- Split View
-
Views
-
CiteCitation
Franco Sassi; Calculating QALYs, comparing QALY and DALY calculations, Health Policy and Planning, Volume 21, Issue 5, 1 September 2006, Pages 402–408, https://doi.org/10.1093/heapol/czl018
Download citation file:
© 2018 Oxford University Press
Close -
Share
Abstract
Quality-adjusted life years (QALYs) have been used in the assessment of health interventions for three decades. The popularity of the QALY approach has been constantly increasing, although the debate on its theoretical underpinnings and practical implications is still ongoing. Disability-adjusted life years (DALYs), also widely debated, were shaped some 20 years later, broadly within the same conceptual framework but with a number of important differences.
This paper provides a comprehensive formulation of QALY calculation methods, offering practical instruments for assessing the impact of health interventions, similar to those made available elsewhere for calculating DALYs. Systematic differences between QALYs and DALYs are explained by reference to two examples: the prevention of tuberculosis and the treatment of bipolar depression. When a health intervention is aimed at preventing or treating a non-fatal disease, the relationship between QALYs gained and DALYs saved depends on age of onset and duration of the disease, as well as the quality of life and disability weights. In the case of a potentially fatal disease, a larger number of factors may determine differences between outcomes assessed with the two metrics. The relative importance of some of these factors is discussed and illustrated graphically in the paper. Understanding similarities and differences between QALYs and DALYs is important to researchers and policy makers, for a sound interpretation of the evidence on the outcomes of health interventions.
Introduction
The term ‘quality-adjusted life year’ (QALY) was first used in 1976 by Zeckhauser and Shepard to indicate a health outcome measurement unit that combines duration and quality of life (Zeckhauser and Shepard1976). But the underlying concept had been formally shaped in the early 1970s in the development of a ‘health status index’ (Fanshel and Bush 1970; Torrance 1970; Torrance et al. 1972), while an earlier study of the treatment of chronic renal disease (Klarman et al. 1968) had used a subjective adjustment for quality of life. Early applications of the health status index include one on tuberculin screening (Bush et al. 1972) and one on screening for phenylketonuria (Bush et al. 1973). The underlying assumptions of the QALY model were spelled out by Pliskin et al. (1980), who demonstrated that the QALY maximization criterion is justified in a multi-attribute utility theory framework under the following conditions: utility independence between life years and health status; constant proportional trade-off; and risk neutrality on life years. These conditions and the utility theory foundations of QALYs were further discussed in a number of contributions, including those of Myamoto and Eraker (1985), Loomes and McKenzie (1989), Mehrez and Gafni (1989). An extensive review published in 1992 counted 51 economic evaluations using QALYs as the outcome measure (Gerard 1992). Only a few years later the QALY framework was widely accepted as the reference standard in cost-effectiveness analysis (Gold et al. 1996; McPake et al. 2002; Drummond et al. 2005), amid a continuing debate on its theoretical underpinnings and practical implications (e.g. Bleichrodt and Johannesson 1996). Today, QALYs are used in most economic evaluations, and by many regulatory agencies which have made cost-effectiveness analysis an integral part of their decision-making processes.
The QALY framework provided a basis for the development of a number of health outcome measures, including the disability-adjusted life year (DALY) in the early 1990s. The DALY is primarily a measure of disease burden (disability weights measure loss of functioning) but its use in cost-effectiveness analysis is also relatively common, and this paper is concerned with the latter. As a measure of outcome in economic evaluation, the DALY differs from the QALY in a number of aspects. Most importantly, the DALY incorporates an age-weighting function assigning different weights to life years lived at different ages, and the origins of disability and quality of life weights differ significantly. Although the disability profiles upon which DALY calculations are based tend to be simple (e.g. a constant disability is often assumed), the actual calculations may be relatively complicated, as illustrated in some detail by Murray (1994) and, in this Journal, by Fox-Rushby and Hanson (2001). On the other hand, quality of life profiles (or health profiles) for QALY calculations tend to be more elaborate, allowing for sequential upward or downward health status changes over time, but the corresponding calculation methods can be made less cumbersome by using a discrete approximation of a continuous health function (Drummond et al. 2005). Perhaps the only comprehensive mathematical formulation of a QALY-type measure, the ‘health status unit years’, was produced by Torrance (1976) with reference to a population perspective.
This paper illustrates the methods for calculating QALYs, providing formulas that can be applied directly by researchers, similar to those made available elsewhere for DALY calculations. The paper also includes two practical examples, in which the results of QALY and DALY calculations are compared and systematic differences are shown. This paper is about calculation methods, and it does not aim at providing a comprehensive discussion of the conceptual and methodological differences between the two measures, which are well documented in other contributions. In particular, Broome (1993) provides a detailed discussion of the conceptual framework of QALYs, while methods for eliciting health state utility values are presented in Torrance (1986). Readers may refer to Loomes and McKenzie (1989) and Mehrez and Gafni (1989) for a critique of the utility framework on which QALYs are based, and to Sassi et al. (2001) for a review of the ethical and distributional issues involved. Most of the challenges to the QALY framework have been based on the difficulties involved in making interpersonal comparisons and aggregating individual utilities; the assumptions on which health utility elicitation methods are based; and the implicit discrimination against the elderly and the chronically ill or disabled. The debate on the conceptual framework, key assumptions and ethical implications of DALYs is illustrated in Anand and Hanson (1997), Murray and Acharya (1997), Williams (1999) and Arnesen and Nord (1999). Key challenges to the DALY framework have focused on the equity implications of age-weighting and of the standard life expectancy assumption used in cross-country comparisons, but also on the methods used to assess disability weights. A direct comparison of the two measures is presented in Gold et al. (2002).
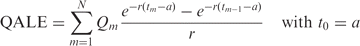
Calculating QALYs
Health-related quality of life weights used in QALY calculations differ from disability weights (D) used in DALY calculations in several respects. Although measured on similar scales, the former represent levels of quality of life enjoyed by individuals in particular health states, while the latter represent levels of loss of functioning caused by diseases. The former are normally measured on a scale in which 1 represents full health and 0 represents death, therefore higher values correspond to more desirable states and states deemed worse than death can take negative values. The latter are measured on a scale in which 0 represents no disability, therefore lower scores correspond to more desirable states. The two types of weights are also derived in different ways, using different elicitation techniques and different groups of subjects.
In practice, DALY calculations tend to be based on a universal set of standard weights based on expert valuations, while QALY calculations often rely on preference-based health-related quality of life measures directly elicited from general population samples or from groups of patients. The most common preference elicitation techniques are the standard gamble and the time trade-off, both choice-based (Torrance 1986). These may be applied directly, or indirectly in the assessment of the value of individual dimensions of multi-attribute systems like the Health Utilities Index (Torrance et al. 1996) or the EuroQol (Dolan 1997).
Health profiles with constant quality of life. Note: Health profiles with intervention i (solid line), and without intervention (broken line).
Health profiles with constant quality of life. Note: Health profiles with intervention i (solid line), and without intervention (broken line).
Health profiles with variable quality of life. Note: Health profiles with intervention i (solid line), and without intervention (broken line).
Health profiles with variable quality of life. Note: Health profiles with intervention i (solid line), and without intervention (broken line).
Comparing QALYs and DALYs: practical examples
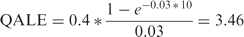
The calculation methods illustrated in the previous section will be applied in two examples, one on tuberculosis, a temporary non-fatal disease, and one on bipolar disorder, a chronic disease potentially affecting life expectancy. In both examples, it is initially assumed that the loss of quality of life determined by the respective diseases in QALY calculations is exactly equivalent to the level of disability estimated in DALY calculations (i.e. 1 − Q = D). This assumption will be later relaxed to illustrate the impact of potential differences between the two. A 3% discount rate is used, in line with the Global Burden of Disease (GBD) study. Finally, quality of life is assumed stable throughout the duration of the disease.
A non-fatal condition
An individual affected by tuberculosis will experience a temporary, non-fatal disability if the disease is appropriately diagnosed and treated. The level of disability attributed to tuberculosis in the GBD study varies in a relatively narrow range (0.264 to 0.294), depending on the age of the individual affected. In this example we shall use the disability weight (D) for the age group ≥45, i.e. 0.274. Therefore, under the assumption that Q = 1 − D, the corresponding quality of life weight Q (life with tuberculosis) will be 0.726.
The impact of relaxing the assumption Q = 1 − D can be assessed by using appropriate quality of life weights for tuberculosis. Dion et al. (2002) report a mean standard gamble value of 0.68 for moderate disease. If this was used in QALY calculations, the QALY gain would change to 0.16, and this would vary with disease duration as illustrated by the relevant curve in Figure 3.
A potentially fatal condition
When Li ≠ L, the relationship between QALYs gained and DALYs saved is determined by a large number of parameters, including: the quality of life, or disability, weights with and without treatment; the age of onset of the disease; the duration of the disease with and without treatment. Therefore, it is not possible to calculate conversion factors like those reported in Table 1.
Conversion factors from QALYs gained to DALYs saved
| a – Age of disease onset (years) | ||||||||
|---|---|---|---|---|---|---|---|---|
| L – Disease duration (years) | 5 | 15 | 25 | 35 | 45 | 55 | 65 | 75 |
| 0.5 | 0.705 | 1.374 | 1.525 | 1.427 | 1.228 | 1.005 | 0.796 | 0.615 |
| 1 | 0.731 | 1.382 | 1.524 | 1.423 | 1.222 | 0.999 | 0.791 | 0.611 |
| 1.5 | 0.756 | 1.390 | 1.524 | 1.418 | 1.217 | 0.994 | 0.786 | 0.607 |
| 2 | 0.780 | 1.398 | 1.523 | 1.414 | 1.211 | 0.989 | 0.781 | 0.603 |
| 2.5 | 0.803 | 1.405 | 1.522 | 1.410 | 1.206 | 0.983 | 0.776 | 0.599 |
| 3 | 0.825 | 1.412 | 1.521 | 1.406 | 1.201 | 0.978 | 0.772 | 0.595 |
| 3.5 | 0.847 | 1.418 | 1.520 | 1.401 | 1.195 | 0.973 | 0.767 | 0.591 |
| 4 | 0.868 | 1.424 | 1.519 | 1.397 | 1.190 | 0.968 | 0.763 | 0.588 |
| 4.5 | 0.888 | 1.430 | 1.518 | 1.392 | 1.185 | 0.962 | 0.758 | 0.584 |
| 5 | 0.907 | 1.435 | 1.516 | 1.388 | 1.179 | 0.957 | 0.754 | 0.580 |
| a – Age of disease onset (years) | ||||||||
|---|---|---|---|---|---|---|---|---|
| L – Disease duration (years) | 5 | 15 | 25 | 35 | 45 | 55 | 65 | 75 |
| 0.5 | 0.705 | 1.374 | 1.525 | 1.427 | 1.228 | 1.005 | 0.796 | 0.615 |
| 1 | 0.731 | 1.382 | 1.524 | 1.423 | 1.222 | 0.999 | 0.791 | 0.611 |
| 1.5 | 0.756 | 1.390 | 1.524 | 1.418 | 1.217 | 0.994 | 0.786 | 0.607 |
| 2 | 0.780 | 1.398 | 1.523 | 1.414 | 1.211 | 0.989 | 0.781 | 0.603 |
| 2.5 | 0.803 | 1.405 | 1.522 | 1.410 | 1.206 | 0.983 | 0.776 | 0.599 |
| 3 | 0.825 | 1.412 | 1.521 | 1.406 | 1.201 | 0.978 | 0.772 | 0.595 |
| 3.5 | 0.847 | 1.418 | 1.520 | 1.401 | 1.195 | 0.973 | 0.767 | 0.591 |
| 4 | 0.868 | 1.424 | 1.519 | 1.397 | 1.190 | 0.968 | 0.763 | 0.588 |
| 4.5 | 0.888 | 1.430 | 1.518 | 1.392 | 1.185 | 0.962 | 0.758 | 0.584 |
| 5 | 0.907 | 1.435 | 1.516 | 1.388 | 1.179 | 0.957 | 0.754 | 0.580 |
DALYs saved = QALYs gained *Ca,L
Conversion factors are based on the following assumptions:
(1) Q = 1 − D
(2) Q, Qi (and D, Di) constant throughout disease duration
(3) r = 0.03
(4) DALY age-weighting parameters as in GBD study.
Conversion factors from QALYs gained to DALYs saved
| a – Age of disease onset (years) | ||||||||
|---|---|---|---|---|---|---|---|---|
| L – Disease duration (years) | 5 | 15 | 25 | 35 | 45 | 55 | 65 | 75 |
| 0.5 | 0.705 | 1.374 | 1.525 | 1.427 | 1.228 | 1.005 | 0.796 | 0.615 |
| 1 | 0.731 | 1.382 | 1.524 | 1.423 | 1.222 | 0.999 | 0.791 | 0.611 |
| 1.5 | 0.756 | 1.390 | 1.524 | 1.418 | 1.217 | 0.994 | 0.786 | 0.607 |
| 2 | 0.780 | 1.398 | 1.523 | 1.414 | 1.211 | 0.989 | 0.781 | 0.603 |
| 2.5 | 0.803 | 1.405 | 1.522 | 1.410 | 1.206 | 0.983 | 0.776 | 0.599 |
| 3 | 0.825 | 1.412 | 1.521 | 1.406 | 1.201 | 0.978 | 0.772 | 0.595 |
| 3.5 | 0.847 | 1.418 | 1.520 | 1.401 | 1.195 | 0.973 | 0.767 | 0.591 |
| 4 | 0.868 | 1.424 | 1.519 | 1.397 | 1.190 | 0.968 | 0.763 | 0.588 |
| 4.5 | 0.888 | 1.430 | 1.518 | 1.392 | 1.185 | 0.962 | 0.758 | 0.584 |
| 5 | 0.907 | 1.435 | 1.516 | 1.388 | 1.179 | 0.957 | 0.754 | 0.580 |
| a – Age of disease onset (years) | ||||||||
|---|---|---|---|---|---|---|---|---|
| L – Disease duration (years) | 5 | 15 | 25 | 35 | 45 | 55 | 65 | 75 |
| 0.5 | 0.705 | 1.374 | 1.525 | 1.427 | 1.228 | 1.005 | 0.796 | 0.615 |
| 1 | 0.731 | 1.382 | 1.524 | 1.423 | 1.222 | 0.999 | 0.791 | 0.611 |
| 1.5 | 0.756 | 1.390 | 1.524 | 1.418 | 1.217 | 0.994 | 0.786 | 0.607 |
| 2 | 0.780 | 1.398 | 1.523 | 1.414 | 1.211 | 0.989 | 0.781 | 0.603 |
| 2.5 | 0.803 | 1.405 | 1.522 | 1.410 | 1.206 | 0.983 | 0.776 | 0.599 |
| 3 | 0.825 | 1.412 | 1.521 | 1.406 | 1.201 | 0.978 | 0.772 | 0.595 |
| 3.5 | 0.847 | 1.418 | 1.520 | 1.401 | 1.195 | 0.973 | 0.767 | 0.591 |
| 4 | 0.868 | 1.424 | 1.519 | 1.397 | 1.190 | 0.968 | 0.763 | 0.588 |
| 4.5 | 0.888 | 1.430 | 1.518 | 1.392 | 1.185 | 0.962 | 0.758 | 0.584 |
| 5 | 0.907 | 1.435 | 1.516 | 1.388 | 1.179 | 0.957 | 0.754 | 0.580 |
DALYs saved = QALYs gained *Ca,L
Conversion factors are based on the following assumptions:
(1) Q = 1 − D
(2) Q, Qi (and D, Di) constant throughout disease duration
(3) r = 0.03
(4) DALY age-weighting parameters as in GBD study.
If the assumption that Q = 1 − D is relaxed, appropriate quality of life weights can be used to assess the value of Q. Tsevat et al. (2000) report a mean (standard gamble) utility of 0.77 in a sample of patients undergoing various types of treatment. Applying this in QALY calculations leads to a QALY gain figure of 15.38 (instead of 13.62) in the baseline case. Figures 4–6 illustrate how QALYs gained and DALYs saved vary in relation to changes in, respectively, age of disease onset (a), duration of disability without treatment (L), and disability weight with treatment (Di). These show that when Q is equal or very close to 1 − D, the factor potentially generating the largest divergence between the two measures is age at disease onset, while other factors have limited or no impact. However, even relatively small departures of the value of Q from 1 − D may determine substantial differences between QALYs gained and DALYs saved.
Benefits of preventing a potentially fatal disease: effect of age of disease onset (a)
Benefits of preventing a potentially fatal disease: effect of age of disease onset (a)
Benefits of preventing a potentially fatal disease: effect of duration of disability without treatment (L)
Benefits of preventing a potentially fatal disease: effect of duration of disability without treatment (L)
Benefits of preventing a potentially fatal disease: effect of disability weight with treatment (Di)
Benefits of preventing a potentially fatal disease: effect of disability weight with treatment (Di)
Discussion
This paper provides an illustration of calculation methods for assessing quality-adjusted life expectancy and for measuring the outcomes of health interventions in terms of QALYs. Two examples in different disease areas have shown that age of disease onset is an important factor determining variations between numbers of QALYs gained and DALYs saved, when interventions are compared using the two metrics. The pattern of variation is mostly dictated by the shape of the age-weighting function. QALYs gained exceed DALYs saved when disease starts in the very early years of life and is of short duration; when the disease starts in later years, up to young adulthood, DALYs saved exceed QALYs gained, sometimes by a relative large margin; finally, when the disease starts in late adulthood and in older ages, QALYs gained again exceed DALYs saved. These conclusions are based on the use of the age-weighting function originally proposed in the GBD study (Murray and Lopez 1996), still most widely applied in DALY calculations. Results would have been different if based on a different function, or if QALYs had been age-weighted too, as advocated by some (see Sassi et al. 2001 for a discussion of the latter).
The examples have also shown that differences between quality of life and disability weights may cause further divergence between QALYs gained and DALYs saved. In some cases, estimates of the loss of quality of life used in QALY calculations may be very close, or equal, to disability estimates used in DALY calculations. However, variations can often be expected in either direction. In our examples, we have used quality of life weights derived from the literature to illustrate the possible extent of such variations.
The examples in this paper are based on the assumption that the assessment of the relevant interventions is country-specific. Instead, the original formulation of DALYs for the GBD study was aimed at supporting cost-effectiveness comparisons on a global scale, therefore a standard life expectancy was assumed in order not to disadvantage populations with a shorter actual life expectancy. The two approaches may lead to different results, an example being an intervention that avoids premature mortality caused by a given disease (as in the second example above). The standard life expectancy assumption leads to a consistently larger estimate of DALYs saved, and the difference is greater where actual life expectancy is shorter.
Although QALYs and DALYs stem from the same broad conceptual framework, they are not interchangeable, as they are partly based on different assumptions and different methodologies (for instance, methods for eliciting quality of life and disability scores). Understanding systematic differences between the two measures is important for enabling policy makers to form a sound judgement on the existing evidence about the outcomes of health interventions.
Acknowledgements
The author wishes to thank Mrigesh Bhatia for discussions that led to an earlier version of this paper. The usual disclaimer applies.




















