 (Cochran–Mantel–Haenszel test), gene ontology categories with enrichment P-values < 0.01
| Gene ontology number | Type | Total number genes in category | Number of genes on list | Expected number of genes on list | P-value | Function |
|---|---|---|---|---|---|---|
| GO:0005272 | FUNCTION | 30 | 5 | 0.71 | 0.00005 | Sodium channel activity |
| GO:0001518 | CELLULAR | 12 | 3 | 0.2 | 0.0007 | Voltage-gated sodium channel complex |
| GO:0034706 | CELLULAR | 12 | 3 | 0.2 | 0.0007 | Sodium channel complex |
| GO:0005248 | FUNCTION | 15 | 3 | 0.22 | 0.0008 | Voltage-gated sodium channel activity |
| GO:0022836 | FUNCTION | 277 | 15 | 7.17 | 0.0043 | Gated channel activity |
| GO:0030324 | PROCESS | 58 | 4 | 0.72 | 0.0051 | Lung development |
| GO:0005882 | CELLULAR | 85 | 3 | 0.38 | 0.0058 | Intermediate filament |
| GO:0045111 | CELLULAR | 86 | 3 | 0.39 | 0.0061 | Intermediate filament cytoskeleton |
| GO:0046873 | FUNCTION | 282 | 14 | 6.88 | 0.0062 | Metal ion transmembrane transporter activity |
| GO:0006368 | PROCESS | 35 | 2 | 0.13 | 0.0068 | RNA elongation from RNA polymerase II promoter |
| GO:0030323 | PROCESS | 60 | 4 | 0.81 | 0.0075 | Respiratory tube development |
| GO:0006354 | PROCESS | 38 | 2 | 0.14 | 0.0079 | RNA elongation |
| GO:0005216 | FUNCTION | 341 | 16 | 8.38 | 0.0084 | Ion channel activity |
| GO:0022838 | FUNCTION | 349 | 16 | 8.41 | 0.0087 | Substrate specific channel activity |
| GO:0015267 | FUNCTION | 355 | 16 | 8.42 | 0.0088 | Channel activity |
| GO:0022803 | FUNCTION | 355 | 16 | 8.42 | 0.0088 | Passive transmembrane transporter activity |
| GO:0006213 | PROCESS | 8 | 2 | 0.23 | 0.0091 | Pyrimidine nucleoside metabolic process |
| GO:0048286 | PROCESS | 10 | 2 | 0.16 | 0.0094 | Alveolus development |
| GO:0008266 | FUNCTION | 5 | 2 | 0.2 | 0.0097 | Poly(U) binding |
| Gene ontology number | Type | Total number genes in category | Number of genes on list | Expected number of genes on list | P-value | Function |
|---|---|---|---|---|---|---|
| GO:0005272 | FUNCTION | 30 | 5 | 0.71 | 0.00005 | Sodium channel activity |
| GO:0001518 | CELLULAR | 12 | 3 | 0.2 | 0.0007 | Voltage-gated sodium channel complex |
| GO:0034706 | CELLULAR | 12 | 3 | 0.2 | 0.0007 | Sodium channel complex |
| GO:0005248 | FUNCTION | 15 | 3 | 0.22 | 0.0008 | Voltage-gated sodium channel activity |
| GO:0022836 | FUNCTION | 277 | 15 | 7.17 | 0.0043 | Gated channel activity |
| GO:0030324 | PROCESS | 58 | 4 | 0.72 | 0.0051 | Lung development |
| GO:0005882 | CELLULAR | 85 | 3 | 0.38 | 0.0058 | Intermediate filament |
| GO:0045111 | CELLULAR | 86 | 3 | 0.39 | 0.0061 | Intermediate filament cytoskeleton |
| GO:0046873 | FUNCTION | 282 | 14 | 6.88 | 0.0062 | Metal ion transmembrane transporter activity |
| GO:0006368 | PROCESS | 35 | 2 | 0.13 | 0.0068 | RNA elongation from RNA polymerase II promoter |
| GO:0030323 | PROCESS | 60 | 4 | 0.81 | 0.0075 | Respiratory tube development |
| GO:0006354 | PROCESS | 38 | 2 | 0.14 | 0.0079 | RNA elongation |
| GO:0005216 | FUNCTION | 341 | 16 | 8.38 | 0.0084 | Ion channel activity |
| GO:0022838 | FUNCTION | 349 | 16 | 8.41 | 0.0087 | Substrate specific channel activity |
| GO:0015267 | FUNCTION | 355 | 16 | 8.42 | 0.0088 | Channel activity |
| GO:0022803 | FUNCTION | 355 | 16 | 8.42 | 0.0088 | Passive transmembrane transporter activity |
| GO:0006213 | PROCESS | 8 | 2 | 0.23 | 0.0091 | Pyrimidine nucleoside metabolic process |
| GO:0048286 | PROCESS | 10 | 2 | 0.16 | 0.0094 | Alveolus development |
| GO:0008266 | FUNCTION | 5 | 2 | 0.2 | 0.0097 | Poly(U) binding |
Discussion
The contribution of genetic factors to sporadic partial epilepsies is undoubted, but the identity of these factors remains almost entirely unknown. We show that, for modest (or greater) effect sizes, common SNPs appear not to contribute to causation shared across the partial epilepsies. Previous failed attempts to identify associated variants (including our own) have usually been attributed to small sample sizes coupled with a candidate gene approach, which necessarily relies on the limited existing biological understanding of epilepsy. However, despite the less-biased genome-wide approach and a large cohort, with over 80% power to detect common variants with odds ratio above 1.25–1.3, and close to 100% power to detect common variants with odds ratio above 1.35–1.4 (Fig. 1), we still did not detect genome-wide significant associations. The genotyping platform used has a high genomic coverage—the markers, spaced evenly throughout the genome, tag 87% of common variants (with minor allele frequency above 0.05) with r2 > 0.8, and 95% with r2 of at least 0.55 in European populations (Illumina technical note, based on HapMap release 24 data, www.illumina.com). Although it is possible that we failed to detect real associations with common variants with high effect sizes, if these variants were not represented or poorly tagged, it is highly unlikely that we missed multiple associations, such as are predicted by the common variant—common disease model, and found in many other complex diseases (e.g. Wellcome Trust Case Control Consortium, 2007). Therefore, it is unlikely that there is any shared common genetic causation for the partial epilepsies that acts across syndromes in European populations.
We only investigated genetic factors shared across partial epilepsies, disregarding the type of partial epilepsy. The differing risks of epilepsy in first-degree relatives of those with idiopathic or cryptogenic partial epilepsy compared to those with symptomatic partial epilepsy have led to the suggestion that genetic influences are primarily restricted to the idiopathic and cryptogenic subgroups (Ottman et al., 1996; Bianchi et al., 2003). Heritabilities vary even among ‘idiopathic’ partial epilepsy syndromes; for example, inherited factors seem to play only a minor role in benign epilepsy with centrotemporal spikes (Vadlamudi et al., 2006). Notably, the distinction between 'idiopathic', 'cryptogenic' and 'symptomatic' is not always obvious. For example, in some older studies, MRI quality (if MRI had indeed been undertaken) might have been such that some 'symptomatic' were misclassified as 'idiopathic' or 'cryptogenic'. In addition, the recent organization of the epilepsies recommended by the International League Against Epilepsy discourages the use of these terms (Berg et al., 2010). Since the majority of patients in our study were recruited in tertiary clinical centres, our cohort might have included more patients with more severe, lesion-associated epilepsies that may have lower heritabilities, in comparison to the general population of patients with epilepsy, from which heritability estimates are predominantly derived (Kjeldsen et al., 2001).
Given these considerations, it is possible that syndrome-specific common genetic causes do exist, and that a genome-wide association-study in a more homogeneous and narrowly-defined group of patients might detect them. Gathering patients with a single syndrome in cohorts big enough for adequately-powered genome-wide association-studies will be challenging, especially if population structure is also considered.
There may yet be susceptibility loci shared across the partial epilepsies, but with comparatively small (<1.35) effect sizes, a phenomenon observed for both normal traits [e.g. height (Soranzo et al., 2009), pulmonary function (Hancock et al., 2010)] and other common diseases [e.g. obesity (Willer et al., 2009), diabetes (Barrett et al., 2009)]. Discovery of such small-effect variants is unlikely to have immediate clinical application, but could be illuminating for disease biology.
For detection of common causative variants specific to partial epilepsy syndromes, or those of small effect size shared across the partial epilepsies, the assembly of much larger cohorts will be necessary as has been successfully achieved for other conditions, such as diabetes (Barrett et al., 2009) and multiple sclerosis (De Jager et al., 2009). Such an effort is underway for meta-analysis of genetic data in epilepsy, and we urge all interested groups with data to join in with this important effort (please contact Prof. S. Berkovic, Chair, Genetics Commission, International League Against Epilepsy: s.berkovic@unimelb.edu.au). The top hits in our study, as well as the gene ontology analysis results, hint at possible insights into mechanisms in the partial epilepsies and may warrant further investigation—but this will also require larger cohorts. It is now difficult to justify smaller, under-powered, genome-wide association-studies of susceptibility to partial epilepsies in pan-syndromic cohorts of European ancestry.
We only investigated patients of European ancestry. The types and proportions of acquired epilepsies with known causes differ across populations. For example, the higher rates of epilepsy in some developing countries are thought mainly to be due to neurocysticercosis (García et al., 2003). It is also possible that due to genetic differences between populations, genetic factors influencing susceptibility to sporadic partial epilepsies also differ. But it is still likely that large cohorts will be needed to discover such variants or to exclude their role in partial epilepsies in populations of other ethnicities.
More broadly, these results suggest the need to re-evaluate strategies for detection of causal genetic variants in the partial epilepsies: the genetic and mechanistic architecture of the partial epilepsies must be more complex or heterogeneous than considered here. In contrast to the common variant-common disease approach, recent discoveries of putatively-causal structural abnormalities (e.g. de Kovel et al., 2009, Heinzen et al., 2010) show that rare variants with large effect sizes can cause a broad spectrum of epilepsies, and can even manifest with different neuropsychiatric conditions. Therefore, it seems likely that rare, or even individual, variants might constitute a substantial proportion of genetic causes in partial epilepsies, accounting for the ‘missing heritability’ (Manolio et al., 2009). Similar findings have emerged in other neuropsychiatric conditions (Merikangas et al., 2009).
Our study provides further support for a rare variant(s)—common disease model (Iyengar and Elston, 2007). We did detect a slight excess of SNPs with borderline significant P-values, and our most associated SNPs suggest multiple independent signals clustered in the same genomic region. The strongest signals in our study are generated by two SNPs in only moderate linkage disequilibrium with each other (r2 = 0.34) and the association is not completely explained by either SNP alone. Such independent signals of common variants are the typical features of ‘synthetic’ associations (Dickson et al., 2010), actually caused by one or several rare variants with larger effect sizes. Although the causal variants can be located at relatively long distances from the ‘associated’ common alleles, the detected common variant associations are the best available pointers to the genomic regions where some of the ‘missing heritability’ of partial epilepsies might lie.
The results of our study, combined with emerging knowledge from studies of rare structural variants, strongly promote a shift to the next stage of epilepsy genetics—not only large meta-analyses, but also the search for rare variants with larger effects using exome or whole-genome sequencing. The raw data from genome-wide association-studies, such as ours, can provide a powerful tool with which upcoming sequencing findings could be more successfully interpreted.
Funding
This work was supported by grants from the Medical Research Council (G0400126); The Wellcome Trust (084730); UCLH CRDC (F136); the National Institute for Health Research (08-08-SCC); the National Society for Epilepsy. This work was partly undertaken at UCLH/UCL, which received a proportion of funding from the Department of Health's NIHR Biomedical Research Centres funding scheme; The collection of the Irish patient cohort was supported by the Irish Higher Education Authority Programme for Research in Third Level Institutions (PRTLI3); phenotyping by a Science Foundation Ireland Research Frontiers Programme award (08/RFP/GEN1538); GlaxoSmithKline funded the recruitment and phenotypic data collection of the GenEpA Consortium samples used in this study and contributed to the genotyping costs associated with their study; the collection of the Belgian patients was supported by the Funds National de la Recherche Scientifique, grant no. FC 63574/3.4.620.06 F and the Fondation Erasme, Université Libre de Bruxelles; Funding support for Study of Irish Amyotrophic Lateral Sclerosis was provided by Muscular Dystrophy Association, USA; Irish Institute of Clinical Neurosciences Travel Award; and National Institutes of Health, USA and the genotyping of samples was provided by the National Institute of Neurological Disorders and Stroke (NINDS). The dataset used for the analyses described in this manuscript was obtained from the NINDS Database found at http://www.ncbi.nlm.nih.gov/gap through dbGaP accession number phs000127.v1.p1.
Supplementary material
Supplementary material is available at Brain online.
Acknowledgements
We thank the patients who kindly participated, and the physicians who recruited them. We thank Eylert Brodtkorb, Bernt Engelsen, Morten Lossius, Karl Otto Nakken, Erik Taubøl and Erik Sætre for their contribution to the Norwegian part of GenEpA sudy.
We thank Dr Liisa Myllykangas (Folkhalsan Institute of Genetics and Department of Pathology, University of Helsinki), Dr Raimo Sulkava (Department of Public Health and General Practice Division of Geriatrics, University of Kuopio) and Dr Pentti Tienari (Molecular Neurology Programme, Biomedicum, University of Helsinki and Department of Neurology, Helsinki University Central Hospital) for providing the Vantaa85+ study genotypes.
This study makes use of data generated by the Wellcome Trust Case-Control Consortium. A full list of the investigators who contributed to the generation of the data is available from www.wtccc.org.uk. Funding for that project was provided by the Wellcome Trust under award 076113.
References
Abbreviation
- SNP
single nucleotide polymorphism




