- Split View
-
Views
-
CiteCitation
Susan S. Harris; Vitamin D and African Americans, The Journal of Nutrition, Volume 136, Issue 4, 1 April 2006, Pages 1126–1129, https://doi.org/10.1093/jn/136.4.1126
Download citation file:
© 2018 Oxford University Press
Close -
Share
ABSTRACT
Vitamin D insufficiency is more prevalent among African Americans (blacks) than other Americans and, in North America, most young, healthy blacks do not achieve optimal 25-hydroxyvitamin D [25(OH)D] concentrations at any time of year. This is primarily due to the fact that pigmentation reduces vitamin D production in the skin. Also, from about puberty and onward, median vitamin D intakes of American blacks are below recommended intakes in every age group, with or without the inclusion of vitamin D from supplements. Despite their low 25(OH)D levels, blacks have lower rates of osteoporotic fractures. This may result in part from bone-protective adaptations that include an intestinal resistance to the actions of 1,25(OH)2D and a skeletal resistance to the actions of parathyroid hormone (PTH). However, these mechanisms may not fully mitigate the harmful skeletal effects of low 25(OH)D and elevated PTH in blacks, at least among older individuals. Furthermore, it is becoming increasingly apparent that vitamin D protects against other chronic conditions, including cardiovascular disease, diabetes, and some cancers, all of which are as prevalent or more prevalent among blacks than whites. Clinicians and educators should be encouraged to promote improved vitamin D status among blacks (and others) because of the low risk and low cost of vitamin D supplementation and its potentially broad health benefits.
There are several reasons to examine the vitamin D status and requirements of African Americans as a distinct group. First, they have lower levels of circulating 25-hydroxyvitamin D [25(OH)D]3 and a higher prevalence of vitamin D insufficiency compared with other American groups. Second, their risk for some major medical conditions associated with vitamin D status, including osteoporosis and diabetes, differs from that of others. Third, there is limited evidence that blacks may have adaptive responses to vitamin D insufficiency that reduce its deleterious effects on the skeleton.
Vitamin D acquisition.
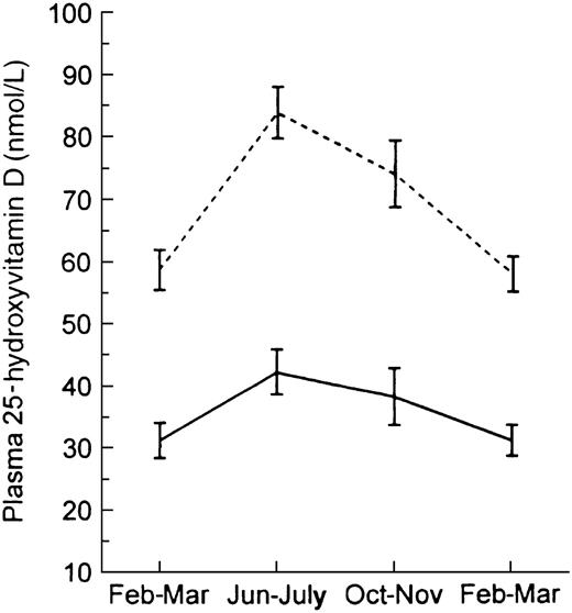
Parent vitamin D is obtained from sun exposure and diet and is converted in the liver to 25(OH)D, the primary storage form of the vitamin and the best clinical indicator of vitamin D status. Optimal blood levels of 25(OH)D with respect to skeletal health are a matter of current debate, but are likely to be in the range of at least 75–80 nmol/L (1,2). However, regardless of how vitamin D insufficiency is defined, it is far more prevalent among blacks than whites (3–5). For example, data from NHANES III show that, in the southern states, 53%–76% of non-Hispanic blacks (depending on sex and age) compared with 8%–33% of non-Hispanic whites had 25(OH)D concentrations below 50 nmol/L in the winter (4). The lower 25(OH)D of blacks and other groups with dark skin results primarily from the fact that pigmentation reduces vitamin D production in the skin. Individuals with dark skin can produce high 25(OH)D levels given sufficient UV exposure (6) but, under normal conditions at most latitudes in North America, even young, healthy blacks do not achieve optimal 25(OH)D concentrations at any time of year. This is illustrated by a study in young black and white Boston women measured four times over the period of 1 y (Fig. 1). The black women had much lower 25(OH)D levels all year long and smaller increases in 25(OH)D between winter and summer (5).
Mean (± SEM) seasonal change in 25(OH)D concentrations of 51 black (black line) and 39 white (dashed line) women adjusted for body weight and vitamin D intake. (Reproduced with permission from Ref. 5.)
Mean (± SEM) seasonal change in 25(OH)D concentrations of 51 black (black line) and 39 white (dashed line) women adjusted for body weight and vitamin D intake. (Reproduced with permission from Ref. 5.)
Low dietary intake of vitamin D also contributes to vitamin D insufficiency among blacks. The dietary reference intakes (DRIs) for vitamin D, published in 1997, range from 5–15 μg/d for children and adults, depending on age (7). Beginning at about the time of puberty, median usual vitamin D intakes of American blacks are below the DRI in every age group, with or without the inclusion of vitamin D from supplements (Table 1). These medians are 6%–31% lower than those of whites of comparable age and sex (8). More recent data (9) from the continuous NHANES survey (1999–2000) describing 1-d average intakes report similar racial disparities in vitamin D intake as in NHANES III (1988–1994) (8). For both surveys, the authors attribute the low intake of vitamin D to lactose intolerance and limited consumption of milk, milk products, and ready-to-eat fortified breakfast cereals by black men and women compared with their white counterparts (8,9). Furthermore, many experts now believe that intakes of 25 μg/d (1000 IU) or more may be needed for most people to achieve optimal blood levels of 25(OH)D (1,2). This is supported by a study in African American women aged 15–49 who took 10 μg/d (400 IU) of supplemental vitamin D (in addition to dietary vitamin D); 11% of the subjects had 25(OH)D levels ≤37.5 nmol/L, so a much higher percentage clearly had levels below the desirable 75–80 nmol/L range (4).
Median Vitamin D intakes among African Americans
| Subject | Dietary Reference Intake, μg/d1 | Intake from food alone, μg/d2 | Intake from food and supplements, μg/d2 |
|---|---|---|---|
| Females, y | |||
| 6–11 | 5 | 4.8 | 5.6 |
| 12–19 | 5 | 3.5 | 3.8 |
| 20–49 | 5 | 2.8 | 3.5 |
| ≥50 | 10–15 | 3.3 | 4.0 |
| Males | |||
| 6–11 | 5 | 5.5 | 6.1 |
| 12–19 | 5 | 4.7 | 4.9 |
| 20–49 | 5 | 3.7 | 4.2 |
| ≥50 | 10–15 | 3.4 | 3.8 |
Median Vitamin D intakes among African Americans
| Subject | Dietary Reference Intake, μg/d1 | Intake from food alone, μg/d2 | Intake from food and supplements, μg/d2 |
|---|---|---|---|
| Females, y | |||
| 6–11 | 5 | 4.8 | 5.6 |
| 12–19 | 5 | 3.5 | 3.8 |
| 20–49 | 5 | 2.8 | 3.5 |
| ≥50 | 10–15 | 3.3 | 4.0 |
| Males | |||
| 6–11 | 5 | 5.5 | 6.1 |
| 12–19 | 5 | 4.7 | 4.9 |
| 20–49 | 5 | 3.7 | 4.2 |
| ≥50 | 10–15 | 3.4 | 3.8 |
Vitamin D and osteoporosis.
Although it would seem that their lower 25(OH)D concentrations would put blacks at an increased risk for osteoporosis compared with whites, they actually have much lower rates of osteoporotic fracture (10,11). For example, the actuarial risk that a 65-y-old white woman will have a hip fracture by age 80 is 11% compared with only 4% for a 65-y-old black woman (10). This difference results from higher bone mineral density (BMD) beginning early in life (12–14) as well as from other factors such as bone geometry (15). The underlying reasons for the race difference in BMD are not well understood and are probably largely due to factors other than vitamin D status. However, there is some evidence that blacks may have adaptive responses to low 25(OH)D that reduce its harmful skeletal effects.
One potential adaptive response involves 1,25-dihydroxyvitamin D [1,25(OH)2D], the kidney metabolite of 25(OH)D and the most biologically active form of the vitamin. The relation between 25(OH)D and 1,25(OH)2D is complex because the latter is affected by calcium and phosphorus status, parathyroid hormone (PTH) levels, and kidney function, as well as the circulating level of 25(OH)D. Extremely low 25(OH)D may be associated with low 1,25(OH)2D due to lack of substrate (15), but moderately low 25(OH)D (e.g., 20–40 nmol/L) is often associated with increased 1,25(OH)2D, presumably due to increased PTH-stimulated kidney synthesis (16,17). We have only recently become aware of the influence of vitamin D status on PTH levels in general. In young and old adults of all races, low 25(OH)D is accompanied by secondary hyperparathyroidism (18), which may stimulate renal synthesis of the active form of vitamin D. As a group, blacks are observed to have higher circulating levels of PTH and, as in other groups with low 25(OH)D, they tend to have relatively high 1,25(OH)2D (3,5,18–21). However, there is some evidence that blacks may have an intestinal resistance to the actions of 1,25(OH)2D (22,23). Such an adaptation could benefit the skeleton because 1,25(OH)2D may have favorable effects on bone formation that are independent of the promotion of intestinal calcium absorption (24). More limited calcium absorption with normal renal function would theoretically protect against hypercalcemia, prevent down-regulation of 1,25(OH)2D by increased serum calcium, and thereby facilitate the higher 1,25(OH)2D levels that may be necessary for direct beneficial effects on bone.
Another potentially adaptive response among blacks may be a skeletal resistance to PTH-stimulated bone resorption (25,26). Young (5,21) and old (3,19) blacks tend to have higher PTH concentrations than whites, a difference that is only partially explained by their lower calcium intake and poorer vitamin D status (3). A skeletal resistance to PTH would improve the balance between the favorable kidney-mediated actions of PTH [increased production of 1,25(OH)2D and increased calcium reabsorption] and the unfavorable bone-resorptive effects.
Further work is needed to characterize the skeletal benefit of these apparently adaptive mechanisms. However, the beneficial effects may not fully mitigate the harmful skeletal effects of low 25(OH)D and elevated PTH in older blacks. In NHANES III, there was a positive association of 25(OH)D with hip BMD in adults aged 50 and older (Fig. 2). This association, although perhaps modestly weaker in blacks than whites or Mexican Americans, was observed in all groups and plateaued at the high 25(OH)D level of 90–100 nmol/L (27). In a smaller study, low 25(OH)D and secondary hyperparathyroidism were associated with both reduced BMD and increased bone turnover in elderly blacks (28). In contrast, a recent 3-y randomized, double-blind, placebo-controlled study found that daily vitamin D supplementation at the level of 20 μg (800 IU) for the first 2 y and 50 μg (2000 IU) for the third and final year had no effect on bone loss, bone turnover, or serum PTH levels in postmenopausal (50- to 75-y-old) black women (29). Mean baseline 25(OH)D concentrations in placebo- and vitamin D-supplemented women were 43 and 48 nmol/L, respectively, but the lack of a vitamin D effect was observed even in the subset of women with lower baseline 25(OH)D. Women in both vitamin D and placebo groups were given calcium supplements to achieve total daily calcium intakes of 1200 to 1500 mg/d, and it is plausible that consumption of calcium may have inhibited formation of the active metabolite of vitamin D and suppressed bone turnover independent of vitamin D status. Actual calcium intakes of black women are only about 500–800 mg/d, and it is unknown whether vitamin D supplementation would be effective at these lower calcium intakes (29).
Regression plot of BMD by 25(OH)D level in older adults (>50 y). Circles represent whites, squares represent Mexican Americans, and triangles represent blacks. (Reproduced with permission from Ref. 27.)
Regression plot of BMD by 25(OH)D level in older adults (>50 y). Circles represent whites, squares represent Mexican Americans, and triangles represent blacks. (Reproduced with permission from Ref. 27.)
Vitamin D and other conditions.
The importance of vitamin D in skeletal health has been known for many years, but it is becoming increasingly apparent that vitamin D also protects against other chronic conditions. The classic target organs for 1,25(OH)2D are the kidney, gut, and liver, but vitamin D receptors can also be found in many nonclassic cells and tissues, including lymphocytes, pancreatic islet cells, aortic endothelial cells, and arterial plaque macrophages (30–32). Furthermore, 1,25(OH)2D can be locally synthesized by and responsive to numerous cell types, including macrophages and hematopoietic target cells at inflammation sites (33). Vitamin D in various forms appears to protect against inflammatory and autoimmune conditions, including periodontal disease (34), Sjogren's syndrome (35), type 1 and type 2 diabetes (36–38), multiple sclerosis (39,40), and rheumatoid arthritis (41). It may protect against cardiovascular disease (42–47) through its anti-inflammatory or other effects and may reduce the risk for colorectal cancer (48,49), breast cancer (50–52), and prostate cancer (53,55) by promoting cell differentiation and down-regulating hyperproliferative cell growth (56–58).
Heart disease, cancer, and cerebrovascular disease are the leading causes of death in older adults, including both blacks and whites. Diabetes is the next most important cause of death in older blacks (59) and, in persons aged 65 and older, the death rate from diabetes is nearly twice as high in blacks as in whites (59). Mortality rates from prostate cancer are significantly higher among black men compared with white men and are inversely related to the availability of ultraviolet radiation, in other words, the availability of vitamin D from sun exposure (55). Thus, although blacks have a relatively low prevalence of osteoporosis, potentially beneficial effects of vitamin D on other, more prevalent, conditions suggest that the overall benefit of improving vitamin D status may be essential for chronic disease prevention in blacks.
Conclusions and policy implications.
A high percentage of American blacks have suboptimal blood levels of 25(OH)D and levels that are well below those of American whites. Poor vitamin D status may increase the risk of blacks as well as others for osteoporosis, cardiovascular disease, cancer, diabetes, and other serious chronic conditions. African Americans should be included in well-designed intervention studies that test the benefit of improved vitamin D status on both skeletal and nonskeletal outcomes. However, even before such research is conducted, clinicians and educators should be encouraged to promote improved vitamin D status among adult blacks (and others), as they have for black infants and children (60), because of the low risk and low cost of vitamin D supplementation and its potential health benefits.
Abbreviations
- 25(OH)D
25-hydroxyvitamin D
- 1,25(OH)2D
1,25-dihydroxyvitamin D
- BMD
bone mineral density
- DRI
dietary reference intakes
- PTH
parathyroid hormone


