- Split View
-
Views
-
CiteCitation
Yunfeng Zhang, Susan E. Hamilton, Neil M. Nathanson, Jun Yan; Decreased Input-Specific Plasticity of the Auditory Cortex in Mice Lacking M1 Muscarinic Acetylcholine Receptors, Cerebral Cortex, Volume 16, Issue 9, 1 September 2006, Pages 1258–1265, https://doi.org/10.1093/cercor/bhj067
Download citation file:
© 2018 Oxford University Press
Close -
Share
Abstract
Muscarinic acetylcholine receptors are extensively involved in cortical cognition and learning-induced or experience-dependent cortical plasticity. The most abundant muscarinic receptor subtype in the cerebral cortex is the M1 receptor, but little is known about its contribution to experience-dependent plasticity of the adult auditory cortex. We have examined the role of the M1 receptor in experience-dependent plasticity of the auditory cortex in mice lacking the M1 (chrm1) gene. We show here that electrical stimulation of the basal forebrain, a major source of cortical cholinergic inputs, facilitated the auditory responses of cortical neurons in both wild types and M1 mutants. The basal forebrain stimulation alone caused change in the best frequencies of cortical neurons that were significantly greater in M1 mutants. When animals received the paired stimuli of electrical stimulation of the basal forebrain and tone, the frequency tuning of cortical neurons systematically shifted toward the frequency of the paired tone in both wild types and M1 mutants. However, the shift range in M1 mutants was much smaller than that in wild-type mice. Our data suggest that the M1 receptor is important for the experience-dependent plasticity of the auditory cortex.
Introduction
Learning-induced or experience-dependent plasticity of the auditory cortex is input specific; it is guided and primarily driven by sound (Buonomano and Merzenich 1998; Kilgard and others 2002; Suga and others 2002; Yan 2003). Increasing evidence suggests that the induction of input-specific plasticity of the auditory cortex depends on the cortical cholinergic system (Suga and Ma 2003; Weinberger 2003; Yan 2003; Metherate and Hsieh 2004).
Most cortical cholinergic inputs in mammals originate from the nucleus basalis (NB) of the basal forebrain (Johnston and others 1979; Mesulam and others 1983). Electrical stimulation of the NB (ESNB) increases cortical acetylcholine levels and facilitates cortical responses to sound (Metherate and others 1990; Rasmusson and others 1992; Jimenez-Capdeville and others 1997). Increasing evidence suggests that the NB is a critical neural substrate for learning-induced or experience-dependent auditory plasticity (Weinberger 1998; Suga and Ma 2003). Electrical stimulation of the NB paired with a tone (tone–ESNB) induces frequency-specific plasticity of the auditory cortex, which is the same as that evoked by auditory fear conditioning (Bakin and Weinberger 1996; Bjordahl and others 1998; Kilgard and Merzenich 1998; Ma and Suga 2003; Yan and Zhang 2005). On the other hand, a lesion of the NB reduces plastic changes of the auditory cortex (Ma and Suga 2003).
In humans, intravenous injection of the muscarinic receptor antagonist scopolamine prohibits the enhancement of cortical representation of a conditioned tone frequency (Thiel and others 2002). Many animal studies have demonstrated that cortical application of the muscarinic receptor antagonist atropine reduces or eliminates the frequency-specific cortical plasticity that is evoked by either auditory fear conditioning or tone–ESNB (Bakin and Weinberger 1996; Miasnikov and others 2001; Ji and Suga 2003; Ji and others 2005; Ma and Suga 2005; Yan and Zhang 2005). These findings delineate the crucial role of cortical acetylcholine and muscarinic receptors in learning-induced or experience-dependent cortical plasticity. However, it is not known yet which of the 5 identified subtypes of muscarinic receptor (M1–M5 receptors) are more critical for the development of auditory cortical plasticity.
The M1 receptor is the most abundant subtype in the cerebral cortex (Levey 1993; Hohmann and others 1995). Administration of M1 selective antagonists can prevent acetylcholine-mediated facilitation in the auditory cortex (Metherate and others 1990). Our previous findings implicate the M1 receptor as crucial for the developmental plasticity of the auditory cortex during early life (Zhang and others 2005). To date, the role of the M1 receptor in experience-dependent cortical plasticity remains unclear because no highly selective M1 agonist or antagonist is available.
We examined the cortical plasticity in M1 knockout mice with the tone–ESNB paradigm. We found that the responses of auditory cortical neurons of M1 null mutants can be facilitated by ESNB and that their frequency tuning is less stable than those of wild types. Tone–ESNB could elicit frequency-specific shifts in cortical frequency tuning but to a much smaller degree in M1 mutants than in wild-type mice.
Materials and Methods
Materials, surgery, acoustic stimulation, electrical stimulation, recording of neural activity, and data acquisition were as described elsewhere (Yan and Ehret 2002; Yan and Zhang 2005; Zhang and others 2005) and are summarized subsequently. All animal procedures were approved by the Animal Care Committee of the University of Calgary (protocol number: M02034).
M1 knockout mice were generated at the University of Washington in Seattle, Washington. There is no overt difference in the phenotype between wild types (+/+) and M1 null mutants (−/−). In M1 null mutants, the level and pattern of expression of other muscarinic receptor subtypes in the brain is similar to that of wild types (Hamilton and others 1997). Seventeen M1 null mutant and eight wild-type mice aged 6–8 weeks and weighing 17.2–23.3 g were used in this study.
Mice were anesthetized with a mixture of ketamine (110 mg/kg, i.p., Bimeda-MTC Animal Health Inc., Cambridge, Ontario, Canada) and xylazine (20 mg/kg, i.p., Bimeda-MTC Animal Health Inc.). The anesthetic status was checked approximately every 30 min by pinching the tail with a forceps. Whenever there was a noticeable response to tail pinching, the animal was administered an additional dosage of ketamine (20 mg/kg) and xylazine (3.5 mg/kg). Under anesthesia, the animal's head was fixed in a custom-made head-holder by clamping the palate and nasal/frontal bones. The left primary auditory cortex and the brain surface above the basal forebrain were exposed by surgically removing scalp and skull. Two additional holes (1 mm in diameter) were made on the right skull near the bregma and lambda points for electroencephalogram (EEG) recordings. The animal's body temperature was kept at 37 °C by a feedback-controlled heating pad. Electrophysiological experiments were carried out in an echo-attenuated soundproof chamber.
Acoustic Stimulation
The acoustic stimulus was a 60-ms-long tone burst with a 5-ms rise-decay time. Sinusoidal waves were digitally generated with SigGen software and played by BrainWare software (Tucker-Davis Tech., Alachua, FL, USA). Digital signals were converted into analog sinusoidal waves by means of a digital-analog converter (DA3) and an antialiasing filter (FT6). The output amplitude of the sinusoidal waves was 20 V from peak-to-peak. The acoustic stimuli were delivered to the mouse through a tweeter placed at 45° to and 90 cm away from the mouse's right ear. The tone amplitude, expressed in dB SPL (decibels in sound pressure level reference 20 μPa), was calibrated at the right ear of the animal with a Larson-Davis condenser microphone (Model 2520) and a microphone preamplifier (Model 2200C). Frequency/amplitude scans (FA-scan) were used to sample the excitatory response area of auditory neurons. The frequency was varied from 3 to 40 kHz in increments of 1 kHz, and the amplitude was varied from −20 to −80 dB in increments of 5 dB. The interval between stimuli was 500 ms. Five identical stimuli were delivered for each frequency/amplitude set.
Recording of EEG
Two silver electrodes were placed on the dura close to the bregma and lambda. Bioelectrical signals were filtered with a band pass of 1–100 Hz and amplified 10 000 times. The signals were fed to an oscilloscope for observation and to a computer for recording with SciWork software (DataWave, Inc., Berthoud, CO, USA).
Electrical Stimulation of the NB
A concentric bipolar electrode was placed into the basal forebrain (1.2 mm posterior to the bregma, 1.8 mm lateral to the midline, and about 4.2 mm below the brain surface, Franklin and Paxinos 1996). A train of electric pulses (0.2 ms long, monophasic and constant current square ware, 120 Hz, 200-ms train duration) was generated by a stimulator (Grass S88) and a constant current unit (Grass CCU1). Current was delivered to the NB through the central pole of the concentric bipolar electrode. EEG was continuously monitored during electrode penetration. When the NB was stimulated, the EEG waveform was always desynchronized. The electrode position was adjusted to achieve maximal desynchronization of EEG waveform, and the threshold current was then measured. The level of the stimulation current, set at 10 μA above the threshold current, ranged from 76 to 141 μA. For ESNB alone, the train stimulus was delivered at a rate of 1/s for 6 min.
Tone Stimulus Paired with the Electrical Stimulation of the NB
We used tone–ESNB to elicit cortical plasticity (Yan and Zhang 2005). Animals received tone–ESNB one-and-half hours after ESNB alone. A 60-ms tone burst and a train of electrical pulses were paired and synchronized at the onset. The paired stimuli were delivered to the animal at a rate of 1/s for 6 min. The frequency and amplitude of the paired tone were set according to the best frequency (BF) and minimum threshold (MT) of the studied neurons. In most cases, tone amplitude was set at 20 dB above the MT. Tone frequency was set between 10 kHz below BF and 11 kHz above BF.
Recording Action Potentials and Data Acquisition
Two tungsten electrodes with impedance of about 2 MΩ were inserted into the left primary auditory cortex to record neuronal responses. Action potentials from 2 recording electrodes were amplified 10 000 times and filtered between 0.3 and 7.0 kHz (DB4/HS4, Tucker-Davis Tech.). These signals were displayed on an oscilloscope and recorded by a BrainWare data acquisition system (Tucker-Davis Tech.). When action-potential recordings were stable, the responses of cortical neurons to the FA-scan were recorded before and after ESNB as well as before and after tone–ESNB. The responses to FA-scan after tone–ESNB were continuously recorded about every 30 min until the BF changes recovered by at least 70%.
After completion of the physiological recordings, an electrical current of 1 mA was applied to the NB by stimulating the electrode for 30 s to generate a small lesion area. The animal was then given a cardiac perfusion with 10% formalin under deep anesthesia. The brain was sectioned and the lesion point identified by microscopy.
Data Processing
Single-unit action potentials were isolated from the multiunit recording by using 8 parameters of the action-potential waveform, that is, peak, valley, height, width, peak time, valley time, and 2 user-defined time–voltage values (see details in Yan and others 2002, 2003). The excitatory response area of cortical neurons was displayed by dot-raster, peristimulus time (PST) histograms, or cumulative peristimulus time (PSTC) histograms with a bin width of 1 ms. The excitatory frequency-tuning curve was measured according to the response threshold to various frequencies. The criterion for the determination of a threshold was the boundary between 2 adjacent amplitude sets of a frequency (5 identical stimuli, hereafter called a block): one block showing more than 1 spike and the other showing no spike. In some cases where spontaneous activity interfered with spike counting, the threshold was assigned to the block having at least 1 spike above the spontaneous activity. With the use of PST or PSTC histograms, the thresholds were further adjusted and determined by tone-evoked responses in each block. The tone-evoked responses of cortical neurons were commonly identified by a peak in the PST histogram or a sharp increase in spike number in the PSTC histogram between 10 and 60 ms after tone stimulus onset. If a peak or a sharp increase appeared outside the above time window, it was usually caused by spontaneous burst discharges and not counted as a tone-evoked response. This process was particularly useful when spontaneous activity was high or when neurons were bursting.
If a frequency/threshold-tuning curve displayed at least 1 peak additional to the peak at the BF, this tuning curve was defined as multipeaked. A second peak was considered present if the response threshold of the valley between this peak and the main peak (the peak with the lowest response threshold) was at least 10 dB higher than the peak threshold. Hereafter, the frequencies of the second peak and the valley are simply written as F2nd and Fv, respectively.
The MT was defined as the lowest threshold across all frequencies, and the BF was the frequency at the MT. Spike number was measured at the BF and 20 dB above the MT, and the bandwidth of frequency-tuning curve was measured 10 dB above the MT (BW10).
Statistical Analysis
Data were expressed as mean ± standard deviation or percentage. Student's t-test and chi-square test were used to compare the differences between groups of data and numbers. A P value of less than 0.05 was considered to be statistically significant.
Results
Effects of ESNB on EEG waveforms were studied in 17 M1 null mutant (−/−) and 8 wild-type mice. The effects of ESNB alone and tone–ESNB on the auditory responses of single neurons in the primary auditory cortex were analyzed for 69 neurons from M1 null mutants and 24 from wild-type mice. In wild types, 5 out of 24 (20.8%) neurons showed multipeaked frequency-tuning curves, and in M1 mutants, 30 out of 69 (43.5%) neurons showed multipeaked frequency-tuning curves. The BFs of the studied neurons ranged from 8 to 24 kHz, averaging 15.3 ± 4.6 kHz for M1 mutants and 15.9 ± 4.3 kHz for wild types. The MTs ranged from 13.4 to 43.9 (25.6 ± 8.2) dB SPL for M1 mutants and 18.2 to 38.5 (24.6 ± 4.1) dB SPL for wild types. These data are consistent with our previous findings (Zhang and others 2005).
Effects of ESNB on EEG of Wild Types and M1 Mutants
Under anesthesia, a large and slow wave dominates the EEG waveform in both wild types and M1 mutants. The frequency of this large and slow wave was 0.96 ± 0.06 Hz for wild types and 1.02 ± 0.03 Hz for M1 mutants (P > 0.05). The large and slow EEG wave disappeared immediately after the ESNB with only 5 trains of electrical pulses. The remaining EEG was composed of faster and smaller waves. The frequency of the small waves was similar for wild-type mice (2.26 ± 0.08 Hz) and M1 mutants (2.24 ± 0.10 Hz; P > 0.05). In both wild types and mutants, EEG waveforms recovered in about 10 s after the ESNB (Fig. 1A,B).
Effects of ESNB on EEG and the auditory responses of cortical neurons in wild types and M1 mutants. ESNB clearly changed the EEG waveform in the wild type (A) and the M1 mutant (B). The excitatory response areas of both wild-type and mutant cortical neurons were enlarged following ESNB (C–E). The BF of the wild-type neuron was not changed (C), whereas the BF as well as F2nd and Fv of mutant neurons were changed by ESNB (D, E). Contour lines are drawn at 20%, 40%, 60%, and 80% of maximum. The 20% contour line enclosing the major excitatory area is considered as the frequency-tuning curve.
Effects of ESNB on EEG and the auditory responses of cortical neurons in wild types and M1 mutants. ESNB clearly changed the EEG waveform in the wild type (A) and the M1 mutant (B). The excitatory response areas of both wild-type and mutant cortical neurons were enlarged following ESNB (C–E). The BF of the wild-type neuron was not changed (C), whereas the BF as well as F2nd and Fv of mutant neurons were changed by ESNB (D, E). Contour lines are drawn at 20%, 40%, 60%, and 80% of maximum. The 20% contour line enclosing the major excitatory area is considered as the frequency-tuning curve.
Effects of ESNB on Frequency Tunings of Cortical Neurons of Wild Types and M1 Mutants
Frequency-tuning curves for 1 wild-type neuron and 2 mutant neurons are shown in Figure 1C–E. The excitatory response areas and peak firing rates of cortical neurons of both wild types and M1 mutants increased following ESNB at a rate of 1/s for 6 min. The number of spikes per stimulus measured at the BF and 20 dB above the MT significantly increased from 8.75 ± 5.84 to 11.17 ± 10.12 for wild types (P < 0.001) and from 10.72 ± 7.84 to 13.51 ± 8.47 for M1 mutants (P < 0.001).
The effect of ESNB on the frequency tuning of cortical neurons is different between wild types and M1 mutants. The wild-type neuron represented in Figure 1C(a) tuned to 13 kHz with an MT of 23.8 dB SPL. ESNB decreased the MT by 5 dB and increased its BW10 but did not alter the BF of this neuron (Fig. 1C[b]). Similar to the wild-type neurons, the MTs were decreased and BW10s were increased in 2 mutant neurons after ESNB (Fig. 1D,E). A clear difference in the effects of ESNB on cortical neurons between the wild type and the M1 mutant was the change in frequency tuning. In Figure 1D, ESNB shifted the BF upward by 2 kHz. In addition, for this multipeaked neuron, ESNB shifted F2nd downward by 2 kHz and shifted Fv by 1 kHz. In Figure 1E, ESNB decreased the response threshold at F2nd to a value lower than the response threshold at the original BF. Therefore, the ESNB shifted the BF downward by 8 kHz, so that the F2nd became the new BF. Out of 30 multipeaked neurons of M1 mutants, 7 (23.3%) neurons showed this type of change after the ESNB.
The changes in the frequency tuning are further illustrated by plotting BF, F2nd, and Fv before ESNB as the function of these frequencies after ESNB (Fig. 2). In wild types, most points fell on the equal-BF line; the BFs before ESNB were the same as those after ESNB (filled circles in Fig. 2A). However, in M1 mutants, a large number of samples did not fall on the equal-BF line; the BFs before ESNB were different from those after ESNB (open circles in Fig. 2A). The BFs were changed in either higher or lower direction. There were 16.7% wild-type neurons and 59.4% M1 mutant neurons, of which the BFs were changed by ESNB (Fig. 2A, right column). The number of neurons that showed ESNB-evoked change in BFs was significantly higher in M1 mutants (P < 0.001). For the M1 mutants, the F2nd of 73.3% neurons and Fv of 60.0% neurons were also altered by ESNB (Fig. 2B,C).
Changes in BF, F2nd, and Fv of cortical neurons following ESNB. The changes in BF (A), F2nd (B), and Fv (C) were illustrated by the function of these values before ESNB against these values after ESNB (left column) and by the percentage of neurons showing changes (right column). WT, wild type; M1, M1 null mutant; Freq., frequency; aft., after; *P < 0.05, as compared with the wild type. The solid line in (A) is an equal-BF line.
Changes in BF, F2nd, and Fv of cortical neurons following ESNB. The changes in BF (A), F2nd (B), and Fv (C) were illustrated by the function of these values before ESNB against these values after ESNB (left column) and by the percentage of neurons showing changes (right column). WT, wild type; M1, M1 null mutant; Freq., frequency; aft., after; *P < 0.05, as compared with the wild type. The solid line in (A) is an equal-BF line.
The response thresholds of cortical neurons at the BF, F2nd, and Fv decreased following ESNB for both wild types and M1 mutants. However, only the threshold decreases at the BF, that is, decreases in the MT were statistically significant between wild types and M1 mutants (P < 0.05, Fig. 3A).
Changes in response threshold and BW10 of cortical neurons in wild types and M1 mutants following ESNB. Hatched bars represent the wild type. *P < 0.05 and ***P < 0.001, as compared with the control. +++, P < 0.001, as compared with the wild type.
Changes in response threshold and BW10 of cortical neurons in wild types and M1 mutants following ESNB. Hatched bars represent the wild type. *P < 0.05 and ***P < 0.001, as compared with the control. +++, P < 0.001, as compared with the wild type.
The frequency-tuning curves of M1 mutants were significantly broader than those of wild types as delineated by the BW10 (filled bar in Fig. 3B). ESNB significantly broadened the frequency tunings of cortical neurons of both M1 mutants and wild types (P < 0.001, Fig. 3B).
Effects of Tone–ESNB on Cortical Neuron Frequency Tunings in Wild Types and M1 Mutants
Paired stimulation with tone and ESNB generally altered the shape of frequency-tuning curves of cortical neurons in wild-type animals. As the examples in Figure 4A,B show, the BF could shift either upward or downward with respect to the frequency of the paired tone (indicated by arrow). ESNB paired with an 18-kHz tone shifted the BF of a 12-kHz tuned neuron up to 16 kHz (Fig. 4A). The BF shift apparently resulted from the decrease in response threshold to 16 kHz and the increase in response threshold to 12 kHz (inset of Fig. 4A). Another example in Figure 2B shows a neuron tuned to 14 kHz where the frequency of the paired tone was set 4 kHz lower than the BF. Tone–ESNB shifted the BF of this neuron down to 10 kHz (Fig. 4B). The BF shift of this neuron resulted from the decrease in response threshold to 10 kHz (inset of Fig. 4B).
Frequency-tuning curves of 2 wild-type examples (A, B) and 2 M1 mutant examples (C, D) before and after tone–ESNB. The insets are the difference of the frequency-tuning curves after tone–ESNB subtracted by those before tone–ESNB. The x axes in insets are the same as the main axes, and the y axes in insets are from 30 to −30 dB. Arrows indicate the frequency of the paired tone.
Frequency-tuning curves of 2 wild-type examples (A, B) and 2 M1 mutant examples (C, D) before and after tone–ESNB. The insets are the difference of the frequency-tuning curves after tone–ESNB subtracted by those before tone–ESNB. The x axes in insets are the same as the main axes, and the y axes in insets are from 30 to −30 dB. Arrows indicate the frequency of the paired tone.
The changes in frequency tuning of cortical neurons evoked by tone–ESNB were more limited in M1 mutants. The BF, F2nd, and Fv before tone–ESNB were the same as those after tone–ESNB except for a 5-dB decrease in the MT (Fig. 4C). Another example in Figure 4D illustrates interesting shifts in frequency tunings. This neuron tuned to 11 kHz with a second peak at 20 kHz and a valley at 19 kHz. ESNB paired with a 16-kHz tone shifted the BF upward by 1 kHz and shifted the Fv downward by 2 kHz. The F2nd was, however, not altered by tone–ESNB. The MT decreased by 10 dB. The shift in BF also resulted from the decrease in response threshold at 10 kHz (inset of Fig. 4D).
The shifts in frequency tunings of cortical neurons in both wild-type and M1 mutant mice are further illustrated in Figure 5. The shifts in the BF, F2nd, and Fv of all studied neurons are plotted as the function of the difference between tone frequency and the BF, F2nd, or Fv of cortical neurons. For wild types, we analyzed only the BF changes after tone–ESNB because only a few neurons had multipeaked frequency-tuning curves. For M1 mutants, the BF, F2nd, and Fv were analyzed.
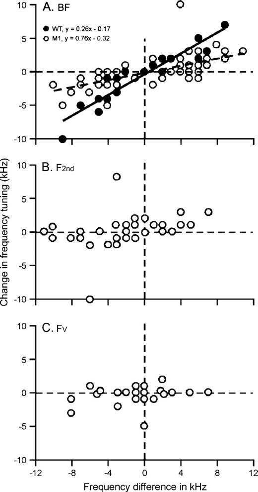
Tone–ESNB–evoked changes in frequency tunings as the function of the difference between tone frequency and control frequency tunings of cortical neurons. As shown in (A), the shifts in BFs of cortical neurons were linearly correlated to the difference between tone frequency and cortical BFs in both wild types (filled circles and solid line) and M1 mutants (open circles and dashed line). The changes in F2nd and Fv did not show significant correlation to the differences between the tone frequency and the frequencies of F2nd and Fv of cortical neurons (B, C).
Tone–ESNB–evoked changes in frequency tunings as the function of the difference between tone frequency and control frequency tunings of cortical neurons. As shown in (A), the shifts in BFs of cortical neurons were linearly correlated to the difference between tone frequency and cortical BFs in both wild types (filled circles and solid line) and M1 mutants (open circles and dashed line). The changes in F2nd and Fv did not show significant correlation to the differences between the tone frequency and the frequencies of F2nd and Fv of cortical neurons (B, C).
In wild types, tone–ESNB shifted the BF of cortical neurons upward when tone frequency was higher than the cortical BF. On the other hand, tone–ESNB shifted the cortical BF downward when tone frequency was lower than cortical BF. The larger the difference between tone frequency and cortical BF, the larger the BF shift was. There was a linear relation between the BF shift and the frequency difference (R2 = 0.90, P < 0.001, filled circles in Fig. 5A). This correlation between the BF shift and the frequency difference in wild types was consistent with what has been found in C57 mice (Yan and Zhang 2005). In M1 mutants, tone–ESNB also shifted the cortical BFs toward the frequency of the paired tone, that is, the cortical BFs shifted upward when tone frequency was higher and the cortical BFs shifted downward when tone frequency was lower. The BF shifts were linearly related to the difference between tone frequency and cortical BF (R2 = 0.41, P < 0.001, open circles in Fig. 5A). Compared with wild types, an obvious difference is that the shift of BFs was much smaller in M1 mutants. This is reflected by the slope of the regression lines; the slope was 0.76 for wild types but only 0.26 for M1 mutants.
Tone–ESNB also altered the F2nd and Fv in some cases, although the changes were much smaller than those for BF. Changes in F2nd and Fv evoked by tone–ESNB appeared random and were not correlated with the difference between tone frequency and F2nd or Fv (R2 = 0.08, P > 0.05 for F2nd and R2 = 0.03, P > 0.05 for Fv; Fig. 5B,C).
Effects of Tone–ESNB on Response Thresholds of Cortical Neurons of Wild Types and M1 Mutants
As shown in Figure 4, the frequency-tuning shift evoked by tone–ESNB was related to the differential changes in the response thresholds at control BF and shifted BF. We measured the changes in response threshold at the control BF, the shifted BF, and the tone frequency (Fig. 6A). On average, tone–ESNB increased the response threshold of cortical neurons at the control BF by 2.8 ± 5.2 dB in wild types and by 2.9 ± 6.1 dB in M1 mutants (wild type and mutant are not statistically different, P > 0.05). At the same time, tone–ESNB decreased the response threshold of cortical neurons at the shifted BF by 5.9 ± 7.5 dB in wild types and by 4.7 ± 5.8 dB in M1 mutants. There was no statistic difference between them either (P > 0.05). However, the changes were significantly different between the threshold increase at the control BF and the threshold decrease at the shifted BF for both wild types and M1 mutants (P < 0.001). At the tone frequency, tone–ESNB decreased the response thresholds; the decrease in wild types was significantly larger than that in M1 mutants (−3.9 ± 6.4 dB vs. −0.8 ± 5.2 dB, P < 0.05).
Effects of tone–ESNB on response threshold of cortical neurons in both wild types and M1 mutants. Tone–ESNB increased the response threshold at control BF but decreased response threshold at the shifted BF and tone frequency in both wild types and M1 mutants. The threshold decrease at the tone frequency in wild types was significantly larger than that in M1 mutants (A). The frequency at the larger threshold decrease was linearly correlated to the shifted BF in wild types (B) but not in M1 mutants (C). *P < 0.05, as compared with the M1 mutant. +++, P < 0.001, as compared with shifted BF.
Effects of tone–ESNB on response threshold of cortical neurons in both wild types and M1 mutants. Tone–ESNB increased the response threshold at control BF but decreased response threshold at the shifted BF and tone frequency in both wild types and M1 mutants. The threshold decrease at the tone frequency in wild types was significantly larger than that in M1 mutants (A). The frequency at the larger threshold decrease was linearly correlated to the shifted BF in wild types (B) but not in M1 mutants (C). *P < 0.05, as compared with the M1 mutant. +++, P < 0.001, as compared with shifted BF.
Across all frequencies of FA-scan, each neuron commonly displayed the largest threshold decrease in response to a particular frequency following tone–ESNB. We therefore analyzed the frequency at which the response threshold showed the largest decrease as the function of the shifted BF. In wild types, the frequency at the largest threshold decrease was linearly related to the shifted BF (R2 = 0.98, P < 0.001, Fig. 6B). This result has been found previously in C57 mice (Yan and Zhang 2005). However, such a relationship was not found in M1 mutants (Fig. 6C).
Time Courses of the Tone–ESNB Effects on Cortical BF Shift in Wild Types and M1 Mutants
BF shifts in cortical neurons in both wild types and M1 mutants began immediately after the tone–ESNB. On average, the BF shifts reached a maximum at 30–60 min after tone–ESNB in wild types and at 30 min after tone–ESNB in M1 mutants. The 50% recovery after tone–ESNB was at 171 min for wild types (solid gray line in Fig. 7) and at 82 min for M1 mutants (dashed gray line in Fig. 7). The cortical BFs shifted back to the original values 330 min after tone–ESNB in wild types and 210 min after tone–ESNB in M1 mutants.
Time course of tone–ESNB on the shifts in cortical BFs. The percentage changes in BF were calculated before the tone–ESNB and at every 30 min after the tone–ESNB. Each data point was calculated based on all sampled neurons, 24 neurons for wild types and 69 neurons for M1 mutants. The BF shifts started immediately after tone–ESNB in both wild types and M1 mutants. The shifts in cortical BFs in M1 mutants recovered faster than those in wild types. The solid gray line and dashed gray line represent the 50% recovery for wild types and M1 mutants, respectively.
Time course of tone–ESNB on the shifts in cortical BFs. The percentage changes in BF were calculated before the tone–ESNB and at every 30 min after the tone–ESNB. Each data point was calculated based on all sampled neurons, 24 neurons for wild types and 69 neurons for M1 mutants. The BF shifts started immediately after tone–ESNB in both wild types and M1 mutants. The shifts in cortical BFs in M1 mutants recovered faster than those in wild types. The solid gray line and dashed gray line represent the 50% recovery for wild types and M1 mutants, respectively.
Discussion
The M1 Receptor Is Not Essential for the General Excitation of the Auditory Cortex
Basal forebrain activation increases the acetylcholine level in the cerebral cortex (Rasmusson and others 1992; Jimenez-Capdeville and others 1997). The increased cortical acetylcholine can induce a number of changes in brain activities, including the desynchronization of the cortical EEG, an increase of cortical neuron activity, the facilitation of thalamocortical synaptic transmission, and the augmentation of cortical neuron sensitivity to a tone stimulus (Metherate and Ashe 1993; Edeline and others 1994; McLin and others 2002). The ESNB affects the EEG and facilitates the auditory responses of cortical neurons through muscarinic receptors (Bakin and Weinberger 1996; Yan and Zhang 2005). Our present data show that ESNB changes the large and slow EEG waves into smaller and faster EEG waves (Fig. 1). ESNB also facilitated the auditory responses of cortical neurons, decreased response threshold, and broadened frequency tuning in both wild types and M1 mutants (Fig. 3). These findings indicate that ESNB is able to facilitate the neural activities of the auditory cortex in mice lacking M1 receptors. Because there is no difference in level or pattern of expression of other muscarinic receptor subtypes in the brain between M1 mutants and wild types (Hamilton and others 1997), our data suggest that the M1 receptor may be less critical for the acetylcholine-elicited general excitation of the auditory cortex comparing with other muscarinic receptor subtypes.
A previous study demonstrated that the cholinergic facilitation of neuronal activities in the auditory cortex is antagonized by the selective M1 receptor antagonist pirenzepine (Metherate and others 1990). Pirenzepine shows the highest affinity to the M1 receptor, suggesting that M1 receptors play an important role in the mediation of cholinergic facilitation in the auditory cortex. However, pirenzepine is also able to bind all muscarinic receptors, particularly the M4 receptor (Hammer and others 1980; Buckley and others 1989; Moriya and others 1999). Because the selective M2 receptor antagonist gallamine does not reduce cholinergic facilitation of the auditory cortex (Metherate and others 1990), both M1 and M4 may be involved in the cholinergic facilitation of cortical neurons in normal animals. A recent study of the evoked field potential in the preparation of the visual cortex indicates that the cholinergic facilitation of the cortical field potential in M1 mutants is similar to that in wild types but does not occur in M1/M4 double-knockout mice (Kuczewski and others 2005). Therefore, ESNB facilitation of cortical activities is potentially mediated by M4 receptors in M1 knockout mice. This requires further investigation.
Nonspecific Changes in Frequency Tuning of the Auditory Cortex in M1 Mutants
Consistent with previous results (Yan and Zhang 2005), we found in the present study that ESNB facilitates the auditory responses of cortical neurons but had little effect on the frequency/threshold tuning of cortical neurons. In contrast, we found that ESNB frequently altered the frequency tunings of cortical neurons in M1 mutant mice as shown in Figures 1D,E and 2. Our observed variations in the BF, the F2nd, and the Fv imply that changes in cortical acetylcholine levels alter the frequency tuning of cortical neurons in M1 mutant mice.
The functional organization of the sensory cortex is established primarily based on information relayed by thalamocortical inputs (Miller, Escabi, Read, and Schreiner 2001; Miller, Escabi, and Schreiner 2001; Read and others 2002; Hirsch 2003). Formation of the thalamocortical synapse is critical for the establishment of a solid frequency tuning of the auditory cortex (Yan 2003). In the central nervous system, synapse formation is dependent on the collaboration or interaction of both presynaptic and postsynaptic activities (Cohen-Cory 2002). Postsynaptic N-methy-D-aspartate and α-amino-3-hydroxy-5-methyl-4-isoxazolepropionate glutamate receptors are important for the development of the synapse and postsynaptic dendrites (Rajan and Cline 1998; Rajan and others 1999; Cline 2001). Interestingly, acetylcholine enhances glutamate-mediated responses by acting at muscarinic receptors, particularly the M1 receptor (Metherate and others 1990; Aramakis and others 1997, 1999). Our previous study demonstrated that the primary auditory cortex of mice lacking M1 receptors has shorter dendrites in those neurons that receive the thalamocortical inputs in layer IV. At the same time, M1 mutants exhibit abnormal and immature functional organization and frequency tuning in the auditory cortex (Zhang and others 2005). These data combined with our present findings suggest that the absence of M1 receptors results in abnormal thalamocortical synaptic connections and nonspecific changes in frequency tunings of the auditory cortex.
M1 Receptor Is Critical for Frequency-Specific Plasticity of the Auditory Cortex
A large number of studies have shown that continuous functional reorganization or plasticity of sensory cortices is specific to the sensory inputs. In the auditory cortex, both auditory learning and experience lead to reorganization of the tonotopic map in the auditory cortex with increased emphasis on the frequency of the learned or experienced sound (Bakin and Weinberger 1990; Recanzone and others 1993; Gao and Suga 1998; Zhang and others 2001; Yan and Zhang 2005). Auditory aversive conditioning, intensive exposure to a particular sound, or electrical stimulation of the cholinergic basal forebrain significantly shifts the frequency tunings of auditory cortical neurons toward, even to the frequency of the acquired sound. Such dramatic shifts in the frequency tuning of the auditory cortex can be reduced or eliminated by muscarinic acetylcholine receptor antagonists atropine and scopolamine (Bakin and Weinberger 1996; Miasnikov and others 2001; Thiel and others 2002; Ji and Suga 2003; Yan and Zhang 2005). This suggests that the muscarinic receptor is critical for the shifts in the frequency tuning of auditory cortical neurons induced by auditory learning or experience. Although 5 muscarinic receptor subtypes have been identified, little is known about their contribution to experience-dependent cortical plasticity in adult animals. Behavioral study demonstrates that M1 mutants show normal or enhanced memory for solving matching-to-sample problems but severe deficit for solving non–matching-to-sample working memory as well as consolidation (Anagnostaras and others 2003). Our present data illustrate that tone–ESNB is able to elicit the frequency-specific plasticity of the auditory cortex in mice lacking the M1 receptor but that this plasticity was much weaker (Fig. 5) and shorter (Fig. 7) compared with wild types. This suggests that input-specific or frequency-specific plasticity in the auditory cortex is poorly developed in the absence of M1 receptors and that the M1 receptor is critical for the development of learning-induced or experience-dependent cortical plasticity.
This research is supported by grants from the Alberta Heritage Foundation for Medical Research, the Institute of Neurosciences, Mental Health and Addiction of the Canadian Institutes of Health Research, and grant NS26920 from the National Institutes of Health.
References
Author notes
1Department of Physiology, Hotchkiss Brain Institute, University of Calgary Faculty of Medicine, Calgary, Alberta T2N 4N1, Canada and 2Department of Pharmacology, University of Washington School of Medicine, Seattle, WA 98195-7750, USA







