- Split View
-
Views
-
CiteCitation
Anthony T. Dobson, Rajiv Raja, Michael J. Abeyta, Theresa Taylor, Shehua Shen, Christopher Haqq, Renee A. Reijo Pera; The unique transcriptome through day 3 of human preimplantation development, Human Molecular Genetics, Volume 13, Issue 14, 15 July 2004, Pages 1461–1470, https://doi.org/10.1093/hmg/ddh157
Download citation file:
© 2018 Oxford University Press
Close -
Share
Abstract
Successful human development is dependent upon a cascade of events following fertilization. Unfortunately, knowledge of these critical events in humans is remarkably incomplete. Although hundreds of thousands of human embryos are cultured yearly at infertility centers worldwide, the vast majority fail to develop in culture or following transfer to the uterus. In this study, we sought to characterize global patterns of gene expression in individual, normal embryos during the first three days of embryonic life using microarrays; we then compared gene expression between normally growing and growth-arrested embryos using quantitative PCR. Our results documented several novel findings. First, we found that a complex pattern of gene expression exists; most genes that are transcriptionally modulated during the first three days following fertilization are not upregulated, as was previously thought, but are downregulated. Second, we observed that the majority of genes exhibiting differential expression during preimplantation development are of unknown identity and/or function. Third, we show that embryonic transcriptional programs are clearly established by day 3 following fertilization, even in embryos that arrested prematurely with 2-, 3- or 4-cells. This indicates that failure to activate transcription is not associated with the majority of human preimplantation embryo loss. Finally, taken together, these results provide the first global analysis of the human preimplantation embryo transcriptome, and demonstrate that RNA can be amplified from single oocytes and embryos for analysis by cDNA microarray technology, thus lending credence to additional studies of genetic regulation in these cell types, as well as in other small biological samples.
INTRODUCTION
In diverse vertebrate and invertebrate animals, life begins with the fusion of egg and sperm followed by a brief period of transcriptional silence in the nascent embryo. This period is marked by a maternal to zygotic transition in which the program of development is initially carried out by maternally-inherited information before transfer to embryonic gene control ( 1 , 2 ). The purpose of the maternal to zygotic transition is 2-fold: messages that function in differentiation and maintenance of the oocyte must be destroyed while genes required for growth and differentiation of the embryo must be expressed for the first time ( 1 ). During this time, unique patterns of genome methylation become established, providing epigenetic regulation that is perpetuated throughout adult life ( 3 ).
The period of time from fertilization to activation of transcription in the newly-formed embryo varies among different species ( 4 – 6 ). In humans, initiation of transcription in the newly-formed embryonic genome reportedly occurs at the 4–8 cell stage ( 2 ). In model organisms, early gene expression may be regulated at the transcriptional and translational levels via specific promoter usage, modulation of chromosome structure and polyadenylation of transcripts ( 1 , 7 – 9 ). Several studies have documented key events that follow fertilization in humans, such as a decrease in abundance of individual mRNAs ( 10 ), activation of bulk mRNA transcription following a quiescent period ( 11 ) and nascent expression of a few individual known genes that were previously characterized in other organisms ( 12 , 13 ). Although two recent reports have described gene expression changes throughout mouse preimplantation development ( 14 , 15 ), the analysis of global gene expression in normal or growth-arrested individual human embryos has not been reported. Here, we describe overall patterns of gene expression in individual human oocytes and preimplantation embryos, relative to that of a common precursor, the primary oocyte (Fig. 1 ). During this period of development, mitotic cell divisions occur in the absence of cellular growth and are termed cleavage divisions. Thus, all embryos used were approximately the same size and normalization to cell number was not necessary. Moreover, all analyses were performed on pure populations of clearly-defined cell types. Finally, we experimentally address the belief that defective embryonic genome activation causes embryo arrest ( 2 , 16 ).
RESULTS
Reproducibility of RNA amplification
Normal human embryos are rarely available for study and contain very little RNA for evaluation. Thus, we examined whether linear amplification of RNA might allow analysis of gene expression in individual human oocytes and embryos. We used a method that was recently developed ( 17 – 20 ) to produce yields of amplified RNA (aRNA) greater than 10 6 -fold the input mRNA content, ample for these studies in which a single oocyte or embryo contains only one to a few cells.
Reproducibility of RNA amplification was verified using microarrays by comparing log transformed (base 2) median intensity ratios (testis/brain) between two amplified and two unamplified RNA samples (Fig. 2 A–F). As shown, the Pearson correlation was high when comparing ratios between the amplified samples (Fig. 2 A) or between the unamplified samples (Fig. 2 D). Likewise, a high, though reduced, correlation was also observed in comparisons of the median intensity ratios between the amplified versus unamplified samples in all pair-wise comparisons (Fig. 2 B, C, E and F). We concluded that gene expression ratios between test and control samples are without bias if test and control samples are amplified identically in all experiments.
The mRNA content of human oocytes and embryos
We next sought to determine the mRNA content of human oocytes and embryos based on their amplification yields (Fig. 3 ). RNA samples purified from 1, 2 and 3 embryos, that were at a similar stage of development on day 3, were subjected to two rounds of amplification, and the total yield of aRNA for each sample was measured (Fig. 3 A). The amplification was linear with respect to the amount of starting material, providing a reassuring means to estimate mRNA content. Assuming our positive control was comprised of 3–5% mRNA, we calculated that each embryo contained ∼20 pg of mRNA on day 3 of development. Similarly, we estimated the mRNA content of oocytes and embryos at different stages of development (Fig. 3 B). We determined that human primary oocytes contain ∼55 pg of mRNA. Our results also demonstrated that the differences in amplified yield between these developmental groups were significant based on ANOVA testing ( P <0.001). There was a rapid decline in bulk mRNA content during maturation of the primary oocyte, similar to results described previously in the mouse ( 21 , 22 ), and a further decline from day 1 to 2 of embryo development, both being significant ( P <0.05) by multiple comparison t -tests using the Bonferroni correction. By day 3, bulk mRNA content appeared to increase, though this was not statistically significant. One of the secondary oocyte samples, marked with an ‘x’ as it was likely misdiagnosed (Fig. 3 B), was a significant outlier, with an amplified RNA yield and a pattern of gene expression consistent with a primary oocyte. Nevertheless, its inclusion in the statistical analysis did not significantly impact the outcome. It is notable that these results were similar to observations from mice. Mouse oocytes reportedly contain ∼83 pg mRNA ( 22 ). Although mouse oocytes are smaller than human oocytes, our estimate of 55 pg of mRNA in human oocytes was consistent with our expectations. RNA content is known to vary considerably among different species ( 23 ); moreover, our determinations were performed using individual oocytes (not hundreds of pooled samples as in experiment with mice) and a different methodology.
Global analysis of gene expression in human oocytes and preimplantation embryos
In order to identify genes whose transcript levels changed throughout the first 3 days of preimplantation development, we profiled gene expression in single oocytes and embryos (five primary oocytes, two secondary oocytes, seven day 1 embryos, three day 2 embryos and five day 3 embryos), each compared to a control primary oocyte. Probes derived from the amplified RNA were then hybridized to two cDNA microarrays, each containing about 20 000 targets (representing in total ∼29 778 independent genes according to Unigene Build 155). Graphical representations of the Pearson correlation coefficients are presented in Fig. 4 . The unexplained variance in gene expression (1− r2 ) increased with development from primary oocytes through day 3 of embryogenesis (Fig. 4 A). This increase was significant ( P <0.001) among the groups using the Kruskal–Wallis test, and it was significant between day 1 and day 2 ( P =0.002) and between day 2 and day 3 ( P =0.039) using the Mann–Whitney rank sum test. Correlation plots are shown for a control group and a representative of each of the experimental groups (Fig. 4 B–G; see Supplementary Material for all of the plots). As expected, the control group, comparing samples derived from equal aliquots of RNA from two combined primary oocytes, had a high correlation coefficient of 0.99 (Fig. 4 B). Similarly, when we compared primary oocyte to primary oocyte, the median correlation coefficient was 0.96 (Fig. 4 C). In contrast, as development progressed, the correlation coefficients between primary oocyte and secondary oocyte (Fig. 4 D), day 1 embryo (Fig. 4 E), day 2 embryo (Fig. 4 F) or day 3 embryo (Fig. 4 G) decreased as gene expression between the two mRNA samples diverged with development.
Data from the arrays were linearly normalized, and then analyzed using SAM ( 24 ), a method of analysis that uses permutations to account for the large number of genes being analyzed and also estimates a false discovery rate. A total of 1896 genes that demonstrated at least a 4-fold change in expression (with <1% false discovery rate) were used for further analysis. In order to assess the power of the data sets to discriminate between the different developmental stages, we performed hierarchical clustering using the average distance metric ( 25 ) to group the 22 sample data sets based upon the overall similarity of gene expression patterns (Fig. 5 A). All of the embryo samples clustered appropriately into their groups. One each of the primary and secondary oocyte samples failed to cluster in the group that it was assigned. Interestingly, the primary oocyte sample that clustered inappropriately (i.e. with secondary oocytes) was the sample with the least amount of aRNA yield, more closely resembling the yield of aRNA obtained from the secondary oocytes. It also demonstrated correlation coefficients (see Supplementary Material) more similar to those of the secondary oocytes. Similarly, the secondary oocyte sample that clustered with the primary oocytes was more similar to them in both aRNA yield and correlation coefficients. If this clustering correctly grouped the samples, then the dendrogram demonstrated several interesting findings. First, the primary oocytes are most different from all of the other stages of development, showing differences within their group that suggests some of the oocytes may have been more mature. Next, the secondary oocytes and day 1 embryos were more closely related to each other than to the other groups; they also had a similar mRNA content (Fig. 3 B). And finally, day 2 and day 3 embryos were more similar to each other than to the other groups; reflecting similarities in their gene expression profiles.
Without a means to recheck whether the samples were correctly identified prior to collection, we decided not to rely on expression profiles to group the samples and grouped them manually according to their morphology when the samples were collected. The 1896 genes were then subjected to hierarchical clustering based upon their expression patterns across the groups, which were manually fixed. Remarkably, even though each column of data was derived from the comparison of a single, individual oocyte or embryo with an individual primary oocyte, the biological variability among the genes was minimal within groups (Fig. 5 B). In fact, clearly-evident, unique patterns of gene expression were observed that allowed diagnosis of developmental stage based solely on the gene expression profile. A large set of transcripts was significantly upregulated by days 2 to 3 of development, as was a much smaller set on day 1. To our surprise, however, the most dramatic event of preimplantation development was the precise, staged downregulation of hundreds of transcripts such that four times as many transcripts were downregulated (up to 54-fold) than were upregulated. The data set shown (Fig. 5 B) is available in the Supplementary Material (complete data set available upon request).
Validation of the microarray results
To verify microarray data, quantitative reverse transcription polymerase chain reaction (RT–PCR) was used to compare expression of several genes in normal day 3 embryos relative to that in primary oocytes (Fig. 6 ). All RT–PCR experiments were normalized to the housekeeping gene GAPDH in order to control for mRNA recovery and RT efficiency. The RT–PCR data were consistent with the microarray results. CCNA1 , H2AFZ , MYC , FOXD1 and SNAI1 were upregulated, while PDCD5 , AVEN , TUBA1 , MPHOSPH6 , NALP2 , FKBP5 and AKR1B1 were downregulated; all were statistically significant via the Student's t -test. The magnitude of change in expression that was observed by RT–PCR generally exceeded that observed by cDNA microarray, consistent with previous observations ( 26 ).
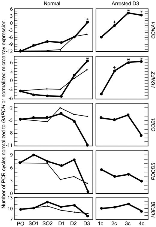
To further extend these studies, we examined the relative expression of several genes throughout the first three days of preimplantation development by real-time RT–PCR (Fig. 7 , left panels). Consistent with the microarray data (thin lines), RT–PCR analysis (thick lines) demonstrated that CCNA1 and H2AFZ were expressed at low levels in oocytes and day 1 embryos and increased significantly by day 3 as assessed by the Student's t -test. PDCD5 transcripts declined and H3F3B transcripts remained stably expressed; neither demonstrated significance. As H3F3B was not identified by SAM as significantly modulated throughout development, it was not among the genes clustered in Figure 5 . Changes in expression of COBL were most different between microarray and RT–PCR analysis, and neither was significant; this difference may be attributable to the methods of normalization between the two techniques in the presence of massive RNA degradation.
Transcriptional activation in growth-arrested, day 3 human embryos
The RT–PCR results above prompted us to explore use of these markers to track transcriptional activation during abnormal embryo development (Fig. 7 , right panels). Up to 20% of embryos fail to develop beyond the four-cell stage by day 3 of development (Fig. 8 ). Although such embryos have been shown to produce a few proteins that might be indicative of transcriptional activation ( 27 ), the timing of transcription in abnormal embryos and identity of genes activated has not been well explored. In addition, embryonic arrest associated with defective transcriptional activation has been observed in mice and monkeys ( 28 – 30 ).
We first addressed whether the expression of the CCNA1 and H2AFZ genes was activated in embryos that arrested at the one-, two-, three- or four-cell stages of development (the first two cleavage divisions). We found that indeed, arrested embryos reflect the transcriptional status appropriate to their day of development as long as the first mitotic division was completed (Fig. 7 , right ‘Arrested D3’ panels). Thus, CCNA1 and H2AFZ expression was significantly elevated in arrested two-cell to four-cell stage embryos but not in arrested one-cell embryos on day 3. In addition, PDCD5 levels, which normally decrease in abundance following fertilization, were appropriate for the third day of development in arrested embryos (though not statistically significant), suggesting that RNA degradation occurred regardless of the first cleavage division. Since embryonic arrest at the one-cell stage is rare (1.7%; Fig. 8 ), this data set demonstrated that failure to activate transcription does not explain most human embryonic arrest.
DISCUSSION
Infertility and embryo transfer criteria
Infertility is a common health problem that affects 10–15% of reproductive-age couples. In the USA alone in the year 2000, nearly 100 000 in vitro fertilization (IVF) cycles were performed ( 31 ). This resulted in the production of several hundred thousand cultured embryos that, unfortunately, in the vast majority of cases failed to develop properly for unknown reasons. Furthermore, implantation rates of IVF embryos are only ∼20% ( 31 , 32 ). Since the introduction of IVF in 1978, one of the major challenges of ART has been to identify developmentally-competent embryos that are suitable for transfer to the uterus and are most likely to result in a viable pregnancy ( 33 ). Traditionally, characterization of embryo competence has been based on simple morphologic observations such as the presence of uniformly-sized, mononucleate blastomeres and the degree of cellular fragmentation ( 34 , 35 ). More recently, additional methods such as extended culture of embryos (to the blastocyst stage) and analysis of chromosomal status via preimplantation genetic diagnosis (PGD) have also been used to assess embryo quality, in some cases and in some clinics ( 36 , 37 ). However, potential risks of these methods also exist in that they prolong the culture period and perturb the integrity of the embryo. Thus, to enhance the chance of pregnancy, the transfer of multiple embryos, especially when deemed to be of suboptimal quality, circumvents the lack of knowledge regarding embryo potential ( 33 ). This is in spite of high rates of multiple pregnancies ( 33 ). Meanwhile, little is known of the cause(s) of the majority of embryo loss and studies on embryo biology remain ethically-challenging ( 38 ). Here, we set out to define early embryo development at the molecular level and then to systematically test the hypothesis that arrested embryonic growth is linked to a failure to activate global embryonic gene transcription.
Normal pattern of embryonic gene expression
We report the first examination of global gene expression within individual human oocytes and embryos, and describe the human preimplantation embryonic transcriptome through day 3 of development. Recently, the examination of genome-wide expression in pooled mouse embryos was reported ( 14 , 15 ). Our microarrays, similar to these two reports, demonstrate robust patterns of stage specific gene expression, representing maternal genes that are degraded (downregulated) and zygotic genes that are activated (upregulated).
Our initial studies were dedicated to determining whether amplification from such small samples was feasible. In the first set of experiments, the correlation coefficients between amplified and unamplified specimens was somewhat diminished, suggesting differences in the microarray profiles between these groups. Because amplification provides 3′ biased probes of less than 1000 bases (often within the 3′ untranslated region), specificity to particular transcript variants is increased, which explains this finding and bolsters the argument that amplification may provide better material for cDNA microarray analysis.
Following amplification and hybridization to 40 000 targets, 1896 of them demonstrated significant changes in expression following fertilization through day 3 of development. These targets were identified using SAM ( 24 ), which scores samples based upon both their magnitude and variability. More than 40% of these genes were previously described only as expressed sequence tags or hypothetical proteins. Of the remaining 60%, only a few have known roles in embryonic development, and none were appreciated to play a role in humans.
Two genes, H2AFZ and MYC , were previously linked to embryonic growth control in other organisms; we observed that these genes were upregulated on microarrays and further explored their expression in human embryos. Notably, mutant mice lacking functional copies of H2afz or Myc die during embryogenesis ( 39 , 40 ). The human genes may, by extension, play a key role in early human embryonic development.
Numerically, downregulation far outweighed upregulation of transcript levels in our dataset. Degradation of maternal transcripts following oocyte maturation and fertilization has been described previously in the mouse ( 21 , 22 ) but not in the human. This downregulation is not simply due to a generalized degradation of maternal transcripts, as we observed up to a 54-fold decrease in specific transcripts, staged throughout the first 3 days of development, whereas degradation of oocyte transcripts (as determined by yield of aRNA) accounted for only a 2.5-fold decline in bulk yield. It is possible that specific transcripts are highly degraded and others remain intact; this could account for the degradation of maternal transcripts and the downregulation of gene expression that we see on the microarray. Furthermore, preferentially retained transcripts in the face of the massive RNA degradation could lead to a relative (but artificial) increase in transcript abundance. Thus, the microarray identifies those transcripts that are degraded (and/or downregulated), and it provides a means to identify exceptionally stable maternal transcripts that may play a role in early embryonic development.
Downregulation of specific genes could play a crucial role in preimplantation development. The expression of the apoptotic factor PDCD5 , which was downregulated on the microarray, was further explored in human embryos. PDCD5 is known to enhance apoptosis ( 41 ); it is interesting that it is suppressed in rapidly dividing preimplantation embryos. The general function of many other downregulated genes is known, yet their functional consequence in the early embryo is unknown. That the wave of downregulation precedes the activation of gene transcription begs the question of whether it is required for genome activation to occur or is an independent event in early embryo development. A staged downregulation such as this has not been reported for any organism during early development.
Embryo loss and genome activation
It has long been noted that human embryo loss is frequent both in vivo and in vitro ( 42 ). Several studies suggest that rates of chromosomal abnormalities in embryos may be 30% or greater ( 37 , 43 ). Other studies have suggested that suboptimal culture of embryos may result in loss in vitro ( 44 ). In addition, data from model organisms suggests that embryo loss may be linked to inability to activate global genome transcription of the unique embryonic developmental program at an appropriate time ( 29 , 30 , 45 ). Disruption of genes such as Zar1 (zygotic arrest 1) and Mater (maternal effect; Nalp5) results in embryo arrest and failure to develop beyond genome activation ( 29 , 45 ). Examination of a few genetic markers of genome activation in null mice indicated that embryonic gene expression was not initiated or was suboptimal ( 29 , 45 ). Thus, when we examined expression of five markers of normal embryonic genome activation in arrested human embryos, we were surprised to observe that embryonic gene expression was indistinguishable from that of normal embryos on the third day of development, regardless of whether they arrested with two, three, or four cells. Our results are supported by and extend earlier studies examining protein expression in human embryos ( 27 ). In those studies, transcription-dependent proteins were expressed, albeit modestly, in arrested embryos regardless of cell number. Our studies indicate that once the first cell division has occurred, the vast majority of embryos deemed to be arrested and of poor quality have at least activated genome expression. Thus, current criteria may underestimate embryonic potential.
Other evidence also suggests that our current morphological and growth criteria underestimate embryonic potential. One report documented that >20% of discarded embryos (four of 19) were able to form human embryonic stem cell lines that can be cultured extensively and form diverse somatic tissues ( 46 ). Another report indicated that morphological and growth criteria assessed on day 3 of development do not accurately predict blastocyst formation ( 34 ). When embryologists were asked to choose two embryos with optimal potential using traditional criteria, results indicated that in 39% of cycles neither pick resulted in blastocyst growth, in 38% of cycles one pick resulted in growth and subsequent transfer, and in just 23% of cycles both picks were transferred ( 34 ). These results mirrored those of another study where an equally low probability of predicting embryo outcomes on day 3 was observed at day 5 ( 35 ). Finally, it is well recognized that even embryos judged to be of poor quality can result in viable pregnancies ( 32 ). Thus, the traditional scoring system seriously underestimates embryo potential in that even ‘arrested embryos’ nearly always activate genomic transcription and are therefore not arrested in internal programs; in addition, the ability to grow to blastocyst stage and beyond is not accurately predicted. Consequently, the true nature of embryo loss remains elusive and we cannot consider lack of global genome activation to be a common cause of the vast embryo loss observed. Instead, in the vast majority of embryos, genome activation occurs on schedule, by day 3, regardless of quality assessment or cell number. Thus, in that 70% or so of cases not linked to chromosomal abnormalities, it may be misregulation of individual genes (such as those identified here) that is linked to the loss of cultured embryos. This hypothesis deserves careful consideration in light of the well-documented need to develop improved systems to assess embryo quality.
MATERIALS AND METHODS
Oocyte and embryo collection
Informed consent for collection of oocytes and embryos was obtained from patients presenting to the UCSF Center for Reproductive Health; the protocol was approved by the UCSF Committee on Human Research. Immature, primary oocytes and poor quality embryos were frozen individually and stored at −80°C. The oocytes were all from women 30 years of age and less without ‘oocyte’ causes for their infertility (i.e. tubal disease, male factor or donor oocytes). Normal embryos were donated by couples who completed childbearing and wished their remaining frozen embryos to be donated to this research. Day 1 embryos were all at the pronuclei stage; day 2 embryos were all three or four cells with <10% fragmentation and day 3 embryos were all seven or eight cells with <25% fragmentation. Complete baseline information on all of the oocytes and embryos used in these studies is presented in the Supplementary Material. Due to restrictions on the use of federal funds for embryo research, initial processing of embryos was performed in non-federal facilities by private personnel.
Microarrays and data analysis
Microarray data is in compliance (see Supplementary Material) with the Minimal Information About a Microarray Experiment (MIAME) format ( 47 ). Printing and post-processing of cDNA microarrays was performed as described ( 48 ), using sequence-verified clones from Research Genetics. A small number of clones in this set are misidentified ( 49 ), as confirmed by our independent sequence analysis.
RNA was isolated and amplified from individual human oocytes and embryos using PicoPure TM and RiboAmp ® HS kits according to manufacturer's instructions (Arcturus Bioscience). The RiboAmp ® HS kit incorporates a T7 polymerase promoter into a double-stranded cDNA, from which antisense RNA (aRNA) is transcribed. Two rounds are performed yielding greater than 10 6 -fold amplification. In our experience, we have not exhausted the reaction components in doing these studies. Probe preparation and hybridization were as described ( 48 ). The probes were derived from 2.5 µg of aRNA. Arrays compared an experimental sample derived from an individual oocyte or embryo, labeled with cyanine 5, to a sample derived from an individual primary oocyte, labeled with cyanine 3.
Microarray data was acquired and analyzed using the GenePix 4000B confocal laser scanner and software (Axon Instruments). Data spots with a regression ratio ≥0.75 were linearly normalized using NOMAD ( 50 ). Median net fluorescence intensity ratios were used to assess relative expression, adjusting intensities ≤2.5th percentile to the 2.5th percentile to avoid values that cannot be log transformed. Normalized ratios of control arrays and experimental arrays were compared using Significance Analysis of Microarrays (SAM) ( 24 ). Inclusion of control arrays in the analysis abrogated the need to swap dye layers (usually performed to avoid labeling bias). Data was also subjected to supervised hierarchical cluster analysis ( 25 ).
RT–PCR
Intron-spanning primer and probe sequences are described in the Supplementary Material. RNA purified using PicoPure TM (Arcturus Bioscience, Mountain View, CA) was reverse transcribed using SuperScript II (Invitrogen, Carlsbad, CA) following oligo dT priming, and 1/20th of this reaction was used for quantitative PCR using TaqMan ® Universal PCR Master Mix per manufacturer's recommended conditions (Applied Biosystems, Foster City, CA) in an iCycler (BioRAD, Hercules, CA). CT values were obtained using iCycler iQ software; samples that failed to amplify were assigned a CT value (number of cycles necessary to reach threshold amplification) of 50 to allow statistical analysis and graphical representation of the results.
SUPPLEMENTARY MATERIAL
Supplementary Material is available at HMG Online.
ACKNOWLEDGEMENTS
The authors thank the members of the Reijo Laboratory for helpful comments and discussions and members of the Center for Reproductive Sciences for their support. This work was supported by grants from the REAC and Academic Senate Committees (UCSF), the Berlex Foundation and an award from the American Society for Reproductive Medicine and Ortho-McNeil Pharmaceutical to A.T.D. and the Sandler Foundation and Searle Scholar Program to R.R.P.
Figure 1. Morphological features of human development at the oocyte to embryo transition. ( A ) Primary oocyte (PO) with an intact germinal vesicle (arrow); ( B ) secondary oocyte in metaphase I (SO1) distinguished by the absence of the germinal vesicle; ( C ) fertilization-competent secondary oocyte in metaphase II (SO2) with an extruded first polar body (arrow); ( D ) one-cell embryo on day 1 (D1) as evidenced by the appearance of two pronuclei (arrows), containing a haploid male or female set of chromosomes; ( E ) embryo containing four cells on day 2 (D2); and ( F ) eight-cell embryo on day 3 (D3).
Figure 1. Morphological features of human development at the oocyte to embryo transition. ( A ) Primary oocyte (PO) with an intact germinal vesicle (arrow); ( B ) secondary oocyte in metaphase I (SO1) distinguished by the absence of the germinal vesicle; ( C ) fertilization-competent secondary oocyte in metaphase II (SO2) with an extruded first polar body (arrow); ( D ) one-cell embryo on day 1 (D1) as evidenced by the appearance of two pronuclei (arrows), containing a haploid male or female set of chromosomes; ( E ) embryo containing four cells on day 2 (D2); and ( F ) eight-cell embryo on day 3 (D3).
Figure 2. Verification of reproducibility of amplification of small RNA samples. Two testis RNA samples (T1 and T2) and two brain RNA samples (B1 and B2), either unamplified (U) or independently amplified (A) from 500 pg total RNA, were labeled and individually hybridized (10 µg each) to microarrays comprised of ∼5000 genes. The Pearson correlations of the log base(2) transformed ratio of the median intensities ( x - and y -axes) for each useable spot on the microarray were determined. ( A ) Shows comparison of the two amplified (AT1/AB1 versus AT2/AB2) sample ratios and ( D ) shows comparison of the two unamplified (UT1/UB1 versus UT2/UB2) sample ratios; correlation coefficients ( r ) are very high. ( B , C , E and F ) Show all pair-wise comparisons of amplified versus unamplified sample ratios and demonstrate high, albeit somewhat reduced, correlation coefficients.
Figure 2. Verification of reproducibility of amplification of small RNA samples. Two testis RNA samples (T1 and T2) and two brain RNA samples (B1 and B2), either unamplified (U) or independently amplified (A) from 500 pg total RNA, were labeled and individually hybridized (10 µg each) to microarrays comprised of ∼5000 genes. The Pearson correlations of the log base(2) transformed ratio of the median intensities ( x - and y -axes) for each useable spot on the microarray were determined. ( A ) Shows comparison of the two amplified (AT1/AB1 versus AT2/AB2) sample ratios and ( D ) shows comparison of the two unamplified (UT1/UB1 versus UT2/UB2) sample ratios; correlation coefficients ( r ) are very high. ( B , C , E and F ) Show all pair-wise comparisons of amplified versus unamplified sample ratios and demonstrate high, albeit somewhat reduced, correlation coefficients.
Figure 3. Determination of mRNA content of human oocytes and embryos. In ( A ) linearity of amplification yields versus starting material was demonstrated by amplification of RNA from different numbers of embryos ( N =1, 2 and 3 as shown on the x -axis). The embryos all contained six cells, except one of the embryos in the group of two contained seven cells. Negative control (neg) contained carrier DNA only and the positive control (pos) contained 2.5 ng of total RNA. In ( B ) on the y -axis, the average yield of aRNA (left) or mRNA content (right) was plotted as a function of stage of development listed on the x -axis. There were significant differences among the groups by ANOVA testing, and between the marked (*) groups by multiple comparison t -tests using the Bonferroni correction. RNA was amplified from primary oocytes (PO), secondary oocytes metaphase II (SO2), and embryos on day 1 (D1), day 2 (D2), and day 3 (D3) of development. The sample marked with an ‘x’ was a significant outlier as described in the text.
Figure 3. Determination of mRNA content of human oocytes and embryos. In ( A ) linearity of amplification yields versus starting material was demonstrated by amplification of RNA from different numbers of embryos ( N =1, 2 and 3 as shown on the x -axis). The embryos all contained six cells, except one of the embryos in the group of two contained seven cells. Negative control (neg) contained carrier DNA only and the positive control (pos) contained 2.5 ng of total RNA. In ( B ) on the y -axis, the average yield of aRNA (left) or mRNA content (right) was plotted as a function of stage of development listed on the x -axis. There were significant differences among the groups by ANOVA testing, and between the marked (*) groups by multiple comparison t -tests using the Bonferroni correction. RNA was amplified from primary oocytes (PO), secondary oocytes metaphase II (SO2), and embryos on day 1 (D1), day 2 (D2), and day 3 (D3) of development. The sample marked with an ‘x’ was a significant outlier as described in the text.
Figure 4. Examination of Pearson correlation ( r ) for each microarray (20 000 targets) comparing a primary oocyte versus the experimental group as shown. Correlations were determined using log base(2) median net fluorescence intensities of the raw, untransformed data from every useable microarray spot. ( A ) As development progressed through day 3, the unexplained variance (1− r2 ) increased; this was significant among the groups using the Kruskal–Wallis test, and between the marked (*) groups using the Mann–Whitney rank sum test. Error bars represent±standard error of the mean. ( B – G ) Shown are plots of the intensities for cyanine-3-labeled control primary oocytes ( y -axis) versus those for cyanine-5-labeled experimental oocytes or embryos ( x -axis). In (B) the control microarray compared identical samples and demonstrated a very high correlation coefficient. In (C, D, E, F and G) the remaining scatter plots are representative of the microarray demonstrating a median correlation coefficient for each experimental group. (B) Compares two different primary oocytes. (C) Compares an immature, primary oocyte ( y -axis) with a mature secondary oocyte in metaphase II ( x -axis). It is notable that there is decrease in specific transcripts from secondary oocytes, causing the plot to bulge above the trend line. The bottom three panels compare a primary oocyte ( y -axis) with a day 1 (D), day 2 (E), or day 3 embryo (F) along the x -axis. Correlation coefficients decreased as development progressed, with an obvious increase in genes appearing below the trend line (i.e. being upregulated).
Figure 4. Examination of Pearson correlation ( r ) for each microarray (20 000 targets) comparing a primary oocyte versus the experimental group as shown. Correlations were determined using log base(2) median net fluorescence intensities of the raw, untransformed data from every useable microarray spot. ( A ) As development progressed through day 3, the unexplained variance (1− r2 ) increased; this was significant among the groups using the Kruskal–Wallis test, and between the marked (*) groups using the Mann–Whitney rank sum test. Error bars represent±standard error of the mean. ( B – G ) Shown are plots of the intensities for cyanine-3-labeled control primary oocytes ( y -axis) versus those for cyanine-5-labeled experimental oocytes or embryos ( x -axis). In (B) the control microarray compared identical samples and demonstrated a very high correlation coefficient. In (C, D, E, F and G) the remaining scatter plots are representative of the microarray demonstrating a median correlation coefficient for each experimental group. (B) Compares two different primary oocytes. (C) Compares an immature, primary oocyte ( y -axis) with a mature secondary oocyte in metaphase II ( x -axis). It is notable that there is decrease in specific transcripts from secondary oocytes, causing the plot to bulge above the trend line. The bottom three panels compare a primary oocyte ( y -axis) with a day 1 (D), day 2 (E), or day 3 embryo (F) along the x -axis. Correlation coefficients decreased as development progressed, with an obvious increase in genes appearing below the trend line (i.e. being upregulated).
Figure 5. Cluster analysis of microarray samples and genes based upon their expression pattern. ( A ) The dendrogram was created by hierarchical clustering of the transcriptional profiles from the 22 samples representing the first 3 days of preimplantation development. Each sample was labeled by the type and identifying number of the microarray experiment initiated (see Supplementary Material for complete descriptions). The two oocytes that clustered differently than expected are bolded. ( B ) Cluster analysis of transcript profiles during preimplantation development. Columns represent separate microarray experiments, each comparing an individual primary oocyte with an individual oocyte or embryo (listed at the top). Each of the 1896 rows is a separate target (gene/EST) on the microarray that demonstrated at least a 4-fold change in expression and a false discovery rate of <1.0 percent using Significance Analysis of Microarrays. Normalized median intensity ratios are portrayed by color as shown in the key; red denotes gene activation and green denotes gene downregulation. Primary oocyte (PO), secondary oocyte metaphase II (SO2), day 1 (D1), day 2 (D2), and day 3 (D3) embryos; 5, 2, 7, 3, 5 are the number of arrays per group. The expression of each of the genes listed on the right border was verified in independent quantitative RT–PCR reactions.
Figure 5. Cluster analysis of microarray samples and genes based upon their expression pattern. ( A ) The dendrogram was created by hierarchical clustering of the transcriptional profiles from the 22 samples representing the first 3 days of preimplantation development. Each sample was labeled by the type and identifying number of the microarray experiment initiated (see Supplementary Material for complete descriptions). The two oocytes that clustered differently than expected are bolded. ( B ) Cluster analysis of transcript profiles during preimplantation development. Columns represent separate microarray experiments, each comparing an individual primary oocyte with an individual oocyte or embryo (listed at the top). Each of the 1896 rows is a separate target (gene/EST) on the microarray that demonstrated at least a 4-fold change in expression and a false discovery rate of <1.0 percent using Significance Analysis of Microarrays. Normalized median intensity ratios are portrayed by color as shown in the key; red denotes gene activation and green denotes gene downregulation. Primary oocyte (PO), secondary oocyte metaphase II (SO2), day 1 (D1), day 2 (D2), and day 3 (D3) embryos; 5, 2, 7, 3, 5 are the number of arrays per group. The expression of each of the genes listed on the right border was verified in independent quantitative RT–PCR reactions.
Figure 6. Quantitative RT–PCR verification of the microarray results. A comparison of the microarray results (narrow bars) with the quantitative RT–PCR results (wide bars) is shown for each of the genes listed. All RT–PCR results are normalized to GAPDH and shown as the difference in the average number of PCR cycles in D3 embryos compared to primary oocytes (left axis). The results are an average of four individual D3 embryos and four primary oocytes, analyzed in duplicate. Error bars represent standard error of the mean for the RT–PCR. Normalized microarray results relative to expression in primary oocytes, averaged across all five day 3 embryo determinations are plotted using the same scale (right axis). Using the Student's t -test, all genes demonstrated significant ( P <0.05) changes in expression by RT–PCR and microarray analysis.
Figure 6. Quantitative RT–PCR verification of the microarray results. A comparison of the microarray results (narrow bars) with the quantitative RT–PCR results (wide bars) is shown for each of the genes listed. All RT–PCR results are normalized to GAPDH and shown as the difference in the average number of PCR cycles in D3 embryos compared to primary oocytes (left axis). The results are an average of four individual D3 embryos and four primary oocytes, analyzed in duplicate. Error bars represent standard error of the mean for the RT–PCR. Normalized microarray results relative to expression in primary oocytes, averaged across all five day 3 embryo determinations are plotted using the same scale (right axis). Using the Student's t -test, all genes demonstrated significant ( P <0.05) changes in expression by RT–PCR and microarray analysis.
Figure 7. Quantitative RT–PCR analyses of normal and abnormal human oocytes and embryos. The microarray results were further validated and gene expression was demonstrated for normal and growth-arrested abnormal embryos. In the left, ‘normal’ panels, the average number of PCR cycles in oocytes and normally developing embryos relative to GAPDH is shown for CCNA1 , H2AFZ , COBL , PDCD5 and H3F3B (thick lines). For comparison, the pattern of expression as determined by the microarray is presented, relative to that found in the primary oocyte (thin line). In the right, ‘arrested D3’ panels, a similar analysis was performed in abnormal, growth-arrested embryos collected on day 3 of development. Both analyses were performed using four samples per group and at least two measurements per sample. Significant changes in expression by RT–PCR relative to the primary oocyte are marked (‘*’ Student's t -test or ‘+’ Student–Newman–Keuls, which is less conservative). Shown along the y -axis are average number of PCR cycles relative to GAPDH at each stage of development; primary oocyte (PO), secondary oocyte meiosis I (SO1), secondary oocyte meiosis II (SO2), day 1 embryo (D1), day 2 embryo (D2), day 3 embryo (D3), and day 3 embryos arrested at the one-cell (1c), two-cell (2c), three-cell (3c) and four-cell (4c) stages.
Figure 7. Quantitative RT–PCR analyses of normal and abnormal human oocytes and embryos. The microarray results were further validated and gene expression was demonstrated for normal and growth-arrested abnormal embryos. In the left, ‘normal’ panels, the average number of PCR cycles in oocytes and normally developing embryos relative to GAPDH is shown for CCNA1 , H2AFZ , COBL , PDCD5 and H3F3B (thick lines). For comparison, the pattern of expression as determined by the microarray is presented, relative to that found in the primary oocyte (thin line). In the right, ‘arrested D3’ panels, a similar analysis was performed in abnormal, growth-arrested embryos collected on day 3 of development. Both analyses were performed using four samples per group and at least two measurements per sample. Significant changes in expression by RT–PCR relative to the primary oocyte are marked (‘*’ Student's t -test or ‘+’ Student–Newman–Keuls, which is less conservative). Shown along the y -axis are average number of PCR cycles relative to GAPDH at each stage of development; primary oocyte (PO), secondary oocyte meiosis I (SO1), secondary oocyte meiosis II (SO2), day 1 embryo (D1), day 2 embryo (D2), day 3 embryo (D3), and day 3 embryos arrested at the one-cell (1c), two-cell (2c), three-cell (3c) and four-cell (4c) stages.
Figure 8. Distribution of day 3 human embryos arrested in development at the various cell stages. Embryos from patients undergoing in vitro fertilization were cultured at the University of California San Francisco Center for Reproductive Health ( n =5288) between January 2001 and July 2003 and were scored according to the number of cells present on day 3 of development.
Figure 8. Distribution of day 3 human embryos arrested in development at the various cell stages. Embryos from patients undergoing in vitro fertilization were cultured at the University of California San Francisco Center for Reproductive Health ( n =5288) between January 2001 and July 2003 and were scored according to the number of cells present on day 3 of development.









