- Split View
-
Views
-
CiteCitation
Lale Hirte, Ellen Nolte, Chris Bain, Martin McKee; Breast cancer mortality in Russia and Ukraine 1963–2002: an age-period-cohort analysis, International Journal of Epidemiology, Volume 36, Issue 4, 1 August 2007, Pages 900–906, https://doi.org/10.1093/ije/dym066
Download citation file:
© 2018 Oxford University Press
Close -
Share
Abstract
Objective To determine the reasons for the steady increase in breast cancer mortality in Russia and Ukraine.
Methods Age-period-cohort analysis, supplemented by analysis of historical fertility trends.
Results Mortality from breast cancer has risen steadily in both countries over the past 40 years, although faster in Russia than in Ukraine. There are strong birth cohort effects, which are consistent with known changes in fertility. Death rates were highest among those born in the first half of the 20th century, declining among those born after the 1950s. There has been a decline in mortality among younger women since the mid 1990s, which may reflect improvements in treatment.
Conclusion The increase in breast cancer mortality in Russia and Ukraine can largely be explained by known changes in fertility, while recent changes may reflect changes in treatment. Observed trends suggest that death rates from female breast cancer in the two countries are likely to stabilize or even decline in the future.
Introduction
In a region with little good news, policy-makers might be forgiven for being complacent about cancer in the countries of the former Soviet Union. Overall cancer mortality is lower than the western European average (except in Russia where it is only very slightly higher) and, unlike other major causes of death, in particular cardiovascular disease and injuries, rates have been falling since the early 1990s. However, the overall picture conceals different trajectories for individual cancers. Thus, while deaths from lung and stomach cancer have been declining, deaths from female breast cancer have been increasing steadily,1,,2 at a time when they have been declining, in some cases rapidly, in several western countries.2 In 2002, breast cancer was the leading cause of cancer mortality among women in Russia and Ukraine, accounting for 21 871 and 7954 deaths, respectively.1
The reasons for the steady increase in breast cancer mortality in the two countries are poorly understood. One study that was concerned with the overall cancer mortality in Russia and Ukraine assessed the potential roles of changes in data registration, competing mortality from other causes, cohort effects and changes in health care in explaining observed trends.3 It confirmed the rise in breast cancer mortality, suggesting that cohort effects may contribute, but did not explore the phenomenon further.
In this article, we examine in detail the rise in breast cancer mortality in Russia and Ukraine by means of an age-period-cohort (APC) analysis and seek to interpret them by reference to changes in risk factors, thus providing insights that will be useful when anticipating future trends in these countries.
Materials and methods
We obtained mortality and population data by age, sex and for mortality, the cause of death, using the reconstructed data set for the Russian Federation and Ukraine by the Institut National d’Études Démographique (INED) for the period 1963 (Ukraine: 1965) to 2002.4,,5 We extracted number of female breast cancer deaths (ICD-9 174) and corresponding population numbers for ages 30–84 (30–34, 35–39, … , 80–84) and calculated age-standardized death rates from female breast cancer using the European standard population.6 To assess change over time we computed the estimated annual percentage change (EAPC) by fitting a regression line to the natural logarithm of the standardized rates using calendar year as a regressor variable.
For the APC analysis, we tabulated deaths and population numbers by 5-year age groups and averaged for each 5-year period, beginning from 1963–67 (Ukraine: 1965–67), 1968–72, …, 1998–2002, with the mid-year representing the period (e.g. 1980 for 1978–82). The rates were tabulated in A (age) by P (period) from which diagonals the birth cohorts k were derived as k = A + P − 1. There were 11 age groups, 8 calendar periods and 18 birth cohorts. As the age and calendar periods were represented by 5-year intervals, adjacent cohorts overlapped. The cohorts were indexed by the middle year of birth, so that 1935 represented the 1933–37 cohort.
The effects of each parameter (age, period, cohort) were estimated as relative risk (RR), using age 30, the 1965 period and the 1885 birth cohort as the respective reference values. The RRs for each parameter were adjusted for the respective other two parameters as derived from the ‘best’ fitted model.
In an attempt to explain observed mortality patterns, we also obtained data on total fertility for both countries from the WHO database, covering the period 1950–2003.9 We complemented this with data on fertility in successive birth cohorts in Russia and Ukraine available from demographic publications.10–15 These data were analysed by means of visual inspection of observed trends.
Statistical analyses were conducted using Stata, version 8.1.
Results
Figure 1 illustrates how breast cancer mortality at ages 30–84 years increased steadily in Russia and Ukraine since the early 1960s.
Age-standardized death rate for breast cancer in Russia and Ukraine, 1963–2002
Age-standardized death rate for breast cancer in Russia and Ukraine, 1963–2002
In Russia, age-standardized death rates rose from 11.5 per 100 000 in 1963 to 39.8 in 2002, an annual increase of 3.1% [CI 2.9–3.3]. In Ukraine, death rates were consistently higher, increasing from 17.2 per 100 000 to 43.3 between 1965 and 2002 (2.8% per year; CI 2.6–3.0%). This trend was not linear with a temporary mortality increase in Ukraine in 1983–84 and deceleration in the rate of increase in both countries from the mid 1990s. This deceleration was largely due to a substantial decline in breast cancer mortality among women aged 30–44 between 1995 and 2002 in both countries. Thus, in Russia, between 1993–97 and 1998–02 the death rate among women aged 30–34 and 35–39 declined by 12%; among Ukrainian women, the decline was greater, at 22.4% and 14.5%, respectively. In contrast, mortality among women aged 50 and over continued to rise in both countries.
The findings of the APC analysis are shown in Table 1.
Summary statistics of age-period-cohort modelling of breast cancer mortality in Russia and Ukraine, 1963–2002
| Russia | Ukraine | |||||||
|---|---|---|---|---|---|---|---|---|
| Model | Comparison with model | Deviance | Df* | P** | Deviance | Df* | P** | |
| 1 | Age | 12379.04 | 77 | 4023.76 | 77 | |||
| 2 | Age-drift | 1 | 2252.90 | 76 | 0.000 | 337.65 | 76 | 0.000 |
| 3 | Age-period | 2 | 1770.70 | 70 | 0.000 | 269.32 | 70 | 0.000 |
| 4 | Age-cohort | 2 | 963.52 | 60 | 0.000 | 61.61 | 60 | 0.000 |
| 5 | Age-period cohort | 4 | 684.22 | 54 | 0.000 | 36.21 | 54 | 0.000 |
| Russia | Ukraine | |||||||
|---|---|---|---|---|---|---|---|---|
| Model | Comparison with model | Deviance | Df* | P** | Deviance | Df* | P** | |
| 1 | Age | 12379.04 | 77 | 4023.76 | 77 | |||
| 2 | Age-drift | 1 | 2252.90 | 76 | 0.000 | 337.65 | 76 | 0.000 |
| 3 | Age-period | 2 | 1770.70 | 70 | 0.000 | 269.32 | 70 | 0.000 |
| 4 | Age-cohort | 2 | 963.52 | 60 | 0.000 | 61.61 | 60 | 0.000 |
| 5 | Age-period cohort | 4 | 684.22 | 54 | 0.000 | 36.21 | 54 | 0.000 |
*Degrees of freedom.
**P-value for LR test.
Summary statistics of age-period-cohort modelling of breast cancer mortality in Russia and Ukraine, 1963–2002
| Russia | Ukraine | |||||||
|---|---|---|---|---|---|---|---|---|
| Model | Comparison with model | Deviance | Df* | P** | Deviance | Df* | P** | |
| 1 | Age | 12379.04 | 77 | 4023.76 | 77 | |||
| 2 | Age-drift | 1 | 2252.90 | 76 | 0.000 | 337.65 | 76 | 0.000 |
| 3 | Age-period | 2 | 1770.70 | 70 | 0.000 | 269.32 | 70 | 0.000 |
| 4 | Age-cohort | 2 | 963.52 | 60 | 0.000 | 61.61 | 60 | 0.000 |
| 5 | Age-period cohort | 4 | 684.22 | 54 | 0.000 | 36.21 | 54 | 0.000 |
| Russia | Ukraine | |||||||
|---|---|---|---|---|---|---|---|---|
| Model | Comparison with model | Deviance | Df* | P** | Deviance | Df* | P** | |
| 1 | Age | 12379.04 | 77 | 4023.76 | 77 | |||
| 2 | Age-drift | 1 | 2252.90 | 76 | 0.000 | 337.65 | 76 | 0.000 |
| 3 | Age-period | 2 | 1770.70 | 70 | 0.000 | 269.32 | 70 | 0.000 |
| 4 | Age-cohort | 2 | 963.52 | 60 | 0.000 | 61.61 | 60 | 0.000 |
| 5 | Age-period cohort | 4 | 684.22 | 54 | 0.000 | 36.21 | 54 | 0.000 |
*Degrees of freedom.
**P-value for LR test.
In both countries, the reduction in deviance was greatest when all factors were included in the model. For Russia, the model with all factors included only achieved adequate goodness of fit when allowance was made for over-dispersion. The following paragraphs examine each element in turn.
Figure 2 shows the age effect, with an expected increase in mortality observed in both countries.
Relative effect of age on breast cancer mortality, reference: age 30–34 years
Relative effect of age on breast cancer mortality, reference: age 30–34 years
The effects of period (Figure 3) appeared to be stronger in Russia where by the year 2000 breast cancer mortality had risen to about 130% of the level that it had been in 1965. In Ukraine, a steady increase in breast cancer mortality discontinued in 1995, thereafter stabilizing at 40% above the 1965 level.
Relative effect of period on breast cancer mortality, reference: period 1963–67
Relative effect of period on breast cancer mortality, reference: period 1963–67
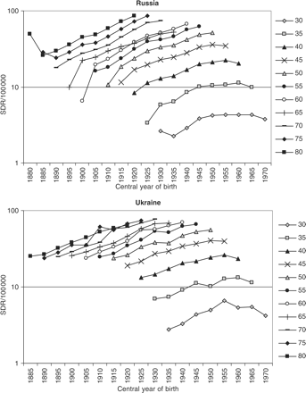
The effect of birth cohort is shown in Figures 4 and 5. The very similar curves indicate strong cohort effects in both countries. Risk of dying from breast cancer was relatively low in women born in the 19th century, increasing with each successive cohort until 1925, decreasing in those born in 1930–35, after which, in both countries, mortality increased again, from the 1940 cohort in Ukraine and 1945 cohort in Russia. In Ukraine, the mortality risk in the 1945 cohort was slightly lower than that of neighbouring cohorts. The peak in mortality risk was in the 1945 cohort in 1945 in Russia and the 1950 cohort in Ukraine, thereafter decreasing with successive cohorts. As noted earlier, in both countries, but especially in Ukraine, there is a clear reversal in the previously upward trend in mortality in the last period among younger women, corresponding to deaths occurring after 1995. It should, however, be remembered that data on cohorts at either end of the period studied are incomplete and mortality in the latest cohorts may be expected to increase with aging.
Relative effect of birth cohort on breast cancer mortality, reference: 1885 cohort
Relative effect of birth cohort on breast cancer mortality, reference: 1885 cohort
Figure 6 shows trends in total fertility and breast cancer mortality rates in Russia and Ukraine; Figure 7 displays fertility patterns in successive cohorts against the RR of breast cancer mortality in Russian women. Both show that, while the association is imperfect, perhaps reflecting the impact of other factors, fertility trends generally tend to mirror those of breast cancer mortality.
Total fertility rates and age-standardized death rate from female breast cancer in Russia and Ukraine, 1950–2003 (source: 9)
Total fertility rates and age-standardized death rate from female breast cancer in Russia and Ukraine, 1950–2003 (source: 9)
Fertility trends and relative risk of breast cancer death by birth cohort, Russia [Sources: 14 (Total fertility rate; data for 1960–70 cohorts incomplete) and 11 (Completed fertility)]
Fertility trends and relative risk of breast cancer death by birth cohort, Russia [Sources: 14 (Total fertility rate; data for 1960–70 cohorts incomplete) and 11 (Completed fertility)]
Discussion
The present analysis seeks to understand the reasons for the increase in breast cancer mortality in Russia and the Ukraine over the last 40 years using an APC model. We find a steady increase in breast cancer mortality until the mid-1990s, followed by some decline thereafter, especially at younger ages. Taken together, the results suggest that observed trends can largely be explained by a combination of period and cohort effects, considering aging as a derivative of either period or birth cohort. The period effect appeared to be stronger in Russia than in Ukraine.
We recognize that this study has several limitations, related to the chosen APC model and the quality and nature of the underlying data.
The data from the INED are the most carefully validated source used in research on mortality in this region.3,,16 However, changes in cancer registration and coding could have influenced the observed trends. Thus, a period effect as shown here inevitably raises questions about changes in death certification.17 Earlier research noted how overall cancer mortality declined among older people in rural areas of Russia and Ukraine during the 1990s, suggesting under-reporting of some cancers.3,,18 The most likely explanation was a reduction in the intensity of investigation of people with unexplained symptoms. In contrast, terminal breast cancer will normally be a relatively straightforward diagnosis. In addition, there is no evidence of a reduction in diagnosis of breast cancer among older women, who, in both countries, experienced a steady increase throughout the entire period. We can, therefore, be reasonably confident about the quality of mortality data.
The identifiability problem, whereby the effects of age, period and cohort cannot be separated with absolute certainty, is well recognized but is not generally seen as a fatal weakness of this approach.
Our consideration of cohort effects was limited by lack of data on reproductive factors in Ukraine. However, other analyses of what data are available have shown that the European republics of the former USSR display a striking similarity in fertility trends.12,,13 Thus, while the discussion of fertility trends in this article is mainly based on Russian data, this was considered justifiable given the historical evidence that fertility in Ukraine has been very similar to that of Russia.14
In the present analysis, breast cancer mortality in Russia and Ukraine increased progressively until the cohort born in the 1950s. Within these cohorts, the steepest increase was seen among those born between 1905 and 1925, thereafter tending to stabilize somewhat among women born in the 1930s but rising subsequently to peak in cohorts born in 1940–55. In subsequent cohorts, mortality seems to be declining.
To interpret these findings it is important to assess critically what is known about historic trends in fertility. At the beginning of the 20th century, both countries had high fertility rates (at about seven births per woman), attributed to early age at marriage, high marriage rates and limited family-planning methods.10,,12,13 Birth rates declined slowly prior to World War I and the Civil War, but stabilized subsequently and then returned to pre-war levels.14 Thus, according to official statistics in the 1920s, fertility in the USSR was again quite high,15,,19 with for example Ukraine in 1925–26 reporting the highest fertility level ever recorded during its existence as a Soviet republic (5.4 children per woman).15 In the late 1920s, industrialization and famine resulted in an unprecedented drop in fertility (to 3.9 children per woman in Ukraine in 1938–3915 and 3.4 in Russia in 193414) which continued throughout World War II and the post-war famine years.10,,12,13 The average number of children in the ‘war’ generations of 1921–25 was 2.3 in Russian and 1.9 in Ukrainian women, the differences explained by the fact that the entire territory of the Ukraine was occupied.14 At the same time, average age at first birth fell from 24.3 in the 1890–94 cohort to 23.4 in the 1900–04 cohort, subsequently increasing to 24.8 in the 1930–34 generation.14
Given the persisting effects of the socio-economic devastation arising from the effects of the war, as well as the post-war excess of adult women, Russia and Ukraine were in no condition to support the ‘baby-boom’ that was seen in the West.14 In the cohorts born in 1946–50, the average number of children fell precipitously (to 1.8 in Russia and 1.9 in Ukraine14), as during the 1960s childbearing was delayed by families in the midst of massive relocation to urban areas, coupled with increased involvement of women in industry.13,,14
In the 1980s, however, fertility increased slightly and a two-child family had become a model.14,,20 This short surge in fertility seen in the 1980s in Russia and Ukraine, as in the rest of Eastern Europe, was manifested in earlier and more frequent childbirths rather than in an increase in total fertility rates14,,15 and was followed by a sustained decline in the 1990s.13,,20 Fertility data in relation to the most recent cohorts is so far incomplete as they have yet to complete their families, but preliminary findings indicate that the average number of children per woman is likely to remain low at 1.5–1.6.14 In addition, and of relevance to the present topic, since about the mid-1950s there has been a trend towards younger motherhood in both Russia and Ukraine13,,20 lasting until about the mid-1990s, when fertility peaked at age 20–24 compared with 25–29 in western Europe 13 In the early 1990s, the proportion of those giving birth to the first child under the age of 20 was 14–18% compared with only 5–6% in the 1960s.14 More recently, however, women in the most recent cohorts appear to delay the birth of their first child until the age of 30 years or later.14
Against this background, it seems likely that the changes in fertility patterns that occurred between 1920s and 1940s were reflected in increases in breast cancer mortality among the female cohorts affected. The peak risk of dying from breast cancer was experienced by cohorts born in 1940–55 who had the lowest number of children per woman10 and among whom childbearing was often late. The somewhat more supportive conditions for fertility among post-war generations (with a relative increase in total fertility rates and younger motherhood) might be reflected in the decreased risk of breast cancer mortality seen in those generations. However, fertility did not exceed two children per woman and, as noted earlier, even declined for most recent cohorts. Thus, as they age, breast cancer is likely to increase, particularly for the youngest women given their current fertility patterns.
It is, of course, important to look beyond fertility patterns. One other factor that may explain the observed cohort effect in breast cancer mortality in Russia and Ukraine is the potential influence of nutrition related to periods of dietary restriction or famine on breast cancer risk. Thus, studies from Norway linked dietary changes in adolescence during World War II with a decrease in the risk of breast cancer.21,,22 A possible association between dietary restriction and reduction of breast cancer risk was also proposed for women living through the Great Depression in the USA, affecting those born between 1924 and 1938.23,,24 Conversely, findings from research on Dutch women exposed to the 1944–45 Hunger Winter suggest a link between famine and an increase in breast cancer risk, with those exposed at age younger than 10 years being the most vulnerable.25,,26 It is difficult to relate these findings to trends observed in Russia and Ukraine. Both countries experienced periods of famine in the early 1920s and early 1930s, with the latter affecting the Ukraine in particular. Thus, although the evidence is not clear-cut, the dip in breast cancer mortality observed for cohorts born in the early to mid-1930s may have been influenced by the famines. However, at present all that can be said is that the role of nutrition, in particular the potential impact of an increasing westernization of lifestyle on future trends merits further investigation.
It is also necessary to explain the substantial reduction in mortality seen among younger women in both countries since the mid-1990s. There are three possible explanations for this observation, a decline in incidence, an increase in survival or both.
Clearly, it would be desirable to have comprehensive and detailed data on cancer incidence. Unfortunately, the available data only date from the 1980s and for almost all of that period the only source was the aggregated returns from oncology dispensaries.27 What data are available show a seemingly steady increase in both countries.2 It is possible that this might be an artefact due to increased ascertainment of cases. Data from Russian cancer registries confirms that the percentage of breast cancers detected at stages 1 or 2 increased from 56.4% to 61.6% between 1996 and 2004,27 with similar findings reported from Ukraine.28 However, it is difficult to see how changes of this magnitude could have concealed a putative true decline in incidence.
It is also possible that there might have been a decrease in incidence among these younger women. Yet, it is difficult to envisage how this might have occurred given even the incomplete knowledge of patterns of fertility and nutrition in these cohorts over the past four decades, while it can reasonably be assumed that genetic factors, that are relatively more important in this age group, have not changed.
This leaves one plausible explanation, namely that the recent decline in breast cancer mortality at young ages could be due to greater survival, reflecting improvements in access to effective care. Available data suggest that the relative 5-year survival from breast cancer in Ukraine and Russia is around 50–54% (Ukraine: 1994–2000;29 Russia: 1996–200427), compared with a figure of about 80% in western Europe.17 Because of lack of appropriate data we were not able to compare these figures with the situation in earlier times, but if there has been an improvement in survival it would be consistent with evidence from some central and Eastern European countries that have seen declines in breast cancer mortality since the late 1990s, especially among women at younger ages.30 In those countries, the improvements have been attributed to an increased awareness of breast cancer, coupled with better access to new treatments.
However, it is also clear from other evidence that, unlike in their central European neighbours, health care systems in the former Soviet Union deteriorated following transition, with worsening outcomes of other conditions considered amenable to health care.16,,31 One possible explanation might be that there has been a differential effect of transition on health care, with some relatively high profile conditions, such as childhood leukaemia32 and breast cancer receiving support while less visible issues, such as the management of hypertension, have deteriorated for many people. Thus, in Ukraine, there have been a series of initiatives funded by international donors specifically aimed at improving awareness of breast cancer among women and enhancing quality of care33 while in Russia, some city authorities have provided funds for modern chemotherapeutic agents.31
In summary, an APC analysis made it possible to disaggregate the evolution of breast cancer mortality in Russia and Ukraine. However, definitive explanations were elusive because of the lack of reliable ancillary information. Cohort effects seem particularly strong in both countries, which appear to reflect changing fertility patterns. Available data on overall breast cancer incidence suggest a steady increase in Russia and Ukraine over the last 20 years with no indication of a decline.2 This is consistent with the very low contemporary birth rate in both countries. At the same time, there is much scope for improvements in early diagnosis and treatment of cancer34 and this may be expected to impact on mortality rates by means of stabilizing observed trends or even reducing the death rate further. Indeed, although caution is required, it is possible that this is already being seen among younger women.
Acknowledgements
L.H. was supported by a British Government studentship. E.N. is the holder of an English Department of Health Career Scientist Award. C.B. was supported in part by a Leverhulme Visiting Fellowship from the University of Bristol. However, none of the sponsors can accept responsibility for the views expressed.
The authors are grateful to France Meslé, INED for kind permission to use the reconstructed data for the Russian Federation and Ukraine, and to Mr Chris Frost, London School of Hygiene and Tropical Medicine, for his generous advice on the statistical analysis. We are also grateful to two anonymous reviewers for their very helpful comments on an earlier version of this article.
Conflict of interest: None declared.








![Fertility trends and relative risk of breast cancer death by birth cohort, Russia [Sources: 14 (Total fertility rate; data for 1960–70 cohorts incomplete) and 11 (Completed fertility)]](https://oup.silverchair-cdn.com/oup/backfile/Content_public/Journal/ije/36/4/10.1093_ije_dym066/1/m_dym066f7.gif?Expires=2147483647&Signature=ehsTgPSg6J7QTYyXMtPNTBrnfCnFrK21RQ1hDKismAIiaKX-39UlBnpg2PnyenYlXy45IkyGlBQHBfyYvy6rY1mqd85haL3ctRN-ZZkFa4jrgpVheJ13SRlxfSaljfkkagxmqP7yza-2ReNKE3bsmnqTHhmC1FiUVtKy3XWetgM0nOOSdKHE5xdPWj17ZHiVV56M-Aws1p5Op1PiBccN-fTcGoztQgMVeC9GjOcqJevsGxBltJRH4Vc-LbECA4Wtxiy~s8~R2UOjaCa7ltySO7RfhCTKYvNiT~OdJDZ7LwFn7SqTRVKekPxkHPm9H6R8RRFq597hQrKppkngCHcXjQ__&Key-Pair-Id=APKAIE5G5CRDK6RD3PGA)