- Split View
-
Views
-
CiteCitation
Peter M. Bramley; Regulation of carotenoid formation during tomato fruit ripening and development, Journal of Experimental Botany, Volume 53, Issue 377, 1 October 2002, Pages 2107–2113, https://doi.org/10.1093/jxb/erf059
Download citation file:
© 2018 Oxford University Press
Close -
Share
Abstract
Carotenoid biosynthesis and its regulation during tomato fruit development and ripening is a complex process that occurs alongside the differentiation of chloroplasts into chromoplasts and changes to the organoleptic properties of the fruit. Unusually for plants, the ripe tomato fruit accumulates large amounts of lycopene, as the pattern of gene expression found in green fruit changes during fruit ripening. Although the control of gene expression is thought to be the main regulatory mechanism for these alterations in carotenoids, post‐transcriptional regulation has also been reported, including feedback inhibition. The use of genetic manipulation of carotenogenesis in tomato has been used primarily for biotechnological reasons, but it has also facilitated investigations into these regulatory mechanisms, as well as into the effects of such perturbations on other isoprenoids such as gibberellins, tocopherols and sterols.
Received 12 April 2002; Accepted 12 June 2002
Biological and nutritional importance of carotenoids
Carotenoids are isoprenoid molecules that are common to all photosynthetic tissues. They are divided into the hydrocarbon carotenes, such as lycopene and β‐carotene (Fig. 1) or xanthophylls, typified by lutein (Fig. 1). Coloured carotenoids are also found in fruits, flowers and roots, where they probably act as attractants to pollinators and for seed dispersal. In the chloroplast they participate in light harvesting in photosynthetic membranes and also protect the photosynthetic apparatus from excessive light energy by quenching triplet chlorophylls, superoxide anion radicals and singlet oxygen (Niyogi, 1999). Furthermore, they are essential components of some pigment–protein complexes (Moskalenko and Karapetyan, 1996) and are precursors of abscisic acid (Parry et al., 1990).
Dietary carotenoids fulfil essential requirements for human and animal nutrition. β‐Carotene is the most potent dietary precursor of vitamin A, the deficiency of which leads to xerophthalmia, blindness and premature death (Mayne, 1996). Vitamin A deficiency has been reported as the most common dietary problem affecting children worldwide, with some 1.2 million deaths annually among children aged 1–4 years (Humphrey et al., 1992). In this context, efforts to manipulate rice genetically in order to produce β‐carotene (Ye et al., 2000) have received considerable attention (Potrykus, 2001). Other carotenoids have been shown to alleviate age‐related diseases when taken in sufficient quantities in the diet, probably because of their powerful properties as lipophilic antioxidants (Mordi, 1993). For example, zeaxanthin and lutein offer protection against macular degeneration (Seddon et al., 1994), whilst there is a considerable body of evidence to link a high intake of tomatoes (and presumably lycopene) to a reduced incidence of prostate cancer (Giovannucci, 1999). More recently, evidence has been presented to show that tomato sauce reduces the amount of DNA damage in white blood cells and prostate tissues of prostate cancer victims (Chen et al., 2001). Since the tomato fruit is virtually the sole dietary source of lycopene, its formation in the tomato has been the subject of considerable attention, as has attempts to increase the levels by genetic manipulation or conventional plant breeding.
Carotenoid biosynthesis in higher plants
Early studies on the biosynthesis of carotenoids in plants used biochemical approaches and the analysis of intermediates in naturally occurring mutants, especially the tomato (Porter and Lincoln, 1950). These pioneering studies have been reviewed comprehensively (Jones and Porter, 1986). All carotenoids are derived from isopentenyl diphosphate (IPP, Fig. 2) and are produced in plastids. Genetic and molecular studies have established that nuclear genes encode all the enzymes of the pathway. This multidisciplinary approach has led to the cloning of most of the genes from higher plants. The experimental approaches to cloning the carotenoid genes have been reviewed by Hirschberg (2001).
Plants synthesize carotenoids via the recently identified 1‐deoxy‐d‐xylulose‐5‐phosphate (DOXP) pathway rather than the mevalonic acid pathway as was assumed for many years. Whilst both pathways produce IPP, the latter is responsible for the formation of sterols, sesquiterpenoids and triterpenoids in the cytosol, whilst the DOXP pathway leads to the formation of plastidic isoprenoids, such as carotenoids, phytol, plastoquinone‐9, and diterpenes (Schwender et al., 1996; Lichtenthaler, 1999). Not all the biosynthetic steps have been elucidated, but an outline of current understanding of the pathway is shown in Fig. 3.
IPP is isomerized to its allylic isomer dimethylallyl diphosphate (DMAPP), the activated substrate for the formation of the C20 geranylgeranyl diphosphate (GGPP), the precursor of the first C40 carotenoid, phytoene (Fig. 2). IPP isomerase is found in both the cytosol and plastid and there are two IpI genes in plants (Cunningham and Gantt, 1998). A single enzyme, GGPP synthase (Ggps), catalyses the formation of GGPP from IPP and DMAPP. At least five Ggps genes are expressed in different tissues of Arabidopsis, but it is not known how many are linked to carotenoid biosynthesis (Okada et al., 2000). It is tempting to consider that different GGPP synthases are responsible for the branches from GGPP to each isoprenoid class (Fig. 2). The condensation of two molecules of GGPP to form 15‐cis phytoene is catalysed by phytoene synthase, PSY (Fig. 4). The enzyme is very well conserved among archea, bacteria and eukaryotic organisms. The tomato contains two genes, Psy‐1 and Psy‐2. The former encodes the fruit‐ripening‐specific isoform, whilst Psy‐2 predominates in green tissues, including mature green fruit and has no role in carotenogenesis in ripening fruit (Fraser et al., 1999). A mutation in Psy‐1 causes a yellow flesh phenotype (the r,r mutant) and an absence of carotenoids in ripe fruit, an effect that can be mimicked with an antisense Psy‐1 transformation (Bird et al., 1991; Bramley et al., 1992).
Two structurally and functionally similar membrane‐bound enzymes, phytoene desaturase (PDS) and ζ‐carotene desaturase (ZDS), convert phytoene into lycopene, via ζ‐carotene (Fig. 4). These two FAD‐containing enzymes require at least plastoquinone (Mayer et al., 1992; Norris et al., 1995) and a plastid terminal oxidase (Carol and Kuntz, 2001) as electron acceptors. By contrast, the bacterial crtI gene encodes a single desaturase that converts phytoene into all‐trans lycopene (Fraser et al., 1992). The phylogenetic relationships between the various carotene desaturases have been reviewed (Sandmann, 1994). The isolation of a carotene isomerase gene from Synechocystis (Breitenbach et al., 2001) and tomato (Isaacson et al., 2002) has finally established the mechanism by which cis‐trans isomerizations occur during the desaturation of phytoene into lycopene.
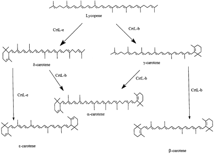
The cyclization of lycopene creates a series of carotenes that have one or two rings of either the β‐ or ϵ‐ type. Lycopene β‐cyclase (LCY‐B/CRTL‐E) catalyses a two‐step reaction that leads to β‐carotene (two β‐rings, Fig. 1), whereas lycopene ϵ‐cyclase (LCY‐E/CRTL‐E) creates one ϵ‐ring to produce δ‐carotene (Fig. 5). It is assumed that α‐carotene (β, ϵ‐carotene, the precursor of the major leaf xanthophyll, lutein) is formed by the action of both enzymes. These enzymes in tomato show a large amount of structural resemblance and both contain FAD/NAD(P)‐binding sequences at the amino termini. Unusually, tomato contains two lycopene β‐cyclases, LCY‐B, as described above, and also CYC‐B, a chromoplast‐specific cyclase (Ronen et al., 2000). They show a 53% identity at the amino acid level. Intriguingly, CYC‐B shows a far greater identity to CCS of pepper, leading to speculation of a common ancestral gene (Ronen et al., 2000; Hirschberg, 2001). Another carotenoid gene, neoxanthin synthase (NSY) from tomato is closely related to LCY‐B and CCS (Bouvier et al., 2000). This enzyme catalyses the conversion of violaxanthin to neoxanthin. LCY catalyses a simplified version of the reaction catalysed by NSY and CCS, suggesting that these enzymes were remodelled from LCY during higher plant evolution to create novel oxidized carotenoids. The importance of CYC‐B in regulating lycopene accumulation in ripening tomato fruit will be described later.
Xanthophylls are formed by the oxygenation of carotenes, typically by the addition of hydroxyl, epoxy or keto groups. Hydroxylation at 3C and 3C′ positions is carried out by two types of enzymes; one specific for β‐rings and one for ϵ‐rings (Sun et al., 1996; Pogson et al., 1996). The β‐carotene hydroxylases require ferredoxin and iron (Bouvier at al., 1998). There are two β‐carotene hydroxylases in tomato (Hirschberg, 1998), one expressed in green tissue and one in the flower (Ronen et al., quoted by Hirschberg, 2001). Subsequent reactions to form other xanthophylls, and their interconversion in the xanthophyll cycle, are described by Hirschberg (2001). The formation of ABA from the oxidative cleavage of 9‐cis‐epoxy carotenoids is catalysed by dioxygenases (Schwartz et al., 1997, 2001).
Regulation of carotenoid biosynthesis during tomato fruit development and ripening
Since carotenoids are just one class of isoprenoids (Fig. 2), the regulation of their formation must involve the co‐ordinated flux of isoprenoid units into the C40 carotenoids as well as the other branches of the isoprenoid pathway. The discovery of gene families for several of the steps in these pathways (e.g. HMG CoA reductase, GGPP synthase, phytoene synthase) implies unique roles for each member of the family. This has been well documented for multiple forms of HMG CoA reductase (Chappell, 1995), but an understanding of the functions of isoenzymes in later steps remains fragmentary. However, the traditional view of subcellular compartmentation of isoprenoid formation (Gray, 1987) is probably an oversimplification. Although carotenoids are formed in plastids, it is likely that exchanges of cytoplasmic and plastidic metabolites occur and that these exchanges vary depending upon the type and developmental stage of the tissue (reviewed by McCaskill and Croteau, 1998).
Since carotenoids are an essential part of the pigment–protein complexes in thylakoids, the regulation of carotenogenesis in green tissues must be linked to the formation of chlorophylls, proteins, lipids, and to chloroplast development itself. This highly regulated process is poorly understood. It is known that light, and its intensity, are involved in the regulation of carotenoid formation in the chloroplast. Although expression of carotenoid genes does occur in etiolated plants, their synthesis is stimulated on transfer to light. It has been reported that IPP isomerase activity increases when maize etioplasts are transferred to the light (Albrecht and Sandmann, 1994), and Psy mRNA levels increase in the light due to a phytochrome‐mediated regulation. By contrast, the expression of Ggps and Pds remain constant (von Lintig et al., 1997). The concentration and composition of xanthophylls, especially those of the violaxanthin cycle, is affected by light intensity (Demmig‐Adams et al., 1996). Hirschberg (2001) reports that shifting either Arabidopsis or tomato plants from low light to strong light caused a 5‐fold increase in the ratio of Lcy‐b mRNA and Lcy‐e mRNA, suggesting that xanthophyll composition can be modulated by the fluxes in the carotene pathway. This supports the results of studies with mutants of Arabidopsis that lack Lcy‐e and have no lutein in the light‐harvesting antenna (Pogson et al., 1996). The lutein is replaced by other carotenoids, with no apparent detrimental effects to the plant.
Carotenogenesis in ripening fruit (and flowers) is controlled by regulatory mechanisms that are distinct from those in photosynthetic tissues (Thelander et al., 1986). Carotenoid formation during tomato fruit ripening has been studied extensively and has become the best model system for other chromoplast‐containing tissues. During ripening the concentration of carotenoids increases between 10‐ and 14‐fold, due mainly to the accumulation of lycopene (Fraser et al., 1994). The tomato is unusual in this respect, as very few other fruit accumulate lycopene. At the breaker stage of ripening, the red colour of lycopene begins to appear, the chlorophyll content decreases and the organoleptic properties of the fruit change. Higher expression of isoprenoid genes in the central pathway has been found at this stage of fruit development, notably DOXP synthase (Lois et al., 2000). This has led to the suggestion that the DOXP pathway may be crucial in the overall regulation of lycopene formation in tomato fruit. At this same stage, mRNA levels of Psy‐1 and Pds increase significantly (Pecker et al., 1992; Giuliano et al., 1993; Fraser et al., 1994; Corona et al., 1996). At the same time, the mRNAs of both lycopene cyclases (Lcy‐b and ‐e) disappear (Pecker et al., 1996; Ronen et al., 1999). These changes in gene expression show that transcriptional regulation is involved in the accumulation of lycopene in tomato fruit. Differential gene expression has also been implicated in the accumulation of δ‐carotene in fruits of the Delta tomato mutant, which results from increased transcription of Lcy‐e (Ronen et al., 1999) and in the formation of β‐carotene rather than lycopene in the high‐β mutant due to the up‐regulation of the Cyc‐b gene (Ronen et al., 2000). The high pigment (hp) locus in tomato also affects the levels of total carotenoids. Analysis of the hp‐2 mutant has shown that it is involved in phytochrome signalling pathways (Mustilli et al., 1999).
Although control of gene expression at the transcriptional level is a key regulatory mechanism controlling carotenogenesis in chromoplasts, it is not the only one. Post‐transcriptional regulation of carotenogenic enzymes has been found in chromoplasts of Narcissus. Both PSY and PDS were detected in inactive forms in the soluble fraction, but in active forms when membrane‐bound (Al‐Babili et al., 1996). In addition, substrate specificity of the β‐ and ϵ‐ lycopene cyclases may control the proportions of the cyclic carotenoids in plants (Cunningham et al., 1996). It has also been established that sequestration of carotenoids in non‐photosynthetic tissues is important in their accumulation, as opposed to their synthesis (Deruere et al., 1994; Vishnevetsky et al., 1999).
The pathway may also be regulated by feedback inhibition by end‐products. Inhibition of lycopene cyclization in tomato leaves causes increased expression of both Pds and Psy‐1 (Giuliano et al., 1993; Corona et al., 1996). This hypothesis is supported by studies using carotenoid biosynthesis inhibitors in which treated tissue accumulated more total carotenoids than controls (Bramley, 1993). The higher concentration of lycopene in old‐gold and old‐gold crimson mutants of tomato, compared to the wild type, may be a consequence of the lack of β‐carotene due to the mutated second β‐cyclase gene and thus an increase in enzyme activity of earlier enzymes in the pathway. In all of these examples, the molecular mechanism remains to be established. ABA has been implicated, although Arabidopsis mutants, impaired in ABA synthesis, do not show elevated levels of carotenoids (Rock and Zeevaart, 1991). Finally, it is likely that metabolite channelling and functional complexes of protein partners are also involved in the efficient flux of metabolites in to the carotenoid pathway, as evidenced by the properties of the two phytoene synthases in tomato (Fraser et al., 1999).
Genetic modification of carotenogenesis in tomato
Metabolic engineering of plants to produce novel compounds or to improve the production of existing compounds has made significant progress since the mid‐1980s (DellaPenna, 2001). The availability of a large number of carotenoid genes and efficient protocols for transformation (Lessard et al., 2002) has enabled several plant species to be genetically modified with respect to carotenogenesis. These include rice (Ye et al., 2000), Canola (Shewmaker et al., 1999) and the tomato. There is a growing commercial interest in the production of so‐called ‘natural’ carotenoids, as opposed to their chemical synthesis, for use in human nutrition, as colourants and as antioxidants. In the case of tomato, there are several reports of genetic modifications that have changed the carotenoid levels of fruit. These studies have also facilitated an understanding of the regulatory mechanisms that control carotenogenesis, as they have produced plants with perturbed fluxes within the pathway.
The first target for the genetic modification of tomato carotenoids was the phytoene synthase step (Fig. 4). Based upon enzyme activities and gene expression, it was shown that Psy‐1 was significantly up‐regulated at the breaker stage of fruit ripening (Fraser et al., 1994). Transformation with tomato Psy‐1 cDNA, using a constitutive promoter produced pleiotrophic effects such as premature pigmentation of seed coats and cotyledons (Truesdale, 1994) as well as depletion in gibberellin levels as a consequence of the redirection of GGPP into phytoene (Fray et al., 1995). These plants were dwarf in stature. A more recent attempt to manipulate this step has been made using the crtB (phytoene synthase) gene from Erwinia. In this case, fruit‐specific expression was achieved with the polygalacturonase promoter, and the Psy‐1 transit sequence used to target the CRTB protein to the chromoplast. Total fruit carotenoids were increased some 2–4‐fold, with no effect on other isoprenoids (Fraser et al., 2002). In vitro assays showed that the phytoene synthase enzyme activity was located in the plastid and had increased 5–10‐fold, i.e. a far greater increase than that for total carotenoids. Metabolic control analyses of the wild type and transgenic lines have indicated why this is the case. Although phytoene synthase is the regulatory step in control fruit, in the transformants the flux coefficient was significantly reduced, indicating that the regulatory step had been shifted to another step(s) in the pathway. When the same gene was used to transform Canola, the seeds contained some 50‐fold more carotenoid than the wild type (Shewmaker et al., 1999). Metabolic control analyses were not reported in this study.
β‐Carotene in tomato fruit has been increased by various genetic modifications. Constitutive expression of the Erwinia crtI gene (phytoene desaturase) caused a 3‐fold elevation in β‐carotene, but an unexpected reduction in the total carotenoid levels (Römer et al., 2000). Gene expression studies showed that the endogenous lycopene cyclases were up‐regulated in the transformants, thus causing the formation of β‐carotene rather than lycopene as had been predicted. A critique of this conclusion has been published by Giuliano et al. (2000). The reduction in total carotenoids is thought to be a consequence of feedback regulation from β‐carotene or one of its metabolites. Increases in the β‐carotene levels of tomato fruit have also been achieved following transformation with the native Lcy‐b coupled to the tomato Pds promoter (3.8‐fold; Rosati et al., 2000), but an even greater increase were obtained with the Cyc‐b gene (Ronen et al., 2000). In these two examples, there was no decrease in total carotenoids, unlike that with crtI. The reason for these differences has yet to be established.
Conclusions
Since the elucidation of the carotenogenic pathway in plants, there has been a steady increase in understanding the complexities of regulation of the pathway, especially in non‐photosynthetic tissues such as tomato fruit. However, far more information is needed before these control mechanisms can be fully understood. The biochemical analysis of transgenic lines containing additional carotenoid genes should be a major part of these endeavours, especially measurements of flux coefficients, metabolite channelling and the interactions between carotenogenic enzymes and other protein partners.
Acknowledgements
The author gratefully acknowledges the financial support of the BBSRC, European Union and Syngenta as well as the contributions made by past and present members of his research group.
Fig. 1. Structures of typical carotenoids.
Fig. 1. Structures of typical carotenoids.
Fig. 2. The isoprenoid biosynthetic pathway.
Fig. 2. The isoprenoid biosynthetic pathway.
Fig. 3. The 1‐deoxy‐d‐xylulose 5‐phosphate (DOXP) biosynthetic pathway. This is also called the non‐mevalonate or the 2C‐methyl‐d‐erythritol‐4‐phosphate (MEP) pathway. Abbreviations: GA‐3‐P, glyceraldehyde 3‐phosphate; MEP, 2C‐methyl‐d‐erythritol‐4‐phos phate; CDP‐MEP, 4‐diphosphocytidyl‐2C‐methylerythritol; CDP‐ME‐2‐P, 4‐diphosphocytidyl‐2C‐methylerythritol 2‐phosphate; MECDP, 2C‐methyl‐d‐erythritol 2,4‐cyclodiphosphate; DMAPP, dimethylallyl diphosphate; IPP, isopentenyl diphosphate.
Fig. 3. The 1‐deoxy‐d‐xylulose 5‐phosphate (DOXP) biosynthetic pathway. This is also called the non‐mevalonate or the 2C‐methyl‐d‐erythritol‐4‐phosphate (MEP) pathway. Abbreviations: GA‐3‐P, glyceraldehyde 3‐phosphate; MEP, 2C‐methyl‐d‐erythritol‐4‐phos phate; CDP‐MEP, 4‐diphosphocytidyl‐2C‐methylerythritol; CDP‐ME‐2‐P, 4‐diphosphocytidyl‐2C‐methylerythritol 2‐phosphate; MECDP, 2C‐methyl‐d‐erythritol 2,4‐cyclodiphosphate; DMAPP, dimethylallyl diphosphate; IPP, isopentenyl diphosphate.
Fig. 4. Phytoene formation and desaturation reactions to form lycopene.
Fig. 4. Phytoene formation and desaturation reactions to form lycopene.
Fig. 5. Cyclization reactions from lycopene. Abbreviations: CrtL‐e, lycopene ϵ‐cyclase; CrtL‐b, lycopene β‐cyclase.
Fig. 5. Cyclization reactions from lycopene. Abbreviations: CrtL‐e, lycopene ϵ‐cyclase; CrtL‐b, lycopene β‐cyclase.






Comments