- Split View
-
Views
-
CiteCitation
Alex B. Lopez, Joyce Van Eck, Brian J. Conlin, Dominick J. Paolillo, Jennifer O'Neill, Li Li; Effect of the cauliflower Or transgene on carotenoid accumulation and chromoplast formation in transgenic potato tubers, Journal of Experimental Botany, Volume 59, Issue 2, 1 February 2008, Pages 213–223, https://doi.org/10.1093/jxb/erm299
Download citation file:
© 2018 Oxford University Press
Close -
Share
Abstract
Transgenic plants have facilitated our understanding of the functional roles of genes and the metabolic processes affected in plants. Recently, the Or gene was isolated from an orange cauliflower mutant and it was shown that the Or gene could serve as a novel genetic tool to enrich carotenoid content in transgenic potato tubers. An in-depth characterization of these Or transgenic lines is presented here. It was found that the Or transgene may facilitate the identification of potential rate-limiting step(s) of the carotenoid biosynthetic pathway. The Or transgenic tubers accumulated not only increased levels of carotenoids that normally are present in the controls, but also three additional metabolite intermediates of phytoene, phytofluene, and ζ-carotene, indicating that the desaturation steps became limiting following the expression of the Or transgene. Moreover, we observed that long-term cold storage greatly enhanced carotenoid content in the Or transgenic tubers to a level of 10-fold over controls. Expression of the Or transgene in the transgenic plants caused no dramatic changes in the transcript levels of the endogenous carotenoid biosynthetic genes, which is in agreement with the Or gene not directly controlling carotenoid biosynthesis. Microscope analysis revealed that the Or transgene conferred the formation of chromoplasts containing carotenoid sequestering structures in a heterologous system. Such structures were not observed in tubers of potato cultivars that accumulate high levels of carotenoids. Collectively, these results provide direct evidence demonstrating that the Or gene indeed controls chromoplast differentiation and that regulation of chromoplast formation can have a profound effect on carotenoid accumulation in plants.
Introduction
Carotenoids are the red, orange, and yellow pigments that are widely distributed in many flowers, fruits, and vegetables. Carotenoids are synthesized in nearly all types of plastids in plants, but accumulate in high levels in chromoplasts and in chloroplasts (Howitt and Pogson, 2006). Chromoplasts develop a unique mechanism to accumulate massive amounts of carotenoids by generating novel carotenoid sequestering structures (Bartley and Scolnik, 1995; Vishnevetsky et al., 1999). These structures probably serve as a metabolic sink to sequester carotenoids and may also prevent the end-products of the carotenoid biosynthetic pathway from overloading chromoplast membranes, the site of carotenoid biosynthesis (Deruere et al., 1994; Rabbani et al., 1998). Thus, creating such a metabolic sink can exert a positive effect on carotenoid accumulation.
Carotenoids possess numerous health benefits to humans (Fraser and Bramley, 2004). An increasing interest in carotenoids as nutritional sources of vitamin A and health-promoting compounds has prompted a significant effort in the development of food crops rich in carotenoids (Fraser and Bramley, 2004; Taylor and Ramsay, 2005; Botella-Pavia and Rodriguez-Concepcion, 2006; Sandmann et al., 2006). The availability of a large number of carotenogenic genes from a variety of organisms facilitates the recent progress in quantitative and qualitative manipulation of this pathway (Fig. 1). Some successful examples include a profound production of β-carotene in Golden Rice (Paine et al., 2005), ‘golden’ potato (Diretto et al., 2007), and orange tomato (D'Ambrosio et al., 2004), a significant increase in total carotenoid levels in tomato fruit (Fraser et al., 2002), potato tuber (Ducreux et al., 2005), and canola seed (Shewmaker et al., 1999), and the accumulation of astaxanthin, a high-economic value carotenoid, in potato tuber (Gerjets and Sandmann, 2006) and in model plants (Mann et al., 2000; Stalberg et al., 2003; Ralley et al., 2004). Except in a few cases (Davuluri et al., 2005; Giliberto et al., 2005), the current approach to the metabolic engineering of carotenoids has mainly been focused on the manipulation of carotenoid biosynthetic enzymes to alter the metabolic flux through the pathway.
Carotenoid biosynthesis in plants. Carotenoid intermediates that accumulated only in the Or transgenic potato tubers but not in the controls are boxed. The abbreviations for the metabolic intermediates and genes are as follows: G3P, D-glyceraldehyde-3-phosphate; DXP, 1-deoxy-D-xylulose-5-phosphate; MEP, 2-C-methyl-D-erythritol-4-phosphate; IPP, isopentenyl diphosphate; DMAP, dimethylallyl diphosphate; GGPP, geranylgeranyl diphosphate; ABA, abscisic acid; DXS, 1-deoxy-D-xylulose-5-phosphate synthase; DXR, 1-deoxy-D-xylulose-5-phosphate reductase; IPI, isopentenyl diphosphate isomerase; GGPS, geranylgeranyl diphosphate synthase; PSY, phytoene synthase; PDS, phytoene desaturase; ZDS, ζ-carotene desaturase; CRTISO, carotene isomerase; LCY-e, lycopene ϵ-cyclase; LCY-b, lycopene β-cyclase; CHY-e, ϵ-carotene hydroxylase; CHY-b, β-carotene hydroxylase; VDE, violaxanthin de-epoxidase; ZEP, zeaxanthin epoxidase; NXS, neoxanthin synthase; NCED, 9-cis-epoxycarotenoid dioxygenase.
Carotenoid biosynthesis in plants. Carotenoid intermediates that accumulated only in the Or transgenic potato tubers but not in the controls are boxed. The abbreviations for the metabolic intermediates and genes are as follows: G3P, D-glyceraldehyde-3-phosphate; DXP, 1-deoxy-D-xylulose-5-phosphate; MEP, 2-C-methyl-D-erythritol-4-phosphate; IPP, isopentenyl diphosphate; DMAP, dimethylallyl diphosphate; GGPP, geranylgeranyl diphosphate; ABA, abscisic acid; DXS, 1-deoxy-D-xylulose-5-phosphate synthase; DXR, 1-deoxy-D-xylulose-5-phosphate reductase; IPI, isopentenyl diphosphate isomerase; GGPS, geranylgeranyl diphosphate synthase; PSY, phytoene synthase; PDS, phytoene desaturase; ZDS, ζ-carotene desaturase; CRTISO, carotene isomerase; LCY-e, lycopene ϵ-cyclase; LCY-b, lycopene β-cyclase; CHY-e, ϵ-carotene hydroxylase; CHY-b, β-carotene hydroxylase; VDE, violaxanthin de-epoxidase; ZEP, zeaxanthin epoxidase; NXS, neoxanthin synthase; NCED, 9-cis-epoxycarotenoid dioxygenase.
Recently, the Or gene was isolated from an orange cauliflower (Brassica oleracea var. botrytis) mutant that confers high level accumulation of β-carotene in tissues normally devoid of this pigment (Lu et al., 2006). The Or gene was found to represent a novel gene mutation in controlling carotenoid accumulation in plants. It encodes a DnaJ cysteine-rich domain-containing protein. The Or gene appears to trigger the differentiation of proplastids and/or non-coloured plastids into chromoplasts which provides a metabolic sink for carotenoid accumulation (Lu et al., 2006). The Or gene has been introduced in a tuber-specific manner into potato (Solanum tuberosum L. cv. Desiree) and transgenic tubers have been produced with 6-fold increased levels of total carotenoids (Lu et al., 2006). The results demonstrated that the Or gene can serve as a new molecular tool to manipulate carotenoid content and composition in food crops via regulation of a different metabolic process.
To examine the effect of the Or transgene on carotenoid accumulation in a heterologous system further, in-depth biochemical, molecular, and cytological characterizations of the Or transgenic lines were performed. It was found that the Or transgenic tubers accumulated three additional metabolic intermediates, which were undetectable in the non-transformed and vector-only controls. The accumulation of these metabolic intermediates was probably due to the limited activities of downstream enzymes in the pathway following the expression of the Or transgene. Furthermore, it was observed that long-term cold storage greatly increased carotenoid accumulation in the Or transgenic tubers. Rather than enhancing the expression of endogenous carotenoid biosynthetic genes, the Or transgene conferred carotenoid accumulation in association with the formation of carotenoid-sequestering structures in chromoplasts. Examination of tubers from two dark-yellow potato cultivars showed that high levels of carotenoid accumulation per se did not lead to the formation of chromoplasts. Taken together, these results provide the first direct evidence demonstrating that induction of chromoplast formation to create a metabolic sink exerts a profound effect on carotenoid accumulation.
Materials and methods
Construction of plasmids
To create the construct to target the Or gene into potato tubers (Solanum tuberosum L. cv. Desiree), the Or gene was fused behind the potato granule-bound starch synthase (GBSS) promoter (van der Steege et al., 1992). The GBSS promoter (GenBank Accession No. A23740) was amplified from DNA of potato plants using Pfu Ultra DNA polymerase (Stratagene, La Jolla, CA) with a forward primer (5′-GATCTGACAAGTCAAGAAA ATTGCCATTGAAG-3′) and a reverse primer containing an NcoI site (5′-TACCATGGTGATGTGTGGTCTACAAAAAGGGGAATC-3′). The amplified product was cloned into pBluescript KS– to make an intermediate construct of pBS-GBSS. The cauliflower Or gene (GenBank Accession No. DQ482460) starting from the ATG start codon was amplified using Pfu Ultra DNA polymerase. The fragment of the Or gene was ligated downstream of the GBSS promoter of pBS-GBSS, creating pBS-GBSS-Or. The GBSS-Or fragment was then digested out with SalI and SacI and cloned into the binary vector pBI101 to generate the final construct of pBI-GBSS-OR for transformation. The nucleotide sequences of cloning sites were confirmed by DNA sequencing. The construct and empty vector were transformed into Agrobacterium tumefaciens strain LBA4404 by electroporation.
Potato transformation
Agrobacterium-mediated transformation of potato was carried out following the method as described by Van Eck et al. (2007). Briefly, approximately 100 stem internode segments of 0.5–1 cm in length were excised from 6-week-old in vitro-grown plants and incubated in 50 ml of Agrobacterium solution containing the Or construct or empty vector for 10 min. The explants were induced for shoot formation and maintained at 24 °C under a photoperiod of 16/8 h light/dark at 74 μE m−2 s−1.
Positive transformants were confirmed by PCR amplification of the selective marker. The Or transgenic lines, vector-only controls, and non-transformed controls were transferred into soil and grown in a greenhouse at 24 °C under a cycle of 14/10 h light/dark for approximately 3 months. Tubers were harvested, washed, and stored in a cold room at 5 °C. A select number of newly-harvested tubers were cut and frozen at –80 °C for HPLC and molecular analysis.
Carotenoid analysis
Carotenoids from potato leaves and tubers were extracted and analysed essentially according to Norris et al. (1995) with slight modifications. Briefly, 200 mg of leaf tissue or 500 mg of fresh peeled tuber was ground with a mortar and pestle in 0.8 ml 80% acetone. The homogenates was transferred into a 2.2 ml centrifuge tube, extracted with 0.5 ml ethyl acetate by vortexing for 30 s, and partitioned by adding 0.5 ml H2O, followed by centrifuged at high speed for 5 min. The carotenoid containing upper phase was transferred into a new tube and dried under nitrogen gas.
The dried sample was resuspended in 200 μl ethyl acetate. Separation and identification of carotenoids were carried out on a Spherisorb ODS2 C18 reverse phase column (5 mm particle size) using a Waters HPLC system with a diode array detector (Waters, Milford, MA). Quantification of the relative concentration of individual carotenoids was achieved by comparison of the individual peak areas with a calibration curve constructed from commercial β-carotene and lutein standards (Sigma-Aldrich, St Louis, MO). All samples were analysed in triplicate and more than three tubers from each line were examined.
Nucleotide extraction and semi-quantitative RT-PCR
Genomic DNA (10 μg) was isolated as previously described (Li et al., 2001). Total RNA from potato leaves and tubers (100 mg) was extracted using Trizol (Invitrogen, Carlsbad, CA) and the Plant RNeasy Mini Kit (Qiagen, Valencia, CA), respectively, following the manufacturers’ protocols. Total RNA (5 μg) was treated with DNase I (Ambion Inc., Austin, Texas) and reverse-transcribed using oligo dT(15–18) as primer and SuperScript III reverse transcriptase (Invitrogen, Carlsbad, CA). The cDNA concentrations in different samples were normalized based on the amplification of 18S rRNA with primers of 18sF (5′-CGGAGAATTAGGGTTCGA-3′) and 18sR (5′-CGGAGAATTAGGGTTCGA-3′). The Or transgene was amplified using primers of BoOrF1 (5′-ATCTCGAGGGAATCAAAGGAAGGGA-3′) and BoOrR1 (5′-CGACGAAACAAGATCTTCTTGC-3′). The number of cycles for amplification of the target genes was optimized to ensure amplification in a linear range.
Quantitative RT-PCR
To examine the expression of the potato endogenous carotenoid biosynthetic genes, the cDNA samples were used as templates in real-time PCR assay in the presence of a SYBR Green PCR Master Mix (Applied Biosystems, Foster City, CA) and carotenogenic gene-specific primers (Table 1). The reactions were performed in an Applied Biosystems 7900HT Fast Real-Time PCR System (Applied Biosystems, Foster City, CA). Thermal cycling conditions consisted of a first step of denaturation at 95 °C for 10 min, followed by 40 cycles of denaturation for 15 s at 95 °C and annealing/extension for 1 min at 60 °C. Relative expression levels were calculated using the ΔΔCT method (http://www.appliedbiosystems.com) as described by Lyi et al. (2007). All data were normalized first with the level of the 18S internal transcript control and then with the expression of the non-transformed controls. Values reported represent the averages of three independent trials with two biological repeats.
Primers used for quantitative real-time RT-PCR analysis of the endogenous carotenogenic genes in potato
| Primer | Sequence | Genbank accession No. |
| DXS F | GCCGCCATTGATGACAGACCA | AF143812 |
| DXS R | TCCCCCTCAATCAATATCCTACCT | |
| DXR F | TGGCCCTCAATTTGCTTTCTCCTA | BE924542 |
| DXR R | CCCCACTGCACCCCTTTCTTCT | |
| IPI F | TGAGGATGTCCCAGTTGA | BG097786 |
| IPI R | CACGGACCATGAATAGTAGAT | |
| GGPS F | AATCCTTCCCCGCTGTCTTTC | BQ506777 |
| GGPS R | GGTGGTGCGTCTGAGGAGGAG | |
| PSY1 F | CGCAAGATACTGGACGAGATT | TC122598 |
| PSY1 R | TTTGCTAGTGGGGAAGAAGTTGAC | |
| PDS F | AATCACCGAAAGCAGGCATCT | TC28515 |
| PDS R | AATTTGTGGTGGTTTGGCAGTTAC | |
| ZDS F | TATTCGGGCTGATTTGGACTCT | BG592944 |
| ZDS R | AGCTTTGGCCCCCGATAA | |
| CrtISO F | TTGGCAGCAGTAGGACGTAAAC | TC117194 |
| CrtISO R | TCCCTTCCTTTTCATGTGGAA | |
| LCY-e F | TGGCCACAAGAACGAAAACGAC | AF321537 |
| LCY-e R | GCGCGGAAAAATGACCTTATC | |
| LCY-b F | TTATGGCATTTTGGCTGAAGTG | X86452 |
| LCY-b R | TGGCATTGCATAAAGAAAAGTTG | |
| CHY-b F | TTGGCTAGGAAGAAATCGGAGAG | BQ116393 |
| CHY-b R | CGCCATAACAGCCATAGAAGTAAT | |
| VDE F | ATTTCCCCTTCACTCAACTCTTTC | BE343837 |
| VDE R | GACCACCAACTCCAACCTCAT | |
| ZEP F | CTTCCCTACACGTTTTCATCCATC | Z83835 |
| ZEP R | TTCGCGCTCTTCCTTCCTTTCA | |
| NXS F | GGTGAGTCGTCCTGTGTTATCGTA | AJ272136 |
| NXS R | GGAATCCGCGGAAGTGGTC | |
| NCED1 F | GTGGGCTCTTCGGACTTATTG | AY662342 |
| NCED1 R | AGATCGCCGGTGGGTGTTAC | |
| NCED2 F | GGCTCCCCTGTGATTTAT | AY662343 |
| NCED2 R | AACGTTTCGGGTGATTCT | |
| 18S F | CATGGCCGTTCTTAGTTGGTGGAG | X67238 |
| 18S R | AAGAAGCTGGCCGCGAAGGGATAC |
| Primer | Sequence | Genbank accession No. |
| DXS F | GCCGCCATTGATGACAGACCA | AF143812 |
| DXS R | TCCCCCTCAATCAATATCCTACCT | |
| DXR F | TGGCCCTCAATTTGCTTTCTCCTA | BE924542 |
| DXR R | CCCCACTGCACCCCTTTCTTCT | |
| IPI F | TGAGGATGTCCCAGTTGA | BG097786 |
| IPI R | CACGGACCATGAATAGTAGAT | |
| GGPS F | AATCCTTCCCCGCTGTCTTTC | BQ506777 |
| GGPS R | GGTGGTGCGTCTGAGGAGGAG | |
| PSY1 F | CGCAAGATACTGGACGAGATT | TC122598 |
| PSY1 R | TTTGCTAGTGGGGAAGAAGTTGAC | |
| PDS F | AATCACCGAAAGCAGGCATCT | TC28515 |
| PDS R | AATTTGTGGTGGTTTGGCAGTTAC | |
| ZDS F | TATTCGGGCTGATTTGGACTCT | BG592944 |
| ZDS R | AGCTTTGGCCCCCGATAA | |
| CrtISO F | TTGGCAGCAGTAGGACGTAAAC | TC117194 |
| CrtISO R | TCCCTTCCTTTTCATGTGGAA | |
| LCY-e F | TGGCCACAAGAACGAAAACGAC | AF321537 |
| LCY-e R | GCGCGGAAAAATGACCTTATC | |
| LCY-b F | TTATGGCATTTTGGCTGAAGTG | X86452 |
| LCY-b R | TGGCATTGCATAAAGAAAAGTTG | |
| CHY-b F | TTGGCTAGGAAGAAATCGGAGAG | BQ116393 |
| CHY-b R | CGCCATAACAGCCATAGAAGTAAT | |
| VDE F | ATTTCCCCTTCACTCAACTCTTTC | BE343837 |
| VDE R | GACCACCAACTCCAACCTCAT | |
| ZEP F | CTTCCCTACACGTTTTCATCCATC | Z83835 |
| ZEP R | TTCGCGCTCTTCCTTCCTTTCA | |
| NXS F | GGTGAGTCGTCCTGTGTTATCGTA | AJ272136 |
| NXS R | GGAATCCGCGGAAGTGGTC | |
| NCED1 F | GTGGGCTCTTCGGACTTATTG | AY662342 |
| NCED1 R | AGATCGCCGGTGGGTGTTAC | |
| NCED2 F | GGCTCCCCTGTGATTTAT | AY662343 |
| NCED2 R | AACGTTTCGGGTGATTCT | |
| 18S F | CATGGCCGTTCTTAGTTGGTGGAG | X67238 |
| 18S R | AAGAAGCTGGCCGCGAAGGGATAC |
Primers were designed based on the program of the DNAStar PrimerSelect program (Lasergene, Madison, WI) to generate 50–150 bp PCR products.
Primers used for quantitative real-time RT-PCR analysis of the endogenous carotenogenic genes in potato
| Primer | Sequence | Genbank accession No. |
| DXS F | GCCGCCATTGATGACAGACCA | AF143812 |
| DXS R | TCCCCCTCAATCAATATCCTACCT | |
| DXR F | TGGCCCTCAATTTGCTTTCTCCTA | BE924542 |
| DXR R | CCCCACTGCACCCCTTTCTTCT | |
| IPI F | TGAGGATGTCCCAGTTGA | BG097786 |
| IPI R | CACGGACCATGAATAGTAGAT | |
| GGPS F | AATCCTTCCCCGCTGTCTTTC | BQ506777 |
| GGPS R | GGTGGTGCGTCTGAGGAGGAG | |
| PSY1 F | CGCAAGATACTGGACGAGATT | TC122598 |
| PSY1 R | TTTGCTAGTGGGGAAGAAGTTGAC | |
| PDS F | AATCACCGAAAGCAGGCATCT | TC28515 |
| PDS R | AATTTGTGGTGGTTTGGCAGTTAC | |
| ZDS F | TATTCGGGCTGATTTGGACTCT | BG592944 |
| ZDS R | AGCTTTGGCCCCCGATAA | |
| CrtISO F | TTGGCAGCAGTAGGACGTAAAC | TC117194 |
| CrtISO R | TCCCTTCCTTTTCATGTGGAA | |
| LCY-e F | TGGCCACAAGAACGAAAACGAC | AF321537 |
| LCY-e R | GCGCGGAAAAATGACCTTATC | |
| LCY-b F | TTATGGCATTTTGGCTGAAGTG | X86452 |
| LCY-b R | TGGCATTGCATAAAGAAAAGTTG | |
| CHY-b F | TTGGCTAGGAAGAAATCGGAGAG | BQ116393 |
| CHY-b R | CGCCATAACAGCCATAGAAGTAAT | |
| VDE F | ATTTCCCCTTCACTCAACTCTTTC | BE343837 |
| VDE R | GACCACCAACTCCAACCTCAT | |
| ZEP F | CTTCCCTACACGTTTTCATCCATC | Z83835 |
| ZEP R | TTCGCGCTCTTCCTTCCTTTCA | |
| NXS F | GGTGAGTCGTCCTGTGTTATCGTA | AJ272136 |
| NXS R | GGAATCCGCGGAAGTGGTC | |
| NCED1 F | GTGGGCTCTTCGGACTTATTG | AY662342 |
| NCED1 R | AGATCGCCGGTGGGTGTTAC | |
| NCED2 F | GGCTCCCCTGTGATTTAT | AY662343 |
| NCED2 R | AACGTTTCGGGTGATTCT | |
| 18S F | CATGGCCGTTCTTAGTTGGTGGAG | X67238 |
| 18S R | AAGAAGCTGGCCGCGAAGGGATAC |
| Primer | Sequence | Genbank accession No. |
| DXS F | GCCGCCATTGATGACAGACCA | AF143812 |
| DXS R | TCCCCCTCAATCAATATCCTACCT | |
| DXR F | TGGCCCTCAATTTGCTTTCTCCTA | BE924542 |
| DXR R | CCCCACTGCACCCCTTTCTTCT | |
| IPI F | TGAGGATGTCCCAGTTGA | BG097786 |
| IPI R | CACGGACCATGAATAGTAGAT | |
| GGPS F | AATCCTTCCCCGCTGTCTTTC | BQ506777 |
| GGPS R | GGTGGTGCGTCTGAGGAGGAG | |
| PSY1 F | CGCAAGATACTGGACGAGATT | TC122598 |
| PSY1 R | TTTGCTAGTGGGGAAGAAGTTGAC | |
| PDS F | AATCACCGAAAGCAGGCATCT | TC28515 |
| PDS R | AATTTGTGGTGGTTTGGCAGTTAC | |
| ZDS F | TATTCGGGCTGATTTGGACTCT | BG592944 |
| ZDS R | AGCTTTGGCCCCCGATAA | |
| CrtISO F | TTGGCAGCAGTAGGACGTAAAC | TC117194 |
| CrtISO R | TCCCTTCCTTTTCATGTGGAA | |
| LCY-e F | TGGCCACAAGAACGAAAACGAC | AF321537 |
| LCY-e R | GCGCGGAAAAATGACCTTATC | |
| LCY-b F | TTATGGCATTTTGGCTGAAGTG | X86452 |
| LCY-b R | TGGCATTGCATAAAGAAAAGTTG | |
| CHY-b F | TTGGCTAGGAAGAAATCGGAGAG | BQ116393 |
| CHY-b R | CGCCATAACAGCCATAGAAGTAAT | |
| VDE F | ATTTCCCCTTCACTCAACTCTTTC | BE343837 |
| VDE R | GACCACCAACTCCAACCTCAT | |
| ZEP F | CTTCCCTACACGTTTTCATCCATC | Z83835 |
| ZEP R | TTCGCGCTCTTCCTTCCTTTCA | |
| NXS F | GGTGAGTCGTCCTGTGTTATCGTA | AJ272136 |
| NXS R | GGAATCCGCGGAAGTGGTC | |
| NCED1 F | GTGGGCTCTTCGGACTTATTG | AY662342 |
| NCED1 R | AGATCGCCGGTGGGTGTTAC | |
| NCED2 F | GGCTCCCCTGTGATTTAT | AY662343 |
| NCED2 R | AACGTTTCGGGTGATTCT | |
| 18S F | CATGGCCGTTCTTAGTTGGTGGAG | X67238 |
| 18S R | AAGAAGCTGGCCGCGAAGGGATAC |
Primers were designed based on the program of the DNAStar PrimerSelect program (Lasergene, Madison, WI) to generate 50–150 bp PCR products.
Light microscopic study
To minimize the number of large amyloplasts in the microscope field and to keep plastids intact, fresh potato tuber tissue was gently homogenized in a plastid isotonic buffer containing 0.33 M sorbitol, 0.1 M TRIS–HCl, pH 8.0, 5 mM MgCl2, 10 mM NaCl, and 1× Plant Protease Inhibitor Cocktail (Sigma-Aldrich, St Louis, MO) and centrifuged at 500 g for 2 min. The upper suspensions were dropped on microscope slides under cover slips, and examined with an Olympus BX60 microscope equipped with a Sony CCD colour camera. Images were recorded and exported as reported previously (Li et al., 2001). For comparison, fresh carrot root tissue was treated and examined in a similar way.
Results
The Or transformants accumulated high levels of carotenoids including β-carotene and three other intermediates
The cauliflower Or gene imposes its strong effect on carotenoid accumulation in the apical shoot meristems and the outer periphery of curd in the cauliflower mutant (Li et al., 2001). The Or gene appears to function in triggering the differentiation of proplastids or non-coloured plastids rich in meristematic tissues into chromoplasts (Lu et al., 2006). To examine whether the Or gene could also induce carotenoid accumulation in a storage tissue, the Or genomic DNA under the control of the potato granule-bound starch synthase (GBSS) promoter was introduced into S. tuberosum cv. Desiree, a light yellow-fleshed potato cultivar. More than 80 primary Or transformants (T0) were generated and 44 of them along with three vector-only transgenic control lines and two non-transformed plants were transferred to a greenhouse for tuber production. As reported in the previous study (Lu et al., 2006), visual examination of the flesh colour of these tubers revealed that the Or transgenic lines exhibited a deep orange yellow-flesh hue. HPLC analysis showed that while the tubers from non-transformed and vector-only controls were found to accumulate mainly violaxanthin and lutein, expression of the Or transgene in the transgenic lines led to enhanced levels of violaxanthin, lutein, and β-carotene with a total carotenoid level of approximately 6-fold higher than the non-transformed or vector-only controls (Lu et al., 2006). To examine the effect of the Or transgene on carotenoid accumulation further, three Or transgenic lines (L29, L55, and L88), along with a vector-only and a non-transformed control were selected for further investiagtion. The transgenic lines of L29, L88, and L55 contained one, two, and three copies of the Or transgene, respectively (data not shown).
To confirm that the increased carotenoid accumulation was indeed due to the expression of the Or transgene in these transformants, semi-quantitative RT-PCR was carried out using the cauliflower Or gene-specific primers (see Materials and methods). As expected, the cauliflower Or transcript was detected in the Or transgenic lines, but was not present in the non-transformed or vector-only controls (Fig. 2A). In addition, the Or transgene was also expressed in young leaf tissue of these Or transgenic lines (Fig. 2B). This was expected, as expression of transgenes under the control of GBSS in leaf tissues was reported previously (van der Steege et al., 1992; Tenorio et al., 2003).
Analyses of the Or transgenic lines. (A) and (B) RT-PCR analysis of the expression of the Or transcript in potato tubers (A) and leaves (B) using the primers as described in the Materials and methods. The 18S rRNA serves as an internal control. NT, non-transformed control; VC vector-only transformed control; L29, L55, L88, individual Or transgenic lines.
Analyses of the Or transgenic lines. (A) and (B) RT-PCR analysis of the expression of the Or transcript in potato tubers (A) and leaves (B) using the primers as described in the Materials and methods. The 18S rRNA serves as an internal control. NT, non-transformed control; VC vector-only transformed control; L29, L55, L88, individual Or transgenic lines.
Further HPLC examination of these transgenic lines revealed that the Or transgenic tubers not only accumulated increased levels of violaxanthin, lutein, and β-carotene in comparison with vector controls (Fig. 3A, B), but also contained significant levels of three other metabolic intermediates of phytoene, phytofluene, and ζ-carotene (Fig. 3C), which were not detected in the controls. Phytoene and phytofluene are substrates for PDS, and ζ-carotene is the substrate for ZDS in plants (Fig. 1). The accumulation of these metabolic intermediates suggests that either the enzymes involved in the desaturation steps or the factors affecting desaturase activities became limiting in potato tubers, at least in this potato cultivar.
Representative HPLC elution profiles of carotenoids accumulated in the newly-harvested (A, B, C) and long-term stored (D, E, F) transgenic tubers. The wavelengths used to detect carotenoid pigments are indicated along the elution profiles. (A, D) Vector-only controls. (B, E) The Or transgenic lines. (C, F) The carotenoid intermediates identified in the Or transgenic lines. Major peaks were identified as: 1. violaxanthin; 2, lutein; 3, β-carotene; 4, phytoene; 5, phytofluene; 6, ζ-carotene; 7, unidentified carotenoid. The inserts in (C) show the absorption spectra of the three metabolic intermediates.
Representative HPLC elution profiles of carotenoids accumulated in the newly-harvested (A, B, C) and long-term stored (D, E, F) transgenic tubers. The wavelengths used to detect carotenoid pigments are indicated along the elution profiles. (A, D) Vector-only controls. (B, E) The Or transgenic lines. (C, F) The carotenoid intermediates identified in the Or transgenic lines. Major peaks were identified as: 1. violaxanthin; 2, lutein; 3, β-carotene; 4, phytoene; 5, phytofluene; 6, ζ-carotene; 7, unidentified carotenoid. The inserts in (C) show the absorption spectra of the three metabolic intermediates.
Quantification of the relative carotenoid content by HPLC showed that the tubers from the vector-only and non-transformed controls contained approximately 5.5 μg g−1 dry weight of total carotenoids, which was comparable with the levels reported by other groups for this potato cultivar (Ducreux et al., 2005; Diretto et al., 2007). The tubers from Or transgenic lines, however, were found to contain up to 31 μg g−1 dry weight of total carotenoids (Table 2), a level about 6-fold higher than the controls.
Carotenoid content and composition from newly-harvested Desiree tubers
| Line | Viol | Lut | β-Car | Phy | Phyf | ζ-Car | Total |
| NT | 1.38±0.56 | 3.42±0.77 | 0.00 | 0.00 | 0.00 | 0.00 | 5.41±1.12 |
| VC | 1.65±0.35 | 3.38±0.70 | 0.00 | 0.00 | 0.00 | 0.00 | 5.55±0.96 |
| L29 | 0.85±0.78 | 5.16±1.07 | 5.01±1.06 | 10.04±2.83 | 4.30±1.37 | 2.75±0.83 | 28.22±6.60 |
| L55 | 2.10±1.11 | 9.49±1.98 | 4.18±0.93 | 7.93±1.82 | 3.39±0.65 | 1.68±0.22 | 28.83±4.01 |
| L88 | 3.42±1.37 | 5.76±2.18 | 3.75±0.67 | 11.11±3.16 | 3.89±1.53 | 2.01±0.46 | 31.19±8.23 |
| Line | Viol | Lut | β-Car | Phy | Phyf | ζ-Car | Total |
| NT | 1.38±0.56 | 3.42±0.77 | 0.00 | 0.00 | 0.00 | 0.00 | 5.41±1.12 |
| VC | 1.65±0.35 | 3.38±0.70 | 0.00 | 0.00 | 0.00 | 0.00 | 5.55±0.96 |
| L29 | 0.85±0.78 | 5.16±1.07 | 5.01±1.06 | 10.04±2.83 | 4.30±1.37 | 2.75±0.83 | 28.22±6.60 |
| L55 | 2.10±1.11 | 9.49±1.98 | 4.18±0.93 | 7.93±1.82 | 3.39±0.65 | 1.68±0.22 | 28.83±4.01 |
| L88 | 3.42±1.37 | 5.76±2.18 | 3.75±0.67 | 11.11±3.16 | 3.89±1.53 | 2.01±0.46 | 31.19±8.23 |
The levels of major carotenoids identified in the tubers are presented in μg g−1 DW. Values are the means ±SD of three replicates from at least three individual mature tubers. NT, non-transformed control; VC vector-only transformed control; L29, L55, L88, individual Or transgenic lines.
Carotenoid content and composition from newly-harvested Desiree tubers
| Line | Viol | Lut | β-Car | Phy | Phyf | ζ-Car | Total |
| NT | 1.38±0.56 | 3.42±0.77 | 0.00 | 0.00 | 0.00 | 0.00 | 5.41±1.12 |
| VC | 1.65±0.35 | 3.38±0.70 | 0.00 | 0.00 | 0.00 | 0.00 | 5.55±0.96 |
| L29 | 0.85±0.78 | 5.16±1.07 | 5.01±1.06 | 10.04±2.83 | 4.30±1.37 | 2.75±0.83 | 28.22±6.60 |
| L55 | 2.10±1.11 | 9.49±1.98 | 4.18±0.93 | 7.93±1.82 | 3.39±0.65 | 1.68±0.22 | 28.83±4.01 |
| L88 | 3.42±1.37 | 5.76±2.18 | 3.75±0.67 | 11.11±3.16 | 3.89±1.53 | 2.01±0.46 | 31.19±8.23 |
| Line | Viol | Lut | β-Car | Phy | Phyf | ζ-Car | Total |
| NT | 1.38±0.56 | 3.42±0.77 | 0.00 | 0.00 | 0.00 | 0.00 | 5.41±1.12 |
| VC | 1.65±0.35 | 3.38±0.70 | 0.00 | 0.00 | 0.00 | 0.00 | 5.55±0.96 |
| L29 | 0.85±0.78 | 5.16±1.07 | 5.01±1.06 | 10.04±2.83 | 4.30±1.37 | 2.75±0.83 | 28.22±6.60 |
| L55 | 2.10±1.11 | 9.49±1.98 | 4.18±0.93 | 7.93±1.82 | 3.39±0.65 | 1.68±0.22 | 28.83±4.01 |
| L88 | 3.42±1.37 | 5.76±2.18 | 3.75±0.67 | 11.11±3.16 | 3.89±1.53 | 2.01±0.46 | 31.19±8.23 |
The levels of major carotenoids identified in the tubers are presented in μg g−1 DW. Values are the means ±SD of three replicates from at least three individual mature tubers. NT, non-transformed control; VC vector-only transformed control; L29, L55, L88, individual Or transgenic lines.
To determine whether the high-carotenoid trait in the Or transgenic tubers would be stable in a subsequent generation, the carotenoid levels were examined in tubers of vegetatively reproduced plants as potato is propagated vegetatively. Tubers from the T0 generation of these potato lines were stored at room temperature for 2–3 months until they sprouted and were then transplanted into soil in a greenhouse. HPLC analysis of tubers from the subsequent generation showed that these tubers also contained enhanced levels of carotenoids, including the accumulation of β-carotene and the three other metabolic intermediates of phytoene, phytofluene, and ζ-carotene (data not shown). These results demonstrate that the trait of the Or-induced carotenoid accumulation in the transgenic tubers is stable in a subsequent generation and not due to non-specific transgenic effects.
Lutein, β-carotene, violaxanthin, and neoxanthin are the most abundant carotenoids in leaves of many higher plants (Britton, 1995). The relative composition of these carotenoids is remarkably conserved and required for optimal function of photosynthesis (Pogson et al., 1998). Like the case that the Or gene does not affect carotenoid content and composition in leaf tissue of the Or cauliflower mutant (Li et al., 2001), the carotenoid composition and relative ratio of individual carotenoids were similar in leaves between the Or transformants and non-transformed control plants. No significant variation in carotenoid content was observed in leaves of these transgenic lines compared with the control plants (data not shown).
Long-term cold storage increased carotenoid levels in the Or transgenic tubers
Carotenoids in Desiree potato tubers were reported to be stable with few changes in total carotenoid content during long-term cold storage (Morris et al., 2004). Interestingly, visual inspection of the cross-section of the Or transgenic tubers stored at 5 °C revealed that these tubers appeared to have a deeper orange-yellow colour, more pronounced than the newly-harvested tubers. To examine whether the enhanced colour was the result of increased carotenoid levels and/or alteration of carotenoid composition, pigments from tubers stored at 5 °C for 6 months were extracted and analysed by HPLC. The long-term cold storage of mature tubers appeared not to cause significant loss of tuber water content under our storage conditions (fresh/dry ratio was 4.98±0.08 for fresh tubers and 4.74±0.51 for stored tubers).
Analysis of the long-term stored tubers from non-transformed and vector-only controls revealed that the total carotenoid content of these control tubers exhibited few changes during the cold storage with violaxanthin and lutein as major carotenoids (Fig. 3D). By contrast, the total carotenoid levels in the tubers of the three Or transgenic lines increased significantly, with an overall increase of approximately 2-fold during storage compared with newly-harvested tubers. As a result, the Or transgenic tubers exhibited a more than 10-fold increase of total carotenoid content than the control tubers after 6 months of cold storage (Table 3). Noticeably, a much larger β-carotene peak compared with the peaks of violaxanthin and lutein was observed (Fig. 3E). The β-carotene levels in these Or transgenic lines, especially in line L29 and line L88, were 3–5-fold higher than those first observed in the fresh tubers. In addition, phytofluene and ζ-carotene levels were also increased in the Or transgenic tubers during cold storage (Fig. 3F; Table 3).
Carotenoid content and composition of six-month cold stored Desiree tubers
| Line | Viol | Lut | β-Car | Phy | Phyf | ζ-Car | Total |
| NT | 1.40±0.27 | 4.54±0.62 | 0.00 | 0.00 | 0.00 | 0.00 | 5.94±1.89 |
| VC | 1.27±0.30 | 4.23±0.45 | 0.00 | 0.00 | 0.00 | 0.00 | 5.50±1.77 |
| L29 | 1.52±0.52 | 5.90±1.09 | 17.20±9.95 | 11.52±3.35 | 11.04±3.94 | 9.25±2.87 | 56.42±19.60 |
| L55 | 3.71±0.50 | 10.77±1.86 | 13.48±6.53 | 12.56±1.76 | 11.21±2.91 | 9.56±2.22 | 61.29±14.12 |
| L88 | 3.88±2.22 | 7.21±1.71 | 17.46±6.64 | 15.08±9.12 | 13.46±8.20 | 14.02±5.63 | 71.58±29.71 |
| Line | Viol | Lut | β-Car | Phy | Phyf | ζ-Car | Total |
| NT | 1.40±0.27 | 4.54±0.62 | 0.00 | 0.00 | 0.00 | 0.00 | 5.94±1.89 |
| VC | 1.27±0.30 | 4.23±0.45 | 0.00 | 0.00 | 0.00 | 0.00 | 5.50±1.77 |
| L29 | 1.52±0.52 | 5.90±1.09 | 17.20±9.95 | 11.52±3.35 | 11.04±3.94 | 9.25±2.87 | 56.42±19.60 |
| L55 | 3.71±0.50 | 10.77±1.86 | 13.48±6.53 | 12.56±1.76 | 11.21±2.91 | 9.56±2.22 | 61.29±14.12 |
| L88 | 3.88±2.22 | 7.21±1.71 | 17.46±6.64 | 15.08±9.12 | 13.46±8.20 | 14.02±5.63 | 71.58±29.71 |
The levels of major carotenoids identified in the tubers are presented in μg g−1 DW. Values are the means ±SD of three replicates from at least three individual mature tubers.
Carotenoid content and composition of six-month cold stored Desiree tubers
| Line | Viol | Lut | β-Car | Phy | Phyf | ζ-Car | Total |
| NT | 1.40±0.27 | 4.54±0.62 | 0.00 | 0.00 | 0.00 | 0.00 | 5.94±1.89 |
| VC | 1.27±0.30 | 4.23±0.45 | 0.00 | 0.00 | 0.00 | 0.00 | 5.50±1.77 |
| L29 | 1.52±0.52 | 5.90±1.09 | 17.20±9.95 | 11.52±3.35 | 11.04±3.94 | 9.25±2.87 | 56.42±19.60 |
| L55 | 3.71±0.50 | 10.77±1.86 | 13.48±6.53 | 12.56±1.76 | 11.21±2.91 | 9.56±2.22 | 61.29±14.12 |
| L88 | 3.88±2.22 | 7.21±1.71 | 17.46±6.64 | 15.08±9.12 | 13.46±8.20 | 14.02±5.63 | 71.58±29.71 |
| Line | Viol | Lut | β-Car | Phy | Phyf | ζ-Car | Total |
| NT | 1.40±0.27 | 4.54±0.62 | 0.00 | 0.00 | 0.00 | 0.00 | 5.94±1.89 |
| VC | 1.27±0.30 | 4.23±0.45 | 0.00 | 0.00 | 0.00 | 0.00 | 5.50±1.77 |
| L29 | 1.52±0.52 | 5.90±1.09 | 17.20±9.95 | 11.52±3.35 | 11.04±3.94 | 9.25±2.87 | 56.42±19.60 |
| L55 | 3.71±0.50 | 10.77±1.86 | 13.48±6.53 | 12.56±1.76 | 11.21±2.91 | 9.56±2.22 | 61.29±14.12 |
| L88 | 3.88±2.22 | 7.21±1.71 | 17.46±6.64 | 15.08±9.12 | 13.46±8.20 | 14.02±5.63 | 71.58±29.71 |
The levels of major carotenoids identified in the tubers are presented in μg g−1 DW. Values are the means ±SD of three replicates from at least three individual mature tubers.
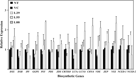
Expression of carotenoid biosynthetic genes
Alteration of expression of some carotenoid biosynthetic genes has been shown to affect the transcript levels of other endogenous carotenoid genes in plants (Romer et al., 2000; Diretto et al., 2006). To examine the effect of the Or transgene on the expression of carotenogenic genes in the transgenic plants, the transcript levels of a panel of genes associated with carotenoid biosynthesis were examined by quantitative real-time RT-PCR. The genes examined include DXS, DXR in the 2-C-methyl-D-erythritol-4-phosphate (MEP) pathway, IPI, GGPS in the isoprenoid pathway, PSY, PDS, ZDS, CRTISO, LCY-b, LYC-e, CHY-b, CHY-e, ZEP, VDE, NXS in the carotenoid pathway, and NCED-1 and NCED-2 for ABA biosynthesis (Fig. 1).
The expression of these biosynthetic genes in tubers of these transgenic lines compared with the non-transformed and vector-only controls is shown in Fig. 4. A slight increase in the mRNA levels of some genes was observed in the Or transgenic lines. However, the same extent of increased expression of these genes was not observed in all the three Or transgenic lines examined. Thus, it is unlikely that expression of the Or transgene exhibits a specific effect on inducing the expression of some particular genes. A generally higher expression of several genes was observed in the line L88.
Quantitative RT-PCR analysis of the expression of endogenous carotenoid biosynthetic genes in transgenic potato tubers. The levels of expression were normalized to 18S rRNA relative to the non-transformed controls which was set to 1. Data are presented as means ±SD from two biological repeats each consisting of three experimental replicates. Biosynthetic gene symbols are as described in Fig. 1 legend.
Quantitative RT-PCR analysis of the expression of endogenous carotenoid biosynthetic genes in transgenic potato tubers. The levels of expression were normalized to 18S rRNA relative to the non-transformed controls which was set to 1. Data are presented as means ±SD from two biological repeats each consisting of three experimental replicates. Biosynthetic gene symbols are as described in Fig. 1 legend.
Chromoplasts and carotenoid sequestering structures in tubers of the Or transformants
The Or gene appears to exert its functional role in associating with the differentiation of non-coloured plastids into chromoplasts in apical shoot meristems and inflorescence meristems in cauliflower (Lu et al., 2006). To see if expression of the Or transgene in a storage tissue of a heterologous system also induced the formation of chromoplasts with the associated carotenoid accumulation, the cellular contents of these transgenic tubers were examined by light microscopy. Mature potato tubers consist largely of parenchyma cells with numerous amyloplasts that prevent the observation of other organelles by direct observation of hand-sections of fresh tuber materials. Therefore, fresh tissue of potato tubers were gently homogenized in a plastid isotonic buffer and centrifuged at low speed to remove large amyloplasts (see Materials and methods). The upper suspensions were examined under light microscopy.
All materials contained various sizes of starch grains either contained in amyloplasts or free in the suspension liquid. The non-transformed or vector-only controls contained these structures exclusively (Fig. 5A), whereas the Or transgenic lines showed additional orange bodies (Fig. 5B, C). These orange bodies with diffuse outlines represent intact organelles of chromoplasts containing orange pigments. A large number of more sharply outlined orange structures (Fig. 5D) including helical sheets and fragments thereof (Fig. 5E, F) were also found in the suspension. These more sharply outlined orange structures were most likely released from broken chromoplasts.
Microscope images of tissue lysates from potato tubers and carrot roots. (A) Lysate samples from tubers of vector-only control showing various sizes of amyloplasts and/or free starch grains. (B, C) Lysate samples from the newly harvested Or transgenic tubers of line L88, each containing an orange chromoplast (i.e. plastid membrane probably intact). (D) Numerous carotenoid-containing structures (accumulated along the edge of the cover slip) in preparation from the Or transgenic tubers of L88. (E, F) Carotenoid helix and flattened sheet, respectively, in preparation from the Or transgenic tubers. The helix was formed from a long sheet wrapped around the longitudinal axis of the structure. The flattened sheet in (F) could be a fragment of a helix structure. (G) Preparation from orange carrot root for comparison with (D). (H, I) Carotenoid-containing structures from carrot for comparison with (E) and (F), respectively. (J, K) Lysate samples from tubers of dark yellow-flesh potato cultivars, 91E22 and Yema de Huevo, respectively. Sparse coloured membrane structures were observed among the various sizes of amyloplasts and/or free starch grains. (L) Typical view of lysates from the dark yellow-flesh potato cultivars along the edge of the cover slip, which showed an absence of carotenoid-sequestering structures as seen in the Or transgenic tuber (D) or in carrot root (G). The bar in each figure represents 10 μm.
Microscope images of tissue lysates from potato tubers and carrot roots. (A) Lysate samples from tubers of vector-only control showing various sizes of amyloplasts and/or free starch grains. (B, C) Lysate samples from the newly harvested Or transgenic tubers of line L88, each containing an orange chromoplast (i.e. plastid membrane probably intact). (D) Numerous carotenoid-containing structures (accumulated along the edge of the cover slip) in preparation from the Or transgenic tubers of L88. (E, F) Carotenoid helix and flattened sheet, respectively, in preparation from the Or transgenic tubers. The helix was formed from a long sheet wrapped around the longitudinal axis of the structure. The flattened sheet in (F) could be a fragment of a helix structure. (G) Preparation from orange carrot root for comparison with (D). (H, I) Carotenoid-containing structures from carrot for comparison with (E) and (F), respectively. (J, K) Lysate samples from tubers of dark yellow-flesh potato cultivars, 91E22 and Yema de Huevo, respectively. Sparse coloured membrane structures were observed among the various sizes of amyloplasts and/or free starch grains. (L) Typical view of lysates from the dark yellow-flesh potato cultivars along the edge of the cover slip, which showed an absence of carotenoid-sequestering structures as seen in the Or transgenic tuber (D) or in carrot root (G). The bar in each figure represents 10 μm.
Orange carrot roots are known to accumulate high levels of α- and β-carotene in chromoplasts as carotenoid sheets and/or crystals to sequester large amounts of carotenoids (Frey-Wyssling and Schwegler, 1965). To see if the orange structures from the Or transgenic tubers share similarity with those from carrot roots, the lysates from carrot roots were examined. Comparison of the orange structures from the Or transgenic potato tubers with those from carrot revealed that the features in common between them include colour, overall range of forms (Fig. 5G versus 5D), dichroism, and the angles formed between the edges of the flat sheets, which makes these fragments appear somewhat like parallelograms. The similarity suggests that like carrot, the carotenoids from the Or transgenic potato tubers accumulate in these carotenoid-sequestering structures.
Two dark-yellow-flesh potato cultivars 91E22 and Yema de Huevo accumulate exceedingly high levels of carotenoids (Brown et al., 2005). To examine whether high levels of carotenoid accumulation leads to the formation of chromoplasts containing carotenoid sequestering structures, the tubers of 91E22 and Yema de Huevo were also examined under a light microscope. Although sparse coloured membrane structures could be observed in the lysates samples, no chromoplasts or similar carotenoid sequestering structures found in the Or transgenic lines were detected in the fresh tubers of the dark-yellow-flesh potato cultivars (Fig. 5J–L). The sparse coloured membranes were probably the broken amyloplast membranes, which were reported to be the site of carotenoid synthesis and accumulation in potato tubers (Fishwick and Wright, 1980). These results suggest that high levels of carotenoid accumulation do not necessarily result in the formation of chromoplasts.
Discussion
The cauliflower Or gene represents a novel gene mutation in conferring carotenoid accumulation (Lu et al., 2006). In this paper, the effects of the Or transgene on carotenoid accumulation and chromoplast differentiation in transgenic potato lines were examined further. It was shown that the Or gene may facilitate the identification of potential metabolic rate-limiting steps of the carotenoid biosynthetic pathway. The Or transgenic tubers contained enhanced levels of carotenoid accumulation during long-term cold storage. Moreover, it was demonstrated that the Or transgene induced the formation of chromoplasts containing carotenoid sequestering structures in a heterologous system.
Identification of potential rate-limiting steps in the carotenoid biosynthetic pathway and maximal increase of their catalytic activities can have a profound effect on manipulation of the total levels of carotenoid accumulation, such as in the case of Golden Rice II and canola seeds (Shewmaker et al., 1999; Paine et al., 2005). The metabolic rate-limiting steps for carotenoid biosynthesis appear to be different in different plant species and organs. The Or gene may facilitate the identification of the rate-limiting step(s) of the biosynthetic pathway. Expression of the Or transgene in potato tubers conferred a substantial increase of total carotenoids. In addition to the enhanced levels of β-carotene and xanthophylls, the Or transgenic tubers also accumulated high levels of phytoene, phytofluene, and ζ-carotene. These metabolic intermediates are substrates for PDS and ZDS in plants. Thus, it is plausible to reason that when expression of the Or transgene creates a metabolic sink to provide a pulling force to the carotenoid pathway, the endogenous limiting step(s) of the pathway would limit the through flux following an increased reaction velocity, causing the intermediate substrates to accumulate. The accumulation of these three intermediates suggests a hindrance in desaturation. Such a hindrance can be due to either the desaturation enzymes in potato tuber, at least in this cultivar, are rate-limiting for carotenoid biosynthesis, or the cofactor (Norris et al., 1995; Josse et al., 2000) required for carotenoid desaturation becomes limiting.
When a mini-pathway consisting of PSY, CrtI, and LCY-b was overexpressed in potato tubers, significant levels of phytoene accumulation were observed, which also suggests that the desaturation step is a limiting step of carotenoid biosynthesis in the tubers (Diretto et al., 2007). Noticeably, although overexpression of PSY in potato tubers leads to increased levels of total carotenoids without accumulation of the substrates of carotenoid desaturases (Ducreux et al., 2005), it is possible that the dramatic increase of upstream enzyme activity alters the endogenous desaturation enzyme activities. Indeed, alteration of the catalytic activity or a change in the levels of metabolic intermediates has been shown and suggested to affect other endogenous gene expression in plants and to shift the rate-limiting to another step in the pathway (Fraser et al., 2002; Romer et al., 2002; Sandmann et al., 2006).
Interestingly, extended storage of the Or transgenic tubers at cold temperature resulted in a dramatic increase of the total carotenoids compared with the newly harvested tubers. Moreover, long-term cold storage led to increased levels of β-carotene and changed the ratio of β-carotene from 15% of total carotenoids in newly-harvested tubers to up to 30% in stored ones. Total carotenoid content in Desiree potato tubers was reported to be stable during long-term cold storage (Morris et al., 2004). The stability of carotenoid content in tubers of non-transformed and empty-vector controls was also observed here during the storage. Thus, the increased levels of total carotenoids in the Or transgenic tubers were most likely due to the effect of the expression of the Or transgene in the transgenic tubers. The expression of the Or transgene in the newly-harvested and long-term cold-stored tubers was compared and it was found that the transcript levels of the Or transgene decreased dramatically in most of the cases during the long-term cold storage (data not shown). Although the precise mechanisms underlying such an increase during cold storage await further study, it is possible that the carotenoid sequestering structures formed in the Or transgenic tubers continually provide a sink force pulling the biosynthetic pathway toward more carotenoid formation. In addition, such carotenoid sequestering structures may help to slow down carotenoid degradation in the Or transgenic tubers. Cold storage is necessary to extend the commercial life of fruits and vegetables. Increased biosynthesis of other metabolites such as anthocyanins have been reported to occur during cold storage in some fruits (Cantos et al., 2000; Connor et al., 2002). Moreover, Frey-Wyssling and Schwegler (1965) mentioned in passing that a similar augmentation of carotenoids occurs with stored orange carrot roots.
Our understanding of the functional roles of genes and their regulation in plants has been facilitated by examining transgenic plants. The Or transgenic potato lines offer excellent genetic materials to study further the functional role of Or in conferring carotenoid accumulation. In our previous characterization of the cauliflower Or mutant, it was observed that the presence of the Or gene led to the formation of one or two large chromoplasts per affected cell in the shoot and curd tissues in cauliflower (Li et al., 2001; Paolillo et al., 2004). It is demonstrated here that expression of the Or transgene in a heterologous system also resulted in the formation of chromoplasts in the transgenic tubers. Recognizable chromoplasts were found to be unique to the Or transgenic tubers but absent in the controls. Moreover, it was shown that the expression of the Or transgene conferred the formation of a large number of carotenoid-sequestering structures. Orange carrot roots accumulate massive amounts of carotenoids as sheets and needle-shaped sequestering structures within chromoplasts (Frey-Wyssling and Schwegler, 1965). These carotenoid structures of carrot are typically released from chromoplasts as they age (Frey-Wyssling and Schwegler, 1965), and their properties overlap completely those of the corresponding orange structures found in the Or transformed potato tubers. Therefore, by analogy the latter are best thought of as forming in chromoplasts.
Although carotenoids accumulate at high levels in chromoplasts and chloroplasts, they are also synthesized and deposited essentially in all other plastids except proplastids (Howitt and Pogson, 2006), for example, in amyloplasts in maize (Wurtzel, 2004) and in potato tubers (Fishwick and Wright, 1980). To see if high levels of carotenoid accumulation per se would lead to the formation of chromoplasts containing carotenoid sequestering structures in potato tubers, tuber homogenates were prepared from two dark-yellow-flesh potato cultivars 91E22 and Yema de Huevo that accumulates exceedingly high levels of carotenoids (Brown et al., 2005). No chromoplasts were observed in these samples. Furthermore, objects similar to the carotenoid-sequestering structures observed in the Or transgenic tubers were not found in the dark yellow-flesh potato tubers. These results suggest that rather than being a consequence of increased levels of carotenoid accumulation, the formation of chromoplasts is probably the cause of the Or gene-mediated carotenoid accumulation.
It has been established that the synthesis of carotenoid-sequestering structures exerts a strong influence on carotenoid accumulation (Bartley and Scolnik, 1995; Vishnevetsky et al., 1999). These sequestering structures are hypothesized to function as a deposition sink to effectively sequester the end-products in creating an enhanced reaction velocity to pull carotenoid biosynthesis toward completion (Rabbani et al., 1998). The demonstration of production of carotenoid sequestering structures rather than increased expression of carotenoid biosynthetic genes in the transgenic potato tubers provides the first direct evidence to support the sequestering mechanism in regulating carotenoid accumulation.
Carotenoids are present in the low-pigmented tissues of numerous food crops, indicating that the carotenogenic genes are expressed. For example, all the carotenoid biosynthetic genes examined in white cauliflower curd are expressed at comparable levels to the orange cauliflower mutant, although the white tissue only contains trace amounts of carotenoids (Li et al., 2001). The apparent lack of high levels of carotenoid accumulation in some of the low-pigmented tissues in crops could be partially due to the absence of a suitable mechanism to sequester and store large amounts of carotenoids, which, in turn, down-regulates this pathway, or makes the biosynthetic pathway not maximally active. Thus, regulating the formation of chromoplasts to create a metabolic sink for sequestration and deposition exerts an important role in controlling carotenoid accumulation in agriculturally important crops.
We gratefully acknowledge Dr C Brown for providing potato tubers of 91E22 and Yema de Huevo. We thank Dr X Zhou for his suggestions and helpful discussion. We also thank S Burke for her excellent technical assistance. This work was supported by the US Department of Agriculture-National Research Initiative Competitive Grants.






Comments