- Split View
-
Views
-
CiteCitation
Daryl B. O’Connor, John Archer, Frederick C. W. Wu; Effects of Testosterone on Mood, Aggression, and Sexual Behavior in Young Men: A Double-Blind, Placebo-Controlled, Cross-Over Study, The Journal of Clinical Endocrinology & Metabolism, Volume 89, Issue 6, 1 June 2004, Pages 2837–2845, https://doi.org/10.1210/jc.2003-031354
Download citation file:
© 2018 Oxford University Press
Close -
Share
Abstract
The prospects of wider application of testosterone (T) in novel indications such as male contraception have prompted renewed interest in the investigation of nonreproductive actions and safety of androgens. This study investigated potential changes in mood and behavior in response to elevations in circulating T concentrations produced by the new long-acting preparation, T undecanoate (TU).
Twenty-eight eugonadal men were randomized into one of two treatment groups: A1) active, receiving 1000 mg TU im followed by A2) washout, followed by A3) placebo, receiving 4 ml castor oil im; B1) placebo, 4 ml castor oil im; B2) washout followed by B3) active, receiving 1000 mg TU im. Mood, self- and partner-reported physical and verbal aggression, anger, hostility, irritability, assertiveness, self-esteem, and sexual function were assessed.
A single injection of 1000 mg TU im increased plasma T concentrations from 20.7 ± 1.5 to 37.5 ± 2.2 nmol/liter at wk 1 and 31.6 ± 1.5 nmol/liter at wk 2, and estradiol from 74.0 ± 4.9 to 120.4 ± 10.7 pmol/liter at wk 1, and 100.0 ± 6.3 pmol/liter at wk 2.
The T increment was associated with detectable but minor mood changes. Increased circulating T was associated with significant increases in anger-hostility from baseline (mean score = 7.48) to wk 2 (mean score = 10.71) accompanied by an overall reduction in fatigue-inertia (treatment = 6.21 vs. placebo = 7.84). TU treatment did not increase aggressive behavior or induce any changes in nonaggressive or sexual behavior. Changes in estradiol were not associated with any behavioral alterations.
Our results suggest that exogenous TU-induced elevation of circulating T, to the range likely to be used in hormonal male contraception, has limited psychological effects. Future research should investigate the implications of these minor mood changes.
THE ASSOCIATION BETWEEN testosterone (T) and human aggression has been the focus of considerable research (1–3), but there are few empirical data on the influence of therapeutic doses of T on male aggressive behavior. The application of T to eugonadal men for male contraception (4, 5) and to men with nonclassical hypogonadism associated with HIV infection, osteoporosis, aging, renal failure, or rheumatoid arthritis has prompted renewed scientific interest in its possible physical and psychological influences. Although the effects of exogenous T on physical functions are well documented (6–8), much remains to be learned about the behavioral effects on aggression, mood, and sexual function.
The growing literature on androgenic anabolic steroid (AAS) usage suggests that some users can develop bouts of aggression known as steroid rage, mood disturbance, hypomania, irritability, and depressive episodes (9–15). However, AAS abusers typically expose themselves to extremely high doses, (e.g. between 600 and 1000 mg T per week) (9, 16) often combined with other poorly documented anabolic agents. Furthermore, the mental states of AAS abusers cannot be regarded as typical of the general male population. The data, scientific or otherwise, from AAS studies cannot therefore be extrapolated to the controlled use of T for well-defined clinical indications. In the latter situations, findings relating to therapeutic or physiological dosages of T have yielded conflicting results, which have proved difficult to interpret owing to differences in experimental manipulations and in outcome variables (e.g. Refs.17–19).
The positive effects of T on mood and sexual behavior in hypogonadal men are well established (18, 20–24). With regard to mood, several studies have found T replacement to substantially reduce negative mood states relating to fatigue, depression, and self-esteem and suggest that prolonged treatment is likely to maintain these mood benefits (18, 20, 24). However, less research has investigated the influence of exogenous T on sexual behavior in eugonadal men (19, 25–27). In a sample of young healthy men, Anderson et al. (19) found a significant increase in sexual awareness in response to 200 mg T enanthate (weekly) but no change in frequency of sexual intercourse or masturbation. Similarly, Alexander et al. (27) found that 200 mg T enanthate (weekly) was associated with no change in sexual behavior but that it enhanced sexual arousal and enjoyment and that there was an increased bias for auditory sexual stimuli. In another investigation, Bagatell et al. (25) also failed to find any effects of T on sexual behavior, although they suggested that the measures employed may not have been sufficiently sensitive to detect subtle changes.
Previous studies in eugonadal men have exclusively used frequent injections of relatively short-acting T esters such as enanthate or cypionate. These preparations induce rapid and widely fluctuating circulating T concentrations with repeated acute supraphysiological peaks. This has rendered the assessment and interpretations of any relationship between T and behavior difficult and may have contributed to the inconsistent data in the literature. T undecanoate (TU) is currently being assessed as a long-acting parenteral formulation for substitution therapy in hypogonadal men (28) and hormonal male contraception in eugonadal men. The pharmacokinetics of TU suggest that a single im dose of 1000 mg can stably maintain circulating T levels in the physiological range for 8–12 wk in hypogonadal patients (29), whereas its high efficacy in suppressing spermatogenesis has been demonstrated in healthy young male volunteers (30–32). It is likely that TU will be a key compound in future hormonal male contraceptive regimens and hypogonadal substitutional therapy. The improved pharmacokinetics of TU also lends itself to investigating the relationship between T and behavior. However, to date, no studies have examined in detail the behavioral, mood, or sexual effects of this new T preparation in eugonadal men.
The vast majority of previous studies have not employed a blinded, placebo-controlled, cross-over design. This is an important flaw given the intrinsic variability in behavioral end points between individual subjects and the difficulties in matching sufficiently large experimental groups. It has undoubtedly allowed earlier results to be confounded by random variation and/or potential treatment effects to be nullified.
In this study, we investigated the behavioral effects of a single dose of 1000 mg TU, using a double-blind, placebo-controlled, cross-over design, in healthy eugonadal men. A wide range of psychological end points, including self-reported and partner-reported aggression, responses to provoking scenarios, self-esteem, assertiveness, irritability, moods, and sexual behavior, were assessed.
Subjects and Methods
Subjects
Twenty-eight healthy male volunteers (mean age 32.29 yr; range 22–44 yr) participated in the study. They were recruited from local radio and newspaper advertisements. Volunteers were excluded if they had diabetes, hypertension, or hypogonadism; abused alcohol or drugs; had a psychiatric history; were depressed; were taking medication (including steroids); or failed any of the routine screening blood tests (e.g. had T or gonadotrophins levels outside the normal range). There were four discontinuations from the study: one participant withdrew citing the pain and discomfort associated with the im injection; two withdrew after the first treatment period for personal reasons unrelated to the study (job relocation); the other could not complete the study due to work commitments. When available, partners of participants (n = 18) were also recruited to the study to provide important peer-reported data given the over reliance on self-report data and the dearth of studies that have incorporated observations from a partner or significant other (17, 18).
Study design
Volunteers who met the admission criteria (after medical screening) were randomly assigned to receive one im injection of 1000 mg TU, dissolved in 4 ml castor oil (supplied by Jenapharm, Jena, Germany) or a placebo (4 ml castor oil only) under double-blind, cross-over conditions at the beginning of the first 8-wk treatment phase. This was followed by an 8-wk washout, a second 8-wk treatment phase, and a 4-wk follow-up period. All participants provided written informed consent. The study was approved by the Central Manchester Research Ethics Committee for Medical Research.
Medications
TU 1000 mg dissolved in 4 ml castor oil and matching placebo (4 ml castor oil) injections were supplied by Jenapharm. Each subject received either a TU or placebo im injection at the beginning of d 1, wk 0, and the opposite preparation on d 1, wk 16.
Monitoring schedule
Each subject was assessed by a variety of validated psychometric instruments (see below) at baseline (wk 0) and at wk 4 in each treatment phase. Mood and a 7-d sexual functioning log was assessed biweekly throughout the treatment and placebo phases. A psychologist (the first author) interviewed all subjects during each visit to monitor any possible unexpected or unforeseen behavioral change.
Mood assessment
The Profile of Mood States (POMS) (33) consists of 65 adjectives that describe feelings and mood. There are six subscales: tension-anxiety; depression-dejection; anger-hostility; vigor-activity; fatigue-inertia; and confusion-bewilderment. The POMS assesses moods during the last 7 d. Respondents were asked to complete the POMS biweekly. The items for each subscale were summed to provide an overall scale score. Higher scores represent higher tension-anxiety, depression-dejection, etc.
Behavioral assessment
The Aggression Questionnaire (AQ) (34) assesses levels of aggression according to four subscales: physical aggression, verbal aggression, anger, and hostility. Subscale scores were calculated by summating the four subscales. For the purpose of this placebo-controlled cross-over study, the AQ, which is general in its referents and can be characterized as a trait measure, was modified slightly to refer to a specific time period in the recent past (i.e. the last 4 wk). This made the measure more suitable for detecting within-subject variation.
The Partner Aggression Questionnaire (AQ-P) (35) is an adapted version of the AQ in which the male participant’s partner is asked to rate their partner over the past 4 wk in relation to each of the AQ items. The AQ-P was completed by the participant’s partners in the privacy of a clinical research room separate from the partner at baseline (wk 0) and at wk 4 in each treatment phase.
The Aggressive Provocation Questionnaire (APQ) (35) is a measure of aggressive responding. Each subject was presented with 12 written vignettes of common real-life provocative situations. The subject is asked to describe how he would feel in each situation (angry, frustrated, and irritated), measured on a 5-point Likert scale, and how he would react to each situation by choosing one of five action alternatives, categorized as follows: 1) avoid; 2) no response; 3) anger; 4) assertive behavior; or 5) direct aggression. In the present study, analysis concentrated on the total number of aggressive and assertive options chosen and the sum of scores for the anger and irritation scales across the 12 vignettes (35).
The irritability subscale from the Buss Durkee Hostility Inventory (36) was adapted to be completed on a 5-point scale, and respondents were instructed to rate themselves over the last 4 wk. The items comprising the scale were summed to provide an overall scale score.
The Rathus Assertiveness Schedule (37) consists of 30 items that assess the extent to which the participant is assertive in a range of situations. Again, for the purpose of this study, the respondents were instructed to rate themselves over a specific time period (i.e. last 4 wk). The items comprising the scale were summed to provide an overall scale score.
The State Self-Esteem Scale (38) consists of 20 items that are concerned with performance and social and appearance aspects of self-esteem. Respondents were instructed to rate how they felt at that present moment. The items comprising the scale were summed to provide an overall scale score.
Sexual behavior assessment
Sexual functioning was assessed using a 7-d log and a more detailed questionnaire administered after 4 wk in each treatment/placebo phase. These measures have been adapted from existing reliable and validated sexual function measures (19, 39, 40). The log recorded the following information over the past 7 d: frequency of morning erection, masturbation, and sexual intercourse. Each participant was also asked to rate their enjoyment of sexual intercourse (1 = no enjoyment to 5 = very highly enjoyable), level of sexual desire (1 = almost never/never to 5 = almost always/always), and overall satisfaction of sexual experience (1 = extremely unsatisfactory to 5 = extremely satisfactory) in the last 7 d. Participants were asked to complete the log biweekly. Frequencies of erection and sexual activity were recorded as mean number of occurrences per week over the same time periods. The detailed questionnaire assessed sexual function over the previous 4 wk using the following 4 subscales: sexual desire (e.g. how frequently did you feel sexual desire?); intercourse satisfaction (e.g. how much have you enjoyed sexual intercourse in the past 4 wk); erectile function (e.g. did you have any trouble keeping an erection once intercourse begins); and orgasmic function (e.g. how satisfied have you been over your ability to have an orgasm?). The items comprising each subscale were summed to provide an overall subscale score. Higher scores indicate higher levels of sexual desire, intercourse satisfaction, orgasmic function satisfaction, and normal erectile function.
Blood tests
Blood sampling was performed at wk 0, 2, 4, 6, 8, and 12 during each treatment/placebo phase. Blood samples were also taken from 16 volunteers at wk 1. All plasma samples were stored at −20 C until assay.
Hormone assays
T was measured using a time-resolved fluoroimmunoassay (AutoDELFIA T kit, PerkinElmer Life and Analytical Sciences, Buckinghamshire, UK) with an assay sensitivity of 0.4 nmol/liter. Plasma gonadotropins were assayed by previously reported highly sensitive immunofluorometric assays (Delfia, Pharmacia-Wallac, Inc., Turku, Finland) with an assay sensitivity of 0.05 IU/ml for both LH and FSH. Estradiol was measured by time-resolved fluoroimmunoassay (AutoDELFIA estradiol kit) with an assay sensitivity of 50 pmol/liter. All samples were assayed for concentrations of T, estradiol, LH, and FSH in a single batch to reduce variability.
Statistical analyses
The results of this double-blind, placebo-controlled, cross-over study were analyzed following the powerful statistical procedures outlined by Su et al. (12) to take advantage of the repeated observations within each individual across conditions. For T, estradiol, and gonadotrophin (LH, FSH) levels and mood states, two-factor repeated measures ANOVA was used to detect differences across treatment period (treatment vs. placebo) within each individual over time (wk 0, 2, 4, 6, 8, and 12). Post hoc comparisons for within-subject design were used to locate means that significantly differ across factor levels. Wk 1 hormone data available for 16 volunteers were included in the analysis when appropriate. One-factor repeated-measures ANOVA was employed to investigate statistically significant differences within individuals for all behavioral measures assessed at baseline, wk 4 during treatment and wk 4 during placebo. The nonparametric Friedman test was used to analyze the aggression actions subscale of the AQ-P because these data were not normally distributed. All data were analyzed using SPSS for Windows (version 11.0, SPSS Inc., Chicago, IL).
Sample size considerations
Although our within-subject design of 24 participants is comparable with previous studies involving supraphysiological doses of T that have detected behavioral effects (e.g. Refs.12 , 15 , 19 , 27), it nevertheless involves relatively small numbers and hence raises the possibility of type 2 errors, i.e. false negatives. We addressed this issue by providing effect sizes for cases in which there were no significant differences between conditions. Effect sizes, unlike significance levels, are not influenced by sample size so that it is possible to use them to assess the possibility that there was a small- to medium-sized difference (in the 0.2 to 0.5 range), undetected by significance testing. Such effects may, of course, be due to chance in the present study but are noted here for future reference. More importantly, this procedure can identify comparisons in which the effect sizes are near zero, thus providing evidence for the absence of an effect. This is particularly important in the present study in relation to measures of aggression. In making these comparisons, we used Hedges g, which is the standardized mean difference (41), computed using DSTAT software (42).
Results
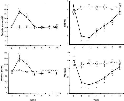
Plasma concentrations of T, estradiol, LH, and FSH levels are shown in Fig. 1.
Changes in mean ± sem plasma concentrations of T, estradiol, LH, and FSH. Closed symbols, Participants receiving 1000 mg TU im; open symbols, participants receiving 4 ml castor oil only. *, P < 0.001, compared with baseline.
Changes in mean ± sem plasma concentrations of T, estradiol, LH, and FSH. Closed symbols, Participants receiving 1000 mg TU im; open symbols, participants receiving 4 ml castor oil only. *, P < 0.001, compared with baseline.
Testosterone
T levels are shown in Fig. 1. Two-factor repeated-measures ANOVA revealed significant main effects for time [F(4,40) 14.25, P < 0.001] and the time × treatment period interaction [F(4,40) = 9.97, P < 0.001]. No significant main effect was found for treatment period [F(1,10) = 4.24, P = 0.06], although the coefficient approached significance. Post hoc analyses showed that exogenous TU significantly increased T levels from a baseline of 20.7 ± 1.5 nmol/liter (sem) to 37.5 ± 2.2 nmol/liter at wk 1 (P < 0.001) and 31.6 ± 1.5 nmol/liter at wk 2 (P < 0.001). T levels had returned to baseline by wk 4 (21.3 ± 1.2 nmol/liter) and remained within the normal range at wk 6 (19.4 ± 1.4 nmol/liter), wk 8 (20.7 ± 1.3 nmol/liter), and wk 12 (19.1 ± 1.6 nmol/liter). In contrast, T levels during the 12-wk placebo period did not change from a baseline level of 20.3 ± 1.4 nmol/liter (Fig. 1).
Estradiol
Changes in the plasma concentration of estradiol showed a similar profile to that of T (Fig. 1). Two-factor repeated-measures ANOVA showed significant main effects for time [F(5,115) = 6.87, P < 0.001] and the time × treatment period interaction [F(5,115) = 12.39, P < 0.001]. The main effect for treatment period was not significant [F(1,23) = 0.24, NS]. Estradiol increased from a baseline of 74.0 ± 4.9 pmol/liter after TU administration to peak at 120.4 ± 10.7 (P < 0.001) on wk 1 and 100.0 ± 6.3 pmol/liter at wk 2 (P < 0.001), with a subsequent decline to baseline levels by wk 4 and remained within the normal range for the rest of the study (see Fig. 1).
Gonadotropins
Plasma concentrations of LH and FSH decreased after TU administration. For LH, two-factor repeated-measures ANOVA showed significant main effects for time [F(5,115) = 17.83, P < 0.001], treatment period [F(1,23) = 62.33, P < 0.001], and the time × treatment period interaction [F(5,115) = 34.76, P < 0.001]. For FSH, significant main effects for time [F(5,115) = 26.29, P < 0.001], treatment period [F(1,23) = 29.50, P < 0.001], and the time × treatment period interaction [F(5,115) = 29.09, P < 0.001] were found. Plasma concentrations of LH and FSH both remained suppressed throughout the TU treatment period and returned to baseline levels only by wk 12 (Fig. 1). No significant changes were found from baseline during the placebo treatment phase.
POMS
Table 1 shows the POMS subscale scores during treatment and placebo phases. Two-factor repeated-measures ANOVA found no significant effects for tension-anxiety, depression-dejection, vigor-activity, or confusion-bewilderment. For anger-hostility, a significant treatment period × time interaction was found [F(5,115) = 3.61, P < 0.05]. Post hoc analyses showed that this effect was accounted for by the significant increase in anger-hostility scores from wk 0 to wk 2 (P < 0.05) in the treatment phase and the trend toward a decrease from wk 0 to wk 2 (P = 0.064) in the placebo phase (see Fig. 2). Comparison of treatment and placebo phases at wk 2 showed a g value of 0.66 [confidence interval (CI) 0.08/1.24], a medium to large difference.
Anger-hostility levels at wk 0, 2, and 4 during treatment and placebo phases. Shaded bars, Participants received 1000 mg TU im; white bars, participants receiving 4 ml castor oil only; bars a and b, significantly different (P < 0.05).
Anger-hostility levels at wk 0, 2, and 4 during treatment and placebo phases. Shaded bars, Participants received 1000 mg TU im; white bars, participants receiving 4 ml castor oil only; bars a and b, significantly different (P < 0.05).
Descriptive statistics for subscales on Profile of Mood States at each week during the treatment and placebo phases (n = 24)
| Variable | Wk 0 | Wk 2 | Wk 4 | Wk 6 | Wk 8 | Wk 12 |
|---|---|---|---|---|---|---|
| Tension—anxiety | ||||||
| Treatment arm | 8.10 (1.54) | 7.65 (1.17) | 6.45 (1.03) | 6.27 (1.11) | 6.35 (1.13) | 5.00 (0.78) |
| Placebo arm | 8.90 (1.20) | 5.10 (0.82) | 6.20 (0.82) | 8.96 (1.19) | 7.14 (1.18) | 7.47 (1.05) |
| Depression—dejection | ||||||
| Treatment arm | 7.65 (2.07) | 8.15 (2.03) | 6.70 (1.81) | 5.82 (1.76) | 7.48 (2.06) | 3.39 (0.96) |
| Placebo arm | 9.95 (2.47) | 5.05 (1.46) | 6.50 (2.05) | 7.81 (2.10) | 8.38 (2.52) | 5.18 (2.08) |
| Anger—hostility | ||||||
| Treatment arm | 7.48 (1.36)a | 10.71 (1.75)a | 8.09 (1.57) | 5.91 (1.19) | 6.87 (1.49) | 4.83 (1.00) |
| Placebo arm | 8.38 (1.41) | 6.09 (1.13) | 7.38 (1.34) | 8.19 (2.07) | 8.41 (2.02) | 6.53 (1.52) |
| Vigor—activity | ||||||
| Treatment arm | 19.75 (1.54) | 17.35 (1.63) | 18.65 (1.85) | 20.66 (1.41) | 17.83 (1.51) | 19.13 (1.44) |
| Placebo arm | 17.30 (1.56) | 21.15 (1.56) | 19.90 (1.33) | 17.91 (1.50) | 20.00 (1.56) | 19.12 (1.80) |
| Fatigue—inertiab | ||||||
| Treatment arm | 7.24 (0.97) | 6.71 (1.31) | 7.35 (1.28) | 5.81 (0.90) | 5.12 (1.33) | 6.04 (1.10) |
| Placebo arm | 9.29 (1.15) | 7.82 (1.07) | 6.50 (1.01) | 7.10 (1.25) | 7.71 (1.64) | 7.23 (1.39) |
| Confusion—bewilderment | ||||||
| Treatment arm | 6.70 (1.36) | 7.23 (1.14) | 6.72 (1.25) | 6.37 (1.34) | 6.43 (1.26) | 5.70 (1.24) |
| Placebo arm | 7.32 (1.28) | 6.52 (0.88) | 6.83 (1.17) | 7.41 (1.09) | 8.00 (1.59) | 5.29 (0.64) |
| Variable | Wk 0 | Wk 2 | Wk 4 | Wk 6 | Wk 8 | Wk 12 |
|---|---|---|---|---|---|---|
| Tension—anxiety | ||||||
| Treatment arm | 8.10 (1.54) | 7.65 (1.17) | 6.45 (1.03) | 6.27 (1.11) | 6.35 (1.13) | 5.00 (0.78) |
| Placebo arm | 8.90 (1.20) | 5.10 (0.82) | 6.20 (0.82) | 8.96 (1.19) | 7.14 (1.18) | 7.47 (1.05) |
| Depression—dejection | ||||||
| Treatment arm | 7.65 (2.07) | 8.15 (2.03) | 6.70 (1.81) | 5.82 (1.76) | 7.48 (2.06) | 3.39 (0.96) |
| Placebo arm | 9.95 (2.47) | 5.05 (1.46) | 6.50 (2.05) | 7.81 (2.10) | 8.38 (2.52) | 5.18 (2.08) |
| Anger—hostility | ||||||
| Treatment arm | 7.48 (1.36)a | 10.71 (1.75)a | 8.09 (1.57) | 5.91 (1.19) | 6.87 (1.49) | 4.83 (1.00) |
| Placebo arm | 8.38 (1.41) | 6.09 (1.13) | 7.38 (1.34) | 8.19 (2.07) | 8.41 (2.02) | 6.53 (1.52) |
| Vigor—activity | ||||||
| Treatment arm | 19.75 (1.54) | 17.35 (1.63) | 18.65 (1.85) | 20.66 (1.41) | 17.83 (1.51) | 19.13 (1.44) |
| Placebo arm | 17.30 (1.56) | 21.15 (1.56) | 19.90 (1.33) | 17.91 (1.50) | 20.00 (1.56) | 19.12 (1.80) |
| Fatigue—inertiab | ||||||
| Treatment arm | 7.24 (0.97) | 6.71 (1.31) | 7.35 (1.28) | 5.81 (0.90) | 5.12 (1.33) | 6.04 (1.10) |
| Placebo arm | 9.29 (1.15) | 7.82 (1.07) | 6.50 (1.01) | 7.10 (1.25) | 7.71 (1.64) | 7.23 (1.39) |
| Confusion—bewilderment | ||||||
| Treatment arm | 6.70 (1.36) | 7.23 (1.14) | 6.72 (1.25) | 6.37 (1.34) | 6.43 (1.26) | 5.70 (1.24) |
| Placebo arm | 7.32 (1.28) | 6.52 (0.88) | 6.83 (1.17) | 7.41 (1.09) | 8.00 (1.59) | 5.29 (0.64) |
sem value is in parentheses.
Significantly different (P < .05);
significant main effect for treatment period indicating overall lower levels of fatigue during treatment phase compared to placebo phase (P < .05).
Descriptive statistics for subscales on Profile of Mood States at each week during the treatment and placebo phases (n = 24)
| Variable | Wk 0 | Wk 2 | Wk 4 | Wk 6 | Wk 8 | Wk 12 |
|---|---|---|---|---|---|---|
| Tension—anxiety | ||||||
| Treatment arm | 8.10 (1.54) | 7.65 (1.17) | 6.45 (1.03) | 6.27 (1.11) | 6.35 (1.13) | 5.00 (0.78) |
| Placebo arm | 8.90 (1.20) | 5.10 (0.82) | 6.20 (0.82) | 8.96 (1.19) | 7.14 (1.18) | 7.47 (1.05) |
| Depression—dejection | ||||||
| Treatment arm | 7.65 (2.07) | 8.15 (2.03) | 6.70 (1.81) | 5.82 (1.76) | 7.48 (2.06) | 3.39 (0.96) |
| Placebo arm | 9.95 (2.47) | 5.05 (1.46) | 6.50 (2.05) | 7.81 (2.10) | 8.38 (2.52) | 5.18 (2.08) |
| Anger—hostility | ||||||
| Treatment arm | 7.48 (1.36)a | 10.71 (1.75)a | 8.09 (1.57) | 5.91 (1.19) | 6.87 (1.49) | 4.83 (1.00) |
| Placebo arm | 8.38 (1.41) | 6.09 (1.13) | 7.38 (1.34) | 8.19 (2.07) | 8.41 (2.02) | 6.53 (1.52) |
| Vigor—activity | ||||||
| Treatment arm | 19.75 (1.54) | 17.35 (1.63) | 18.65 (1.85) | 20.66 (1.41) | 17.83 (1.51) | 19.13 (1.44) |
| Placebo arm | 17.30 (1.56) | 21.15 (1.56) | 19.90 (1.33) | 17.91 (1.50) | 20.00 (1.56) | 19.12 (1.80) |
| Fatigue—inertiab | ||||||
| Treatment arm | 7.24 (0.97) | 6.71 (1.31) | 7.35 (1.28) | 5.81 (0.90) | 5.12 (1.33) | 6.04 (1.10) |
| Placebo arm | 9.29 (1.15) | 7.82 (1.07) | 6.50 (1.01) | 7.10 (1.25) | 7.71 (1.64) | 7.23 (1.39) |
| Confusion—bewilderment | ||||||
| Treatment arm | 6.70 (1.36) | 7.23 (1.14) | 6.72 (1.25) | 6.37 (1.34) | 6.43 (1.26) | 5.70 (1.24) |
| Placebo arm | 7.32 (1.28) | 6.52 (0.88) | 6.83 (1.17) | 7.41 (1.09) | 8.00 (1.59) | 5.29 (0.64) |
| Variable | Wk 0 | Wk 2 | Wk 4 | Wk 6 | Wk 8 | Wk 12 |
|---|---|---|---|---|---|---|
| Tension—anxiety | ||||||
| Treatment arm | 8.10 (1.54) | 7.65 (1.17) | 6.45 (1.03) | 6.27 (1.11) | 6.35 (1.13) | 5.00 (0.78) |
| Placebo arm | 8.90 (1.20) | 5.10 (0.82) | 6.20 (0.82) | 8.96 (1.19) | 7.14 (1.18) | 7.47 (1.05) |
| Depression—dejection | ||||||
| Treatment arm | 7.65 (2.07) | 8.15 (2.03) | 6.70 (1.81) | 5.82 (1.76) | 7.48 (2.06) | 3.39 (0.96) |
| Placebo arm | 9.95 (2.47) | 5.05 (1.46) | 6.50 (2.05) | 7.81 (2.10) | 8.38 (2.52) | 5.18 (2.08) |
| Anger—hostility | ||||||
| Treatment arm | 7.48 (1.36)a | 10.71 (1.75)a | 8.09 (1.57) | 5.91 (1.19) | 6.87 (1.49) | 4.83 (1.00) |
| Placebo arm | 8.38 (1.41) | 6.09 (1.13) | 7.38 (1.34) | 8.19 (2.07) | 8.41 (2.02) | 6.53 (1.52) |
| Vigor—activity | ||||||
| Treatment arm | 19.75 (1.54) | 17.35 (1.63) | 18.65 (1.85) | 20.66 (1.41) | 17.83 (1.51) | 19.13 (1.44) |
| Placebo arm | 17.30 (1.56) | 21.15 (1.56) | 19.90 (1.33) | 17.91 (1.50) | 20.00 (1.56) | 19.12 (1.80) |
| Fatigue—inertiab | ||||||
| Treatment arm | 7.24 (0.97) | 6.71 (1.31) | 7.35 (1.28) | 5.81 (0.90) | 5.12 (1.33) | 6.04 (1.10) |
| Placebo arm | 9.29 (1.15) | 7.82 (1.07) | 6.50 (1.01) | 7.10 (1.25) | 7.71 (1.64) | 7.23 (1.39) |
| Confusion—bewilderment | ||||||
| Treatment arm | 6.70 (1.36) | 7.23 (1.14) | 6.72 (1.25) | 6.37 (1.34) | 6.43 (1.26) | 5.70 (1.24) |
| Placebo arm | 7.32 (1.28) | 6.52 (0.88) | 6.83 (1.17) | 7.41 (1.09) | 8.00 (1.59) | 5.29 (0.64) |
sem value is in parentheses.
Significantly different (P < .05);
significant main effect for treatment period indicating overall lower levels of fatigue during treatment phase compared to placebo phase (P < .05).
Comparison of the means for the treatment and placebo phases in wk 2, using effect sizes, revealed the following. There were higher values for tension-anxiety (g = 0.54, CI −0.05/1.10) and depression-dejection (g = 0.37, CI −0.20/0.94) in the treatment than the placebo phase. However, the differences were the result of a decline in these measures in the placebo phase, but not in the treatment phase, from wk 0 to wk 2. Vigor-activity was also lower in the treatment than the placebo phase at wk 2 (g = −0.53, CI −1.11/0.04), but in this case there was also a decline from wk 0 to wk 2 in the treatment phase (g = −0.32, CI −0.89/0.25). Both values, which are in the small to medium effect range, are consistent with a lowering of vigor-activity during the first 2 wk of T treatment.
For fatigue-inertia, a significant main effect for the treatment period [F(1,24) = 5.10, P < 0.05] and a trend toward significance for time [F(5,115) = 2.22, P = 0.076] was found. Post hoc comparisons revealed that significantly less fatigue was reported overall during the treatment phase (mean score = 6.21 ± 0.98), compared with the placebo phase (mean score = 7.84 ± 1.01). These findings indicate the possibility of a short-term decline in vigor-activity over the first 2 wk after T treatment, combined with a longer-term decrease in fatigue-inertia.
Aggression
Self- and partner-reported scores on the AQ are summarized in Table 2. No significant treatment effects were found for any of the subscales: physical aggression, verbal aggression, anger, or hostility. Effect sizes for the differences between the baseline and treatment phases were very small, ranging from g = −0.08 (physical aggression) to g = 0.15 (hostility). Those for comparisons between the treatment and placebo phases ranged from g = −0.05 (anger) to g = 0.12 (hostility). Of the four measures, only hostility showed both an increase from the baseline to the treatment phase and a higher value in the treatment than the placebo phase (g = 0.15 and 0.12), values that are very small in magnitude and would require samples of around 350 to reach significance.
Descriptive statistics for scores on questionnaire-behavioral measures at baseline, TU treatment, and placebo (n = 24 men, N = 18 partners)a
| Baseline | Treatment arm | Placebo arm | |
|---|---|---|---|
| Aggression Questionnaire | |||
| Physical aggression | 19.96 (1.34) | 19.46 (1.23) | 18.83 (1.15) |
| Verbal aggression | 13.46 (0.58) | 13.58 (0.61) | 13.63 (0.76) |
| Anger | 13.92 (1.07) | 14.08 (1.17) | 14.33 (1.02) |
| Hostility | 16.71 (0.83) | 17.46 (1.18) | 16.88 (0.85) |
| Aggression Questionnaire-partner report | |||
| Physical aggression | 16.00 (1.24) | 15.83 (0.99) | 15.83 (1.04) |
| Verbal aggression | 12.55 (1.04) | 11.44 (1.91) | 11.22 (0.79) |
| Anger | 13.72 (1.50) | 12.72 (1.12) | 13.28 (1.30) |
| Hostility | 14.56 (0.93) | 14.28 (0.74) | 14.17 (0.64) |
| Aggressive Provocation Questionnaire (APQ) | |||
| Aggressive actions | 0.68 (0.15) | 0.84 (0.27) | 0.67 (0.17) |
| Assertive actions | 6.46 (0.45) | 6.92 (0.48) | 6.93 (0.48) |
| APQ anger scale | 23.50 (2.36) | 22.50 (2.12) | 19.84 (1.98) |
| APQ irritation scale | 26.04 (2.33) | 26.54 (1.97) | 24.69 (2.06) |
| Other behavior measures | |||
| Irritability | 24.29 (1.02) | 24.00 (1.59) | 24.17 (1.39) |
| Assertiveness | 22.29 (3.84) | 14.38 (5.05) | 11.74 (3.95) |
| State self-esteem | 75.30 (2.43) | 67.30 (4.17) | 59.52 (3.11) |
| Monthly sexual function | |||
| Sexual desire | 16.33 (0.76) | 15.76 (1.01) | 16.24 (1.02) |
| Intercourse satisfaction | 7.00 (0.55) | 6.88 (0.75) | 6.87 (0.68) |
| Erectile function | 5.00 (0.54) | 4.45 (0.47) | 3.85 (0.39) |
| Orgasmic function | 24.24 (0.91) | 25.00 (1.08) | 23.71 (1.35) |
| Baseline | Treatment arm | Placebo arm | |
|---|---|---|---|
| Aggression Questionnaire | |||
| Physical aggression | 19.96 (1.34) | 19.46 (1.23) | 18.83 (1.15) |
| Verbal aggression | 13.46 (0.58) | 13.58 (0.61) | 13.63 (0.76) |
| Anger | 13.92 (1.07) | 14.08 (1.17) | 14.33 (1.02) |
| Hostility | 16.71 (0.83) | 17.46 (1.18) | 16.88 (0.85) |
| Aggression Questionnaire-partner report | |||
| Physical aggression | 16.00 (1.24) | 15.83 (0.99) | 15.83 (1.04) |
| Verbal aggression | 12.55 (1.04) | 11.44 (1.91) | 11.22 (0.79) |
| Anger | 13.72 (1.50) | 12.72 (1.12) | 13.28 (1.30) |
| Hostility | 14.56 (0.93) | 14.28 (0.74) | 14.17 (0.64) |
| Aggressive Provocation Questionnaire (APQ) | |||
| Aggressive actions | 0.68 (0.15) | 0.84 (0.27) | 0.67 (0.17) |
| Assertive actions | 6.46 (0.45) | 6.92 (0.48) | 6.93 (0.48) |
| APQ anger scale | 23.50 (2.36) | 22.50 (2.12) | 19.84 (1.98) |
| APQ irritation scale | 26.04 (2.33) | 26.54 (1.97) | 24.69 (2.06) |
| Other behavior measures | |||
| Irritability | 24.29 (1.02) | 24.00 (1.59) | 24.17 (1.39) |
| Assertiveness | 22.29 (3.84) | 14.38 (5.05) | 11.74 (3.95) |
| State self-esteem | 75.30 (2.43) | 67.30 (4.17) | 59.52 (3.11) |
| Monthly sexual function | |||
| Sexual desire | 16.33 (0.76) | 15.76 (1.01) | 16.24 (1.02) |
| Intercourse satisfaction | 7.00 (0.55) | 6.88 (0.75) | 6.87 (0.68) |
| Erectile function | 5.00 (0.54) | 4.45 (0.47) | 3.85 (0.39) |
| Orgasmic function | 24.24 (0.91) | 25.00 (1.08) | 23.71 (1.35) |
sem values are given in parentheses.
Questionnaires were administered at baseline and at wk 4 in each treatment phase.
Descriptive statistics for scores on questionnaire-behavioral measures at baseline, TU treatment, and placebo (n = 24 men, N = 18 partners)a
| Baseline | Treatment arm | Placebo arm | |
|---|---|---|---|
| Aggression Questionnaire | |||
| Physical aggression | 19.96 (1.34) | 19.46 (1.23) | 18.83 (1.15) |
| Verbal aggression | 13.46 (0.58) | 13.58 (0.61) | 13.63 (0.76) |
| Anger | 13.92 (1.07) | 14.08 (1.17) | 14.33 (1.02) |
| Hostility | 16.71 (0.83) | 17.46 (1.18) | 16.88 (0.85) |
| Aggression Questionnaire-partner report | |||
| Physical aggression | 16.00 (1.24) | 15.83 (0.99) | 15.83 (1.04) |
| Verbal aggression | 12.55 (1.04) | 11.44 (1.91) | 11.22 (0.79) |
| Anger | 13.72 (1.50) | 12.72 (1.12) | 13.28 (1.30) |
| Hostility | 14.56 (0.93) | 14.28 (0.74) | 14.17 (0.64) |
| Aggressive Provocation Questionnaire (APQ) | |||
| Aggressive actions | 0.68 (0.15) | 0.84 (0.27) | 0.67 (0.17) |
| Assertive actions | 6.46 (0.45) | 6.92 (0.48) | 6.93 (0.48) |
| APQ anger scale | 23.50 (2.36) | 22.50 (2.12) | 19.84 (1.98) |
| APQ irritation scale | 26.04 (2.33) | 26.54 (1.97) | 24.69 (2.06) |
| Other behavior measures | |||
| Irritability | 24.29 (1.02) | 24.00 (1.59) | 24.17 (1.39) |
| Assertiveness | 22.29 (3.84) | 14.38 (5.05) | 11.74 (3.95) |
| State self-esteem | 75.30 (2.43) | 67.30 (4.17) | 59.52 (3.11) |
| Monthly sexual function | |||
| Sexual desire | 16.33 (0.76) | 15.76 (1.01) | 16.24 (1.02) |
| Intercourse satisfaction | 7.00 (0.55) | 6.88 (0.75) | 6.87 (0.68) |
| Erectile function | 5.00 (0.54) | 4.45 (0.47) | 3.85 (0.39) |
| Orgasmic function | 24.24 (0.91) | 25.00 (1.08) | 23.71 (1.35) |
| Baseline | Treatment arm | Placebo arm | |
|---|---|---|---|
| Aggression Questionnaire | |||
| Physical aggression | 19.96 (1.34) | 19.46 (1.23) | 18.83 (1.15) |
| Verbal aggression | 13.46 (0.58) | 13.58 (0.61) | 13.63 (0.76) |
| Anger | 13.92 (1.07) | 14.08 (1.17) | 14.33 (1.02) |
| Hostility | 16.71 (0.83) | 17.46 (1.18) | 16.88 (0.85) |
| Aggression Questionnaire-partner report | |||
| Physical aggression | 16.00 (1.24) | 15.83 (0.99) | 15.83 (1.04) |
| Verbal aggression | 12.55 (1.04) | 11.44 (1.91) | 11.22 (0.79) |
| Anger | 13.72 (1.50) | 12.72 (1.12) | 13.28 (1.30) |
| Hostility | 14.56 (0.93) | 14.28 (0.74) | 14.17 (0.64) |
| Aggressive Provocation Questionnaire (APQ) | |||
| Aggressive actions | 0.68 (0.15) | 0.84 (0.27) | 0.67 (0.17) |
| Assertive actions | 6.46 (0.45) | 6.92 (0.48) | 6.93 (0.48) |
| APQ anger scale | 23.50 (2.36) | 22.50 (2.12) | 19.84 (1.98) |
| APQ irritation scale | 26.04 (2.33) | 26.54 (1.97) | 24.69 (2.06) |
| Other behavior measures | |||
| Irritability | 24.29 (1.02) | 24.00 (1.59) | 24.17 (1.39) |
| Assertiveness | 22.29 (3.84) | 14.38 (5.05) | 11.74 (3.95) |
| State self-esteem | 75.30 (2.43) | 67.30 (4.17) | 59.52 (3.11) |
| Monthly sexual function | |||
| Sexual desire | 16.33 (0.76) | 15.76 (1.01) | 16.24 (1.02) |
| Intercourse satisfaction | 7.00 (0.55) | 6.88 (0.75) | 6.87 (0.68) |
| Erectile function | 5.00 (0.54) | 4.45 (0.47) | 3.85 (0.39) |
| Orgasmic function | 24.24 (0.91) | 25.00 (1.08) | 23.71 (1.35) |
sem values are given in parentheses.
Questionnaires were administered at baseline and at wk 4 in each treatment phase.
For the AQ-P, no significant effects were found for physical aggression, anger, or hostility. However, a significant main effect for time for verbal aggression [F(2,34) = 4.66, P < 0.05] was found. Post hoc comparisons showed significantly lower partner ratings of verbal aggression during TU treatment and placebo, compared with baseline. Moreover, there was no difference in levels of verbal aggression between TU treatment, compared with placebo. Effect sizes for the differences between the baseline and treatment phases were all opposite the expected direction, i.e. they showed a decline in the treatment phase, and with the exception of verbal aggression, noted above (g = −0.27), were very small in magnitude (ranging from g = −0.04 for physical aggression to −0.18 for anger). Differences between values for the treatment and placebo phases were all very small, ranging from g = −0.11 to g = 0.06.
Response to aggressive provocation
Scores on the APQ are summarized in Table 2. One-way repeated measures ANOVA revealed no significant differences between scores at baseline, treatment, and placebo for any of the AQ-P subscales: aggressive actions, assertive actions, anger scale, and irritation scale. Effect sizes for the differences between the baseline and treatment phases ranged from g = −0.09 (anger) to g = 0.21 (assertive actions). Differences between values for the treatment and placebo phases were g = 0.15 (aggressive actions), g = −0.004 (assertive actions), g = 0.27 (anger), and g = 0.18 (irritation). Of the four measures, only aggressive actions showed both an increase from baseline to the treatment phase and a higher value in the treatment than placebo phase. The g values (0.14 and 0.15) are very small in magnitude and would require samples of around 350 to reach significance.
Other behavior measures
Scores on the irritability, assertiveness, and state self-esteem measures are shown in Table 2. Repeated-measures ANOVA revealed no significant differences among baseline, treatment, and placebo for irritability or assertiveness. However, a significant main effect for time period was found for state self-esteem [F(2,46) = 4.86, P < 0.05]. Post hoc comparisons revealed state self-esteem levels were significantly higher at baseline, compared with TU treatment and placebo, although there were no significant treatment effects.
Sexual behavior: monthly questionnaire and 7-d log
The monthly sexual functioning questionnaire scores are shown in Table 2. Repeated-measures ANOVA revealed no significant effects for time on ratings for sexual desire, intercourse satisfaction, or orgasmic function. However, a trend toward significance was found for the main effect for time for erectile function [F(2,46) = 3.55, P = 0.057]. Post hoc comparisons indicated that this trend was accounted for by a significant decrease from baseline during the placebo phase.
Table 3 shows the scores on the 7-d log during treatment and placebo phases. No significant effects were found for frequency of sexual intercourse, masturbation, sexual desire, enjoyment of intercourse, or overall satisfaction with sexual experience. For frequency of morning erection, there was a significant main effect for time [F(5,115) = 3.54, P < 0.05]. Post hoc comparisons revealed that this effect was accounted for by the significant difference in scores at wk 2, compared with wk 6, 8, and 12. Given the relatively small differences observed, this finding is likely to reflect statistical artifact rather than have any clinical significance.
Descriptive statistics for subscales on 7-d log at each week during the treatment and placebo phases (n = 24)
| Variable | Wk 0 | Wk 2 | Wk 4 | Wk 6 | Wk 8 | Wk 12 |
|---|---|---|---|---|---|---|
| Frequency of intercoursea | ||||||
| Treatment arm | 1.52 (0.32) | 1.75 (0.36) | 1.46 (0.40) | 1.52 (0.44) | 1.79 (0.40) | 2.23 (0.74) |
| Placebo arm | 1.65 (0.45) | 1.65 (0.36) | 1.79 (0.38) | 1.98 (0.59) | 1.33 (0.35) | 2.08 (0.59) |
| Frequency of masturbationa | ||||||
| Treatment arm | 2.33 (0.49) | 3.27 (0.69) | 2.38 (0.45) | 2.50 (0.57) | 2.42 (0.46) | 2.46 (0.44) |
| Placebo arm | 2.52 (0.57) | 2.75 (0.56) | 2.92 (0.73) | 2.02 (0.37) | 2.38 (0.44) | 2.52 (0.45) |
| Frequency of morning erectionb | ||||||
| Treatment arm | 2.25 (0.18) | 2.38 (0.17) | 2.50 (0.14) | 2.17 (0.17) | 2.16 (0.16) | 2.00 (0.18) |
| Placebo arm | 2.38 (0.17) | 2.42 (0.16) | 2.33 (0.19) | 2.04 (0.17) | 2.08 (0.19) | 2.25 (0.15) |
| Enjoyment of intercoursec | ||||||
| Treatment arm | 2.50 (0.40) | 2.88 (0.38) | 2.68 (0.38) | 2.54 (0.43) | 2.50 (0.42) | 2.62 (0.44) |
| Placebo arm | 2.13 (0.39) | 2.75 (0.43) | 2.50 (0.40) | 2.42 (0.44) | 1.92 (0.38) | 2.58 (0.44) |
| Sexual desired | ||||||
| Treatment arm | 3.25 (0.17) | 3.25 (0.14) | 3.27 (0.20) | 3.04 (0.18) | 3.07 (0.17) | 3.17 (0.18) |
| Placebo arm | 3.17 (0.21) | 2.83 (0.18) | 3.08 (0.19) | 3.08 (0.21) | 2.96 (0.18) | 3.17 (0.17) |
| Sexual satisfactione | ||||||
| Treatment arm | 4.42 (0.36) | 4.71 (0.32) | 4.46 (0.30) | 4.42 (0.31) | 4.17 (0.32) | 4.75 (0.34) |
| Placebo arm | 4.25 (0.35) | 4.83 (0.32) | 4.38 (0.35) | 4.63 (0.34) | 3.92 (0.38) | 4.63 (0.32) |
| Variable | Wk 0 | Wk 2 | Wk 4 | Wk 6 | Wk 8 | Wk 12 |
|---|---|---|---|---|---|---|
| Frequency of intercoursea | ||||||
| Treatment arm | 1.52 (0.32) | 1.75 (0.36) | 1.46 (0.40) | 1.52 (0.44) | 1.79 (0.40) | 2.23 (0.74) |
| Placebo arm | 1.65 (0.45) | 1.65 (0.36) | 1.79 (0.38) | 1.98 (0.59) | 1.33 (0.35) | 2.08 (0.59) |
| Frequency of masturbationa | ||||||
| Treatment arm | 2.33 (0.49) | 3.27 (0.69) | 2.38 (0.45) | 2.50 (0.57) | 2.42 (0.46) | 2.46 (0.44) |
| Placebo arm | 2.52 (0.57) | 2.75 (0.56) | 2.92 (0.73) | 2.02 (0.37) | 2.38 (0.44) | 2.52 (0.45) |
| Frequency of morning erectionb | ||||||
| Treatment arm | 2.25 (0.18) | 2.38 (0.17) | 2.50 (0.14) | 2.17 (0.17) | 2.16 (0.16) | 2.00 (0.18) |
| Placebo arm | 2.38 (0.17) | 2.42 (0.16) | 2.33 (0.19) | 2.04 (0.17) | 2.08 (0.19) | 2.25 (0.15) |
| Enjoyment of intercoursec | ||||||
| Treatment arm | 2.50 (0.40) | 2.88 (0.38) | 2.68 (0.38) | 2.54 (0.43) | 2.50 (0.42) | 2.62 (0.44) |
| Placebo arm | 2.13 (0.39) | 2.75 (0.43) | 2.50 (0.40) | 2.42 (0.44) | 1.92 (0.38) | 2.58 (0.44) |
| Sexual desired | ||||||
| Treatment arm | 3.25 (0.17) | 3.25 (0.14) | 3.27 (0.20) | 3.04 (0.18) | 3.07 (0.17) | 3.17 (0.18) |
| Placebo arm | 3.17 (0.21) | 2.83 (0.18) | 3.08 (0.19) | 3.08 (0.21) | 2.96 (0.18) | 3.17 (0.17) |
| Sexual satisfactione | ||||||
| Treatment arm | 4.42 (0.36) | 4.71 (0.32) | 4.46 (0.30) | 4.42 (0.31) | 4.17 (0.32) | 4.75 (0.34) |
| Placebo arm | 4.25 (0.35) | 4.83 (0.32) | 4.38 (0.35) | 4.63 (0.34) | 3.92 (0.38) | 4.63 (0.32) |
sem values are given in parentheses.
Scores represent mean frequency (number of times).
Scores ranged from 0 (not at all), to 1 (once), 2 (2 or 3 times), 3 (daily).
Scores ranged from 1 (no enjoyment) to 5 (very highly enjoyable).
Scores ranged from 1 (almost never/never) to 5 (almost always/always).
Scores ranged from 1 (extremely unsatisfactory) to 6 (extremely satisfactory).
Descriptive statistics for subscales on 7-d log at each week during the treatment and placebo phases (n = 24)
| Variable | Wk 0 | Wk 2 | Wk 4 | Wk 6 | Wk 8 | Wk 12 |
|---|---|---|---|---|---|---|
| Frequency of intercoursea | ||||||
| Treatment arm | 1.52 (0.32) | 1.75 (0.36) | 1.46 (0.40) | 1.52 (0.44) | 1.79 (0.40) | 2.23 (0.74) |
| Placebo arm | 1.65 (0.45) | 1.65 (0.36) | 1.79 (0.38) | 1.98 (0.59) | 1.33 (0.35) | 2.08 (0.59) |
| Frequency of masturbationa | ||||||
| Treatment arm | 2.33 (0.49) | 3.27 (0.69) | 2.38 (0.45) | 2.50 (0.57) | 2.42 (0.46) | 2.46 (0.44) |
| Placebo arm | 2.52 (0.57) | 2.75 (0.56) | 2.92 (0.73) | 2.02 (0.37) | 2.38 (0.44) | 2.52 (0.45) |
| Frequency of morning erectionb | ||||||
| Treatment arm | 2.25 (0.18) | 2.38 (0.17) | 2.50 (0.14) | 2.17 (0.17) | 2.16 (0.16) | 2.00 (0.18) |
| Placebo arm | 2.38 (0.17) | 2.42 (0.16) | 2.33 (0.19) | 2.04 (0.17) | 2.08 (0.19) | 2.25 (0.15) |
| Enjoyment of intercoursec | ||||||
| Treatment arm | 2.50 (0.40) | 2.88 (0.38) | 2.68 (0.38) | 2.54 (0.43) | 2.50 (0.42) | 2.62 (0.44) |
| Placebo arm | 2.13 (0.39) | 2.75 (0.43) | 2.50 (0.40) | 2.42 (0.44) | 1.92 (0.38) | 2.58 (0.44) |
| Sexual desired | ||||||
| Treatment arm | 3.25 (0.17) | 3.25 (0.14) | 3.27 (0.20) | 3.04 (0.18) | 3.07 (0.17) | 3.17 (0.18) |
| Placebo arm | 3.17 (0.21) | 2.83 (0.18) | 3.08 (0.19) | 3.08 (0.21) | 2.96 (0.18) | 3.17 (0.17) |
| Sexual satisfactione | ||||||
| Treatment arm | 4.42 (0.36) | 4.71 (0.32) | 4.46 (0.30) | 4.42 (0.31) | 4.17 (0.32) | 4.75 (0.34) |
| Placebo arm | 4.25 (0.35) | 4.83 (0.32) | 4.38 (0.35) | 4.63 (0.34) | 3.92 (0.38) | 4.63 (0.32) |
| Variable | Wk 0 | Wk 2 | Wk 4 | Wk 6 | Wk 8 | Wk 12 |
|---|---|---|---|---|---|---|
| Frequency of intercoursea | ||||||
| Treatment arm | 1.52 (0.32) | 1.75 (0.36) | 1.46 (0.40) | 1.52 (0.44) | 1.79 (0.40) | 2.23 (0.74) |
| Placebo arm | 1.65 (0.45) | 1.65 (0.36) | 1.79 (0.38) | 1.98 (0.59) | 1.33 (0.35) | 2.08 (0.59) |
| Frequency of masturbationa | ||||||
| Treatment arm | 2.33 (0.49) | 3.27 (0.69) | 2.38 (0.45) | 2.50 (0.57) | 2.42 (0.46) | 2.46 (0.44) |
| Placebo arm | 2.52 (0.57) | 2.75 (0.56) | 2.92 (0.73) | 2.02 (0.37) | 2.38 (0.44) | 2.52 (0.45) |
| Frequency of morning erectionb | ||||||
| Treatment arm | 2.25 (0.18) | 2.38 (0.17) | 2.50 (0.14) | 2.17 (0.17) | 2.16 (0.16) | 2.00 (0.18) |
| Placebo arm | 2.38 (0.17) | 2.42 (0.16) | 2.33 (0.19) | 2.04 (0.17) | 2.08 (0.19) | 2.25 (0.15) |
| Enjoyment of intercoursec | ||||||
| Treatment arm | 2.50 (0.40) | 2.88 (0.38) | 2.68 (0.38) | 2.54 (0.43) | 2.50 (0.42) | 2.62 (0.44) |
| Placebo arm | 2.13 (0.39) | 2.75 (0.43) | 2.50 (0.40) | 2.42 (0.44) | 1.92 (0.38) | 2.58 (0.44) |
| Sexual desired | ||||||
| Treatment arm | 3.25 (0.17) | 3.25 (0.14) | 3.27 (0.20) | 3.04 (0.18) | 3.07 (0.17) | 3.17 (0.18) |
| Placebo arm | 3.17 (0.21) | 2.83 (0.18) | 3.08 (0.19) | 3.08 (0.21) | 2.96 (0.18) | 3.17 (0.17) |
| Sexual satisfactione | ||||||
| Treatment arm | 4.42 (0.36) | 4.71 (0.32) | 4.46 (0.30) | 4.42 (0.31) | 4.17 (0.32) | 4.75 (0.34) |
| Placebo arm | 4.25 (0.35) | 4.83 (0.32) | 4.38 (0.35) | 4.63 (0.34) | 3.92 (0.38) | 4.63 (0.32) |
sem values are given in parentheses.
Scores represent mean frequency (number of times).
Scores ranged from 0 (not at all), to 1 (once), 2 (2 or 3 times), 3 (daily).
Scores ranged from 1 (no enjoyment) to 5 (very highly enjoyable).
Scores ranged from 1 (almost never/never) to 5 (almost always/always).
Scores ranged from 1 (extremely unsatisfactory) to 6 (extremely satisfactory).
Discussion
To assess the effects of exogenous T on mood, behavior, and sexual functioning, we administered 1000 mg TU im to 24 healthy young men in a double-blind, placebo-controlled, cross-over study. The TU dose regimen was selected to approximate that most likely to be employed in future for hormonal male contraception and T replacement in male hypogonadism (29, 30–32, 43). This produced a significant elevation of circulating T (and estradiol) concentration from baseline for up to 2–4 wk and suppression of gonadotrophins for up to 12 wk. Mean peak T concentrations at 1 wk after administration of 1000 mg TU (37.5 ± 2.2 nmol/liter) were above the upper limit of normal (30 nmol/liter, 97.5th centile of reference range) and remained supraphysiological for a further 1–2 wk. Thereafter, the suppressed gonadotrophins, and consequently suppressed endogenous T from Leydig cells, indicated that circulating T was maintained in the pretreatment baseline range by exogenous T. This is a well-described pharmacodynamic response to exogenous T administration in eugonadal men (6, 44). The commonly used shorter-acting injectable preparations such as T enanthate produce acute short-lived supraphysiological peak T levels of 50–60 nmol/liter for 3–4 d after each injection (42). In contrast, our results show that the longer-acting TU produced more stable circulating T levels (31) with a relatively modest (but still supraphysiological) and more sustained postinjection peak that lasts for 2–3 wk. Thus, the pharmacokinetic profile of injectable TU is not only more clinically desirable but also permits a better experimental framework for investigating potential behavioral changes induced by exogenous T.
Results of the present study showed that elevation of T to supraphysiological or high normal levels for 2–4 wk had significant minor effects on mood but none on aggressive tendencies or other aspects of behavior such as assertiveness, irritability, self-esteem, or sexual function. Specifically, TU administration was associated with significant increases in the anger-hostility scores from baseline to wk 2, compared with a reduction in anger-hostility over the same time period in the placebo phase. Although this change in anger-hostility is statistically significant, the clinical or pathological significance is uncertain. The mean anger-hostility scores reported at wk 2 (mean = 10.7) are comparable with normative data from college samples in the United States (mean = 10.1) (33) and with hypogonadal men after T replacement therapy (mean = 10.2) (27). To further place it in context, impulsive-aggressive individuals who meet the first two diagnostic criteria for intermittent explosive disorder (45) and have a history of serious assaultive and aggressive acts have been found to score 16.0 on the anger-hostility subscale of the POMS (46). Therefore, the magnitude of the observed change in the present study is comparatively minor and remained well within the normal range. It is likely to reflect, at most, a subtle response to a transient elevation in circulating T revealed only under closely controlled psychometric monitoring. Nevertheless, future investigations should monitor any potential changes in anger-hostility to rule out clinically significant effects in susceptible individuals, especially after repeated or sustained elevations of T into the supraphysiological range.
We also found TU to have positive effects (i.e. lower scores) on overall fatigue-inertia with participants reporting significantly lower levels throughout treatment, compared with placebo. This finding is noteworthy, given that previous studies using other T preparations (e.g. T enanthate) have not found any effect of T on fatigue in healthy normal men (e.g. Refs.18 , 27). However, the present data may be similar to the beneficial effects of T replacement on mood (i.e. reduced fatigue and improved mood or vigor) frequently found in hypogonadal men (18). These effects are also consistent with anecdotal evidence from a number of participants who reported having more energy and feeling less tired than normal. Future research should investigate further the potential beneficial effects of therapeutic doses of TU on fatigue and consider potential mediating mechanisms (e.g. changes in hematocrit levels).
Our study did not detect any significant effects of TU on several measures of aggressive behavior (including self-reported aggression, partner-reported aggression, and scenario-based measures of aggressive responding) and other behavioral measures such as assertiveness, irritability, and self-esteem. This finding is not congruent with some of the wider T-aggression literature in which increases in measures of aggression have been found after T treatment (9, 10, 15, 16, 47). Recently Pope et al. (9) reported a significant increase in a laboratory-based measure of aggressive responding, the Point Subtraction Aggressive Paradigm (48), and ratings of manic symptoms in response to doses of T cypionate rising to 600 mg/wk over 6 wk. However, as indicated earlier, significant effects on aggression have been observed only in men exposed to much higher doses of T (e.g. 600-1000 mg T per wk) and not with lower therapeutic or physiological doses of T such as that used in the current study. Across three different sets of measures (self-reports, partner reports, and responses to scenarios), examinations of the effect sizes for baseline-to-treatment and placebo-treatment comparisons indicated practically no evidence of type 2 errors, as evidenced by a small but consistent effect size in the expected direction for both sets of comparisons. In only two of the 12 measures (AQ hostility and APQ aggressive actions) was there even a consistent effect in the expected direction of higher values in the treatment phase. The effect sizes were all smaller than Cohen’s designated value for a small effect (g = 0.2) and would have required a sample of over 350 to produce a significant difference, assuming that they were real effects.
A potential explanation for the absence of behavioral effects in this study is the relatively short time during which T was elevated. It is possible that exposure to supraphysiological levels of T sustained over a period longer than 4 wk may have an effect on aggressive behavior. However, the clear changes in mood within 2 wk of TU injection suggest that significant behavioral or psychosexual effects of T, if present, should be detectable in this time frame. Changes in sexual interest in hypogonadal men were detectable within 2 wk in response to physiological T replacement (22, 49). It is therefore likely that the relatively modest doses of T required for male contraception (in contrast to that in AAS abuse and those studies investigating clearly supraphysiological doses of T) reproduced in this and our earlier study (18) using a range of validated tests of aggression (including partner reports) are not associated with any changes in aggressive behavior. It is also clear that reports of occasional abusers exhibiting high levels of aggressiveness and experience episodes of mania or hypomania taking huge doses of AAS should not be compared with or extrapolated to the therapeutic doses of T being investigated in the present study.
In addition to dose-response considerations, we also previously identified impulsivity (over and above T levels and age) as an important dispositional variable in explaining individual variability in aggression levels in normal men (18). Future research should therefore be cognizant of and account for nonhormonal factors that may contribute to individual behavioral responses to T. Furthermore, investigators should also examine whether TU has any influence on aspects of cognitive functioning (cf., Ref.50).
The present results also confirmed that raising T levels into the supraphysiological range in healthy young men did not increase the interactional (i.e. the frequency of sexual intercourse) or noninteractional aspects of sexual behavior (i.e. sexual desire or intercourse satisfaction). The former is consistent with several studies (e.g. Refs.19 , 25 , 29) that have found no significant changes in interactional aspects of sexual behavior in response to 2- to 6-fold increments in T. Part of the explanation may lie in the fact that relationship and other social factors may have an overriding influence on sexual activity (19). However, the lack of response in sexual desire in response to T in the present study contrasts with earlier reports of significant increases in noninteractional aspects of sexual awareness and arousability (19, 27). These two studies found significant increases in sexual interest or arousal without accompanying increases in the frequency of sexual intercourse or masturbation (19, 27). In both cases, the measures of sexual desire that have been found to change in response to T administration have tapped cognitive aspects of sexual behavior. For example, Anderson et al. (19) employed the Psychosexual Stimulation Scale from the Frenken Sexual Experience Scales (51), which assesses the extent to which someone seeks sexual stimuli of an auditory-visual or imaginary nature. Similarly, Alexander et al. (27) assessed sexual arousal by measuring responses to a sexually explicit audiotape using a laboratory-based dichotic listening task, thus indicating, that if T has an effect on sexual behavior, it may be via cognitive, attentional processes. In contrast, the present study employed only self-reported subjective assessments of sexual interest. For this reason, our data cannot completely exclude effects of TU at a dose of 1000 mg on sexual arousal/awareness. As consistently observed with T enthanate, these subtle effects on sexual awareness or interest, if detectable, are not associated with any changes in sexual activity or behavior.
In conclusion, we have shown that a single administration of 1000 mg TU in healthy young men, raising circulating T levels into the supraphysiological range, produces detectable but relatively minor mood changes (i.e. anger-hostility). TU treatment did not produce any detectable increase in aggressive behavior or changes in other nonaggressive or sexual behavior. Our results suggest that TU, administered in a dose within the range required for male contraception, has only very limited psychological effects, restricted to short-lived mood changes. Whether the same mood changes will be observed after repeated administration or whether tolerance develops should be further investigated. On the basis of our findings, it would be prudent to employ, in future male contraceptive formulations, the lowest effective T doses (especially at initiation or loading of treatment) or to use intervals of administration that avoid frequent excursions of circulating T into the supraphysiological range. Furthermore, the timing of assessment of potential behavioral changes should take into account the pharmacokinetics of individual T preparations in light of the fleeting nature of these end points.
Acknowledgements
This work was supported by the World Health Organization (program 96374 to F.C.W.W. and J.A.).
Abbreviations:
- AAS,
Androgenic anabolic steroid;
- APQ,
Aggressive Provocation Questionnaire;
- AQ,
Aggression Questionnaire;
- AQ-P,
Partner Aggression Questionnaire;
- CI,
confidence interval;
- POMS,
Profile of Mood States;
- T,
testosterone;
- TU,
T undecanoate.


