- Split View
-
Views
-
CiteCitation
Masaki Fujisawa, Eiji Takita, Hisashi Harada, Nozomu Sakurai, Hideyuki Suzuki, Kanji Ohyama, Daisuke Shibata, Norihiko Misawa; Pathway engineering of Brassica napus seeds using multiple key enzyme genes involved in ketocarotenoid formation, Journal of Experimental Botany, Volume 60, Issue 4, 1 March 2009, Pages 1319–1332, https://doi.org/10.1093/jxb/erp006
Download citation file:
© 2018 Oxford University Press
Close -
Share
Abstract
Brassica napus (canola) plants were genetically manipulated to increase the amount and composition of carotenoids in seeds by using seven key enzyme genes involved in ketocarotenoid formation, which originated from a soil bacterium Pantoea ananatis (formerly called Erwinia uredovora 20D3), and marine bacteria Brevundimonas sp. strain SD212 and Paracoccus sp. strain N81106 (formerly called Agrobacterium aurantiacum). The seven key gene cassettes, in which each gene was surrounded by an appropriate promoter and terminator, were connected in a tandem manner, and the resulting constructs (17 kb) were inserted into a binary vector and used for transformation of B. napus. Surprisingly, 73–85% of the regenerated plants retained all seven genes, and formed orange- or pinkish orange-coloured seeds (embryos), while untransformed controls had light yellow-coloured seeds with predominant accumulation of lutein. Three of the transgenic lines were analysed further. The total amount of carotenoids in these seeds was 412–657 μg g−1 fresh weight, which was a 19- to 30-fold increase compared with that of untransformed controls. The total amount of ketocarotenoids was 60–190 μg g−1 fresh weight. β-Carotene was the predominant carotenoid, with significant amounts of α-carotene, echinenone, phytoene, lutein, and canthaxanthin also detected in the transgenic seeds. The ratio of hydroxylated carotenoids to overall carotenoids was quite small relative to the ratio of ketocarotenoids to overall carotenoids. Interestingly, expression of many endogenous carotenogenic genes was also altered in the transgenic seeds, suggesting that their expression was affected by an increase in carotenoid biosynthesis.
Introduction
Carotenoids are well known natural pigments, typically ranging from yellow to red. They are synthesized in all photosynthetic organisms and in some bacteria and fungi. Photosynthetic organisms utilize carotenoids as essential components of the light-harvesting antenna complex in photosynthesis, playing critical roles in the energy transfer process and in the protection of the reaction centre from auto-oxidation caused by excessive light energy. Carotenoids are also used as a precursor of abscisic acid (ABA), a plant hormone responsible for regulation of physiological functions such as seed dormancy, germination (Koornneef et al., 2002), and abiotic environmental stresses (Zeevaart and Creelman, 1988) in higher plants. Carotenoids are also indispensable in animals. Since animals cannot biosynthesize the pigments de novo by themselves, they must ingest carotenoids from the diet and metabolize them to use for physiological functions, for example as a precursor of vitamin A. With data supporting their strong antioxidant properties, carotenoids are often utilized as functional materials (Tatsuzawa et al., 2000; Nishino et al., 2002; Chew and Park, 2004). For example, astaxanthin, a member of the ketocarotenoids, is widely used for food supplements, cosmetics, natural colourants, and feed additives due to its particularly strong antioxidant properties (Miki, 1991; Iwamoto et al., 2000). The markets for β-carotene, astaxanthin, and canthaxanthin that are mainly chemically synthesized are estimated to be $US250 million, 200 million, and 100 million year−1, respectively, according to ‘The global market for carotenoids’ by bcc research (report code: FOD025C). For these reasons, increased production of carotenoids in plants would enhance their industrial utility.
To increase the total amount of carotenoids and/or to biosynthesize some useful carotenoids, carotenoid biosynthetic pathways have been modified by genetic manipulation in higher plants, i.e. one key enzyme gene (sometimes two or three key enzyme genes) in carotenoid biosynthesis under the control of an appropriate promoter was introduced into crops such as canola (Shewmaker et al., 1999; Ravanello et al., 2003; Yu et al., 2008), rice (Burkhardt et al., 1997; Ye et al., 2000; Beyer et al., 2002; Paine et al., 2005), tomato (Römer et al., 2000; Dharmapuri et al., 2002; Fraser et al., 2002; D'Ambrosio et al., 2004; Ralley et al., 2006), potato (Römer et al., 2002; Ducrex et al., 2005; Diretto et al., 2006, 2007a, b; Gerjets and Sandmann, 2006; Morris et al., 2006), carrot (Jayaraj et al., 2008), and flax (Fujisawa et al., 2008), or also into several model plants such as Arabidopsis thaliana (Lindgren et al., 2003; Stålberg et al., 2003), tobacco (Mann et al., 2000; Ralley et al., 2004; Gerjets et al., 2007; Zhu et al., 2007; Hasunuma et al., 2008), and the legume Lotus japonicus (Suzuki et al., 2007). Among genes involved in the carotenoid biosynthetic pathway, the phytoene synthase gene from bacteria or plants is frequently expressed in transgenic plants to enhance total carotenoid levels, since phytoene synthesis from geranylgeranyl pyrophosphate (GGPP) has been postulated to be an important rate-limiting step for carotenoid biosynthesis (Giuliano et al., 1993; Burkhardt et al., 1997; Shewmaker et al., 1999; Fraser et al., 2002; Diretto et al., 2007b; Fujisawa et al., 2008). A dramatic change in carotenoid level, up to 50-fold [1.6 mg g−1 fresh weight (FW)], was observed in the mature seeds of transgenic Brassica napus (canola), in which the phytoene synthase gene (crtB), derived from a soil bacterium Pantoea ananatis (formerly called Erwinia uredovora 20D3), was expressed in a seed-specific manner with the napin promoter (Shewmaker et al., 1999). Higher plants, with the exception of Adonis plants, are unable to biosynthesize ketocarotenoids, including astaxanthin, because of the absence of a β-carotene ketolase (4,4′-oxygenase) gene (Cunningham and Gantt, 2005). Thus, the crtW, crtO, and bkt genes that encode β-carotene ketolase, derived from the marine bacteria Paracoccus sp. strain N81106 (formerly called Agrobacterium aurantiacum), Brevundimonas sp. strain SD212, the cyanobacterium Synechocystis PCC6803, or the green algae Haematococcus plulvialis, have been expressed in crop or model plants and have resulted in the production of ketocarotenoids (Mann et al., 2000; Stålberg et al., 2003; Ralley et al., 2004; Morris et al., 2006; Suzuki et al., 2007; Zhu et al., 2007; Hasunuma et al., 2008).
Brassica napus (canola) is one of the major oil crops worldwide. Canola seed oil that contains large amounts of unsaturated fatty acids such as oleic acid (18:1) also includes the highest amount of carotenoids (22–33 μg g−1 FW) among oilseed crops (Shewmaker et al., 1999; our results), which is equivalent to or slightly less than the accumulation of carotenoids in the endosperms of transgenic rice plants (golden rice of the second generation; Paine et al., 2005). Transgenic canola seeds (described above) have been shown to accumulate 1.6 mg g−1 FW of carotenoids (Shewmaker et al., 1999), which is greater than that seen in the mesocarp of oil palm, the crop with the highest level of carotenoids among non-transgenic foods. Thus, B. napus plants could be an ideal host for genetic manipulation for carotenoid production. However, introduction and expression of multiple key genes in plants could be needed for pathway engineering that involves many metabolic steps, although such research has been limited to date. In this study, the carotenoid biosynthetic pathway (including parts of the upstream isoprenoid biosynthetic pathway) of canola has been genetically manipulated through Agrobacterium-mediated transformation with the introduction of seven cassettes containing key genes involved in ketocarotenoid formation, each surrounded by an appropriate promoter and terminator, and both an increase in the total carotenoid amount and an alteration of carotenoid composition were achieved.
Materials and methods
Plasmid construction and introduction into Agrobacterium
Information on the bacterial key enzyme genes (idi, crtE, crtB, crtI, crtY, crtW, and crtZ) involved in ketocarotenoid formation used in this study is summarized in Table 1. Among them, entire sequences of the open reading frames (ORFs) for idi, crtW, and crtZ were artificially synthesized and codon usage was optimized to match that of B. napus plants. The synthetic crtW and crtZ genes were utilized in a previous study (Hasunuma et al., 2008). The plasmid vectors for introduction and expression of the key genes in plants were constructed according to standard methods (Sambrook et al., 1989) as follows. First, each key gene cassette was constructed by connecting its ORF between a cauliflower mosaic virus (CaMV) 35S promoter, B. napus napin (Kridl et al., 1991) promoter, or the A. thaliana fatty acid elongase gene (FAE1: Rossak et al., 2001) promoter, and either a nopaline synthase gene (nos) terminator or the A. thaliana HSP18.2 gene terminator (accession number X17295, provided by Drs Ko Kato and Atsuhiko Shinmyo). To import the gene products into plastids, a DNA fragment encoding the transit peptide (tp) of ribulose 1,5-bisphosphate carboxylase/oxygenase (RuBisCO) small subunit (SSU) from pea was fused to the 5’ end upstream of each ORF (Misawa et al., 1993, and also used elsewhere). The combinations of promoter, gene, and terminator are summarized in Fig. 2 (see also Supplementary Fig. S1A available at JXB online). The cassettes were cloned with Escherichia coli plasmid vector pHSG299CSPS (Supplementary Fig. S1A) that originated from pHSG299. The binary vector pZK3BCSPS (Supplementary Fig. S1A; described below) originated from pZK3B (kindly provided by Dr Masaharu Kuroda, National Agricultural Research Center Hokuriku Research Center; a derivative of pZP202; Hajdukiewicz et al., 1994). These vectors included a DNA fragment, named CSPS, containing recognition sequences of the homing endonucleases, I-CeuI, I-SceI, PI-PspI, and PI-SceI (New England Biolabs, Ipswich, MA, USA). The homing endonucleases were convenient to connect multiple gene cassettes because they recognize 18–39 specific bases that rarely appear.
Key enzyme genes involved in ketocarotenoid formation and B. napus endogenous genes involved in carotenoid biosynthesis with the oligonucleotide primers used in this study
| Gene | Function | Origin | Accession no. (Reference) | Oligonucleotide primers (5′ to 3′) | PCR product size (bp) |
| idi (synthetic) | Isopentenyl pyrophosphate isomerase | Paracoccus sp. strain N81106, NBRC 101723, (MBIC01143) | AB453829 (Maruyama et al., 2007) | CATCCTTGATGTTGCTGGTG | 149 |
| CCATCATAGGAGCGATAGCC | |||||
| crtE | Geranylgeranyl pyrophosphate synthase | Pantoea ananatis (formerly Erwinia uredovora 20D3) ATCC 19321 | D90087 (Misawa et al., 1990) | AGGCATTTCAACTGCTGGAC | 148 |
| CTGGCAAGCTGAAGATGTTG | |||||
| crtB | Phytoene synthase | ATGATATCGCCCCGGCTTAC | 144 | ||
| TGATTTGCGCCATCATCAAG | |||||
| crtI | Phytoene desaturase/carotene isomerase | AAGCCGTGCATTTAGAGGAC | 141 | ||
| TGCGCTTAGTCTGCAGTTTG | |||||
| crtY | Lycopene β-cyclase | TTCGGTTGAAAAAGGGTCAG | 147 | ||
| TGGGAGACGATAAACCATGC | |||||
| crtW (synthetic) | β-Carotene ketolase | Brevundimonas sp. strain SD212, NBRC 101024 (MBIC03018) | AB377271 (Nishida et al., 2005) | TGGCTTCCTCACAGACACAC | 151 |
| GTCTCCACCAAGGTCTCCAA | |||||
| crtZ (synthetic) | β-Carotene hydroxylase | AB377272 (Nishida et al., 2005) | ATGCATGGTTTCCTTTGGTC | 141 | |
| CCAAGGCCAAAGATGAAGTC | |||||
| PSY | Phytoene synthase | Brassica napus | AB454517 | CCAAAGCAACGACCGAGAGTG | 153 |
| CATCTGAGAGACCAGCCTGAGC | |||||
| PDS | Phytoene desaturase | AB454516 | GGCTGCAGTGGAAGGAACACTC | 150 | |
| TCTCTGGCCATGTCAGCATCTC | |||||
| ZDS | ζ-Carotene desaturase | EV163996 | GCAATGAAAGACATTCGCAACC | 147 | |
| TCTCGCACTCATGTTGTCACAG | |||||
| CRTISO | Carotene isomerase | AB454515 | GAGGTGGCAGCTGGAATCATAC | 150 | |
| TCCTCTTGGCATTGGTCCATAC | |||||
| LCYb | Lycopene β-cyclase | DY020931 | TCCACTGTTGTCTGCAGTGACG | 145 | |
| CATCGACCTCAGCAACGATACC | |||||
| LCYe | Lycopene ϵ-cyclase | AB454515 | TGAGGAGGTGTGTGGAGTCAGG | 148 | |
| GAAGCTGCTCCAGAAGCAACAG | |||||
| BHY | β-Carotene hydroxylase | EF026098 | CAGAGGCTTCTCGGTCTGCTAC | 151 | |
| CCTCTCGGACTTCTTCCTCTCC | |||||
| ZEP | Zeaxanthin epoxidase | AB454518 | TGCTGAAGAAGTCATGGAAGCTG | 147 | |
| CTGCTAATCACCCGAGTCACAGG | |||||
| VDE | Violaxanthin de-epoxidase | EV186123 | TCACGACCGTACGAGATTCTTC | 150 | |
| AATCCAGATAAGGGTCGTGAGG | |||||
| ACT7 (control) | Actin | AF111812 (McDowell et al., 1996) | CCCTGGAATTGCTGACCGTA | 147 | |
| TGGAAAGTGCTGAGGGATGC |
| Gene | Function | Origin | Accession no. (Reference) | Oligonucleotide primers (5′ to 3′) | PCR product size (bp) |
| idi (synthetic) | Isopentenyl pyrophosphate isomerase | Paracoccus sp. strain N81106, NBRC 101723, (MBIC01143) | AB453829 (Maruyama et al., 2007) | CATCCTTGATGTTGCTGGTG | 149 |
| CCATCATAGGAGCGATAGCC | |||||
| crtE | Geranylgeranyl pyrophosphate synthase | Pantoea ananatis (formerly Erwinia uredovora 20D3) ATCC 19321 | D90087 (Misawa et al., 1990) | AGGCATTTCAACTGCTGGAC | 148 |
| CTGGCAAGCTGAAGATGTTG | |||||
| crtB | Phytoene synthase | ATGATATCGCCCCGGCTTAC | 144 | ||
| TGATTTGCGCCATCATCAAG | |||||
| crtI | Phytoene desaturase/carotene isomerase | AAGCCGTGCATTTAGAGGAC | 141 | ||
| TGCGCTTAGTCTGCAGTTTG | |||||
| crtY | Lycopene β-cyclase | TTCGGTTGAAAAAGGGTCAG | 147 | ||
| TGGGAGACGATAAACCATGC | |||||
| crtW (synthetic) | β-Carotene ketolase | Brevundimonas sp. strain SD212, NBRC 101024 (MBIC03018) | AB377271 (Nishida et al., 2005) | TGGCTTCCTCACAGACACAC | 151 |
| GTCTCCACCAAGGTCTCCAA | |||||
| crtZ (synthetic) | β-Carotene hydroxylase | AB377272 (Nishida et al., 2005) | ATGCATGGTTTCCTTTGGTC | 141 | |
| CCAAGGCCAAAGATGAAGTC | |||||
| PSY | Phytoene synthase | Brassica napus | AB454517 | CCAAAGCAACGACCGAGAGTG | 153 |
| CATCTGAGAGACCAGCCTGAGC | |||||
| PDS | Phytoene desaturase | AB454516 | GGCTGCAGTGGAAGGAACACTC | 150 | |
| TCTCTGGCCATGTCAGCATCTC | |||||
| ZDS | ζ-Carotene desaturase | EV163996 | GCAATGAAAGACATTCGCAACC | 147 | |
| TCTCGCACTCATGTTGTCACAG | |||||
| CRTISO | Carotene isomerase | AB454515 | GAGGTGGCAGCTGGAATCATAC | 150 | |
| TCCTCTTGGCATTGGTCCATAC | |||||
| LCYb | Lycopene β-cyclase | DY020931 | TCCACTGTTGTCTGCAGTGACG | 145 | |
| CATCGACCTCAGCAACGATACC | |||||
| LCYe | Lycopene ϵ-cyclase | AB454515 | TGAGGAGGTGTGTGGAGTCAGG | 148 | |
| GAAGCTGCTCCAGAAGCAACAG | |||||
| BHY | β-Carotene hydroxylase | EF026098 | CAGAGGCTTCTCGGTCTGCTAC | 151 | |
| CCTCTCGGACTTCTTCCTCTCC | |||||
| ZEP | Zeaxanthin epoxidase | AB454518 | TGCTGAAGAAGTCATGGAAGCTG | 147 | |
| CTGCTAATCACCCGAGTCACAGG | |||||
| VDE | Violaxanthin de-epoxidase | EV186123 | TCACGACCGTACGAGATTCTTC | 150 | |
| AATCCAGATAAGGGTCGTGAGG | |||||
| ACT7 (control) | Actin | AF111812 (McDowell et al., 1996) | CCCTGGAATTGCTGACCGTA | 147 | |
| TGGAAAGTGCTGAGGGATGC |
‘Synthetic’ indicates that the entire gene was synthesized according to the codon usage for B. napus.
Key enzyme genes involved in ketocarotenoid formation and B. napus endogenous genes involved in carotenoid biosynthesis with the oligonucleotide primers used in this study
| Gene | Function | Origin | Accession no. (Reference) | Oligonucleotide primers (5′ to 3′) | PCR product size (bp) |
| idi (synthetic) | Isopentenyl pyrophosphate isomerase | Paracoccus sp. strain N81106, NBRC 101723, (MBIC01143) | AB453829 (Maruyama et al., 2007) | CATCCTTGATGTTGCTGGTG | 149 |
| CCATCATAGGAGCGATAGCC | |||||
| crtE | Geranylgeranyl pyrophosphate synthase | Pantoea ananatis (formerly Erwinia uredovora 20D3) ATCC 19321 | D90087 (Misawa et al., 1990) | AGGCATTTCAACTGCTGGAC | 148 |
| CTGGCAAGCTGAAGATGTTG | |||||
| crtB | Phytoene synthase | ATGATATCGCCCCGGCTTAC | 144 | ||
| TGATTTGCGCCATCATCAAG | |||||
| crtI | Phytoene desaturase/carotene isomerase | AAGCCGTGCATTTAGAGGAC | 141 | ||
| TGCGCTTAGTCTGCAGTTTG | |||||
| crtY | Lycopene β-cyclase | TTCGGTTGAAAAAGGGTCAG | 147 | ||
| TGGGAGACGATAAACCATGC | |||||
| crtW (synthetic) | β-Carotene ketolase | Brevundimonas sp. strain SD212, NBRC 101024 (MBIC03018) | AB377271 (Nishida et al., 2005) | TGGCTTCCTCACAGACACAC | 151 |
| GTCTCCACCAAGGTCTCCAA | |||||
| crtZ (synthetic) | β-Carotene hydroxylase | AB377272 (Nishida et al., 2005) | ATGCATGGTTTCCTTTGGTC | 141 | |
| CCAAGGCCAAAGATGAAGTC | |||||
| PSY | Phytoene synthase | Brassica napus | AB454517 | CCAAAGCAACGACCGAGAGTG | 153 |
| CATCTGAGAGACCAGCCTGAGC | |||||
| PDS | Phytoene desaturase | AB454516 | GGCTGCAGTGGAAGGAACACTC | 150 | |
| TCTCTGGCCATGTCAGCATCTC | |||||
| ZDS | ζ-Carotene desaturase | EV163996 | GCAATGAAAGACATTCGCAACC | 147 | |
| TCTCGCACTCATGTTGTCACAG | |||||
| CRTISO | Carotene isomerase | AB454515 | GAGGTGGCAGCTGGAATCATAC | 150 | |
| TCCTCTTGGCATTGGTCCATAC | |||||
| LCYb | Lycopene β-cyclase | DY020931 | TCCACTGTTGTCTGCAGTGACG | 145 | |
| CATCGACCTCAGCAACGATACC | |||||
| LCYe | Lycopene ϵ-cyclase | AB454515 | TGAGGAGGTGTGTGGAGTCAGG | 148 | |
| GAAGCTGCTCCAGAAGCAACAG | |||||
| BHY | β-Carotene hydroxylase | EF026098 | CAGAGGCTTCTCGGTCTGCTAC | 151 | |
| CCTCTCGGACTTCTTCCTCTCC | |||||
| ZEP | Zeaxanthin epoxidase | AB454518 | TGCTGAAGAAGTCATGGAAGCTG | 147 | |
| CTGCTAATCACCCGAGTCACAGG | |||||
| VDE | Violaxanthin de-epoxidase | EV186123 | TCACGACCGTACGAGATTCTTC | 150 | |
| AATCCAGATAAGGGTCGTGAGG | |||||
| ACT7 (control) | Actin | AF111812 (McDowell et al., 1996) | CCCTGGAATTGCTGACCGTA | 147 | |
| TGGAAAGTGCTGAGGGATGC |
| Gene | Function | Origin | Accession no. (Reference) | Oligonucleotide primers (5′ to 3′) | PCR product size (bp) |
| idi (synthetic) | Isopentenyl pyrophosphate isomerase | Paracoccus sp. strain N81106, NBRC 101723, (MBIC01143) | AB453829 (Maruyama et al., 2007) | CATCCTTGATGTTGCTGGTG | 149 |
| CCATCATAGGAGCGATAGCC | |||||
| crtE | Geranylgeranyl pyrophosphate synthase | Pantoea ananatis (formerly Erwinia uredovora 20D3) ATCC 19321 | D90087 (Misawa et al., 1990) | AGGCATTTCAACTGCTGGAC | 148 |
| CTGGCAAGCTGAAGATGTTG | |||||
| crtB | Phytoene synthase | ATGATATCGCCCCGGCTTAC | 144 | ||
| TGATTTGCGCCATCATCAAG | |||||
| crtI | Phytoene desaturase/carotene isomerase | AAGCCGTGCATTTAGAGGAC | 141 | ||
| TGCGCTTAGTCTGCAGTTTG | |||||
| crtY | Lycopene β-cyclase | TTCGGTTGAAAAAGGGTCAG | 147 | ||
| TGGGAGACGATAAACCATGC | |||||
| crtW (synthetic) | β-Carotene ketolase | Brevundimonas sp. strain SD212, NBRC 101024 (MBIC03018) | AB377271 (Nishida et al., 2005) | TGGCTTCCTCACAGACACAC | 151 |
| GTCTCCACCAAGGTCTCCAA | |||||
| crtZ (synthetic) | β-Carotene hydroxylase | AB377272 (Nishida et al., 2005) | ATGCATGGTTTCCTTTGGTC | 141 | |
| CCAAGGCCAAAGATGAAGTC | |||||
| PSY | Phytoene synthase | Brassica napus | AB454517 | CCAAAGCAACGACCGAGAGTG | 153 |
| CATCTGAGAGACCAGCCTGAGC | |||||
| PDS | Phytoene desaturase | AB454516 | GGCTGCAGTGGAAGGAACACTC | 150 | |
| TCTCTGGCCATGTCAGCATCTC | |||||
| ZDS | ζ-Carotene desaturase | EV163996 | GCAATGAAAGACATTCGCAACC | 147 | |
| TCTCGCACTCATGTTGTCACAG | |||||
| CRTISO | Carotene isomerase | AB454515 | GAGGTGGCAGCTGGAATCATAC | 150 | |
| TCCTCTTGGCATTGGTCCATAC | |||||
| LCYb | Lycopene β-cyclase | DY020931 | TCCACTGTTGTCTGCAGTGACG | 145 | |
| CATCGACCTCAGCAACGATACC | |||||
| LCYe | Lycopene ϵ-cyclase | AB454515 | TGAGGAGGTGTGTGGAGTCAGG | 148 | |
| GAAGCTGCTCCAGAAGCAACAG | |||||
| BHY | β-Carotene hydroxylase | EF026098 | CAGAGGCTTCTCGGTCTGCTAC | 151 | |
| CCTCTCGGACTTCTTCCTCTCC | |||||
| ZEP | Zeaxanthin epoxidase | AB454518 | TGCTGAAGAAGTCATGGAAGCTG | 147 | |
| CTGCTAATCACCCGAGTCACAGG | |||||
| VDE | Violaxanthin de-epoxidase | EV186123 | TCACGACCGTACGAGATTCTTC | 150 | |
| AATCCAGATAAGGGTCGTGAGG | |||||
| ACT7 (control) | Actin | AF111812 (McDowell et al., 1996) | CCCTGGAATTGCTGACCGTA | 147 | |
| TGGAAAGTGCTGAGGGATGC |
‘Synthetic’ indicates that the entire gene was synthesized according to the codon usage for B. napus.
Secondly, seven multiple key gene cassettes were ligated using the restriction sites of homing endonucleases in a tandem manner with the same orientation as the procedure shown in Supplementary Fig. S2B at JXB online. The resulting constructs, in which the order of the cassettes was crtW–idi–crtE–crtZ–crtB–crtI–crtY, were cloned into a transfer DNA (T-DNA) region of the pZK3BCSPS in the direction of left to right borders. The structures of the T-DNA regions of the plasmids are shown in Fig. 2 (for more information, see also Supplementary Fig. S1B at JXB online). Agrobacterium tumefaciens strain EHA105 cells were transformed with each of the plasmids by electroporation. The transformed A. tumefaciens cells were screened on YEB agar medium (Vervliet et al., 1975) containing 50 mg l−1 kanamycin and 100 mg l−1 spectinomycin.
Plant materials and Agrobacterium-mediated transformation of B. napus
Transformation of B. napus has been previously reported in detail (Fry et al., 1987; Radke et al., 1988, and elsewhere). Briefly, 50 seeds of B. napus L. cultivar Westar (canola) were aseptically germinated and grown to hypocotyls in a plant box containing ‘Germination medium’ for 11 d. The hypocotyls were cut into 1 cm long explants and co-cultured with tobacco BY2 suspension-cultured cells on ‘Inoculation medium’ in a Petri dish overnight. The A. tumefaciens cells harbouring the plasmids described above were cultured in 10 ml of YEB liquid medium containing 50 mg l−1 kanamycin, 100 mg l−1 spectinomycin, and 12.5 mg l−1 of rifampicillin for 2 d at 28 °C with shaking. To inoculate the Agrobacterium transformed above, the hypocotyls were soaked in the Agrobacterium-resuspended MS liquid medium (Murashige and Skoog, 1962) for 20 min, put back on the medium plate, and co-cultured for 3 d. The explants were transferred onto ‘Agrobacterium sterilization medium’ and cultured for 4 d. All incubation steps for the transformation were carried out in a growth chamber in conditions of 14 h at 20 °C under continuous light and 10 h at 18 °C in darkness. The explants were cultured with transfer onto a fresh ‘Callus formation medium’ in a Petri dish every 2–3 weeks with long-day conditions. Green calli from the explants were cultured with transfer onto a fresh ‘Shoot regeneration medium’ in a Petri dish every 3 weeks with long-day conditions. Regenerated shoots were cut from the calli and further cultured on ‘Root regeneration medium’. After rooting, the plantlet was transplanted in a pot and grown in a greenhouse at 26 °C. The composition of the media for the transformation of B. napus in this study is summarized in Supplementary Table S1 at JXB online.
Polymerase chain reaction (PCR) analysis
Introduction of the transgenes into a regenerated plant was confirmed by PCR. Total DNA was extracted and purified from leaves of the regenerated plant by a Wizard Genomic DNA Purification Kit (Promega, Madison, WI, USA) according to the manufacturer's instructions. A 20 μl PCR mixture containing 2 μl of the total DNA prepared above, 1× reaction buffer, 0.2 mM dNTP, 0.3 μM each of the gene-specific oligonucleotide primers (Table 1), and 0.5 U of GoTaq DNA polymerase (Promega) was made in a 0.2 ml reaction tube. PCR was performed using a PTC-100 thermal cycler (MJ Research Inc., Waltham, MA, USA) with the following conditions: 96 °C for 5 min, 35 cycles of three steps (96 °C for 1 min, 58 °C for 1 min, and 72 °C for 1 min), and 72 °C for 1 min. The PCR products were analysed by 2% agarose gel electrophoresis with staining with ethidium bromide.
Reverse transcription (RT)-PCR and quantitative real-time RT-PCR analyses
Expression of the transgenes and endogenous carotenoid biosynthetic genes was analysed by RT-PCR. Mature seeds (0.1 mg) from the transgenic plants ∼2 months post-anthesis or later were frozen with liquid nitrogen and powdered using a mortar and pestle. Total RNA was extracted and purified from the powder with an RNeasy Plant Mini Kit (Qiagen, Hilden, Germany) in combination with an RNase-Free DNase Set (Qiagen) to remove DNA contamination. cDNA was synthesized from 0.5 μg of the total RNA using Reverse Transcription Reagent (Takara Bio Inc., Shiga, Japan) with attached 6-mer random primers according to the manufacturer's instructions. Transcription of the genes in the seeds of the transgenic plant was confirmed by PCR using 1 μl of cDNA synthesis reaction mixture as a template and the same pairs of primers and conditions as described above. To test the quality of the DNA or RNA samples, a pair of the oligonucleotide primers (Table 1) specific to a B. napus actin gene (ACT7: McDowell et al., 1996) was also used for PCR analyses.
Quantitative real-time RT-PCR analysis was performed to monitor gene expression. A PCR mixture was prepared using 1 μl of the cDNA synthesized above as a template and a SYBR Premix Ex Taq II (Perfect Real Time) kit (Takara Bio Inc.) according to the manufacturer's instructions. Real-time PCR was performed with a 7300 Real-time PCR System (Applied Biosystems, Foster City, CA, USA) with conditions of 95 °C for 10 s, 40 cycles of three steps (95 °C for 5 s, 58 °C for 10 s, and 72 °C for 31 s), and a dissociation step with a melting temperature of 58 °C. The B. napus ACT7 gene described above was also used as a reference. PCR primers for B. napus carotenogenic endogenous genes (PSY, PDS, CRTISO, LCYe, and ZEP) were designed (Table 1) from the nucleotide sequences of the genes partially amplified from cDNA by PCR using the degenerate oligonucleotide primers (Kato et al., 2004), and analysed using an ABI3100 DNA sequencer (Applied Biosystems). PCR primers for the other endogenous genes (ZDS, LCYb, BHY, EHY, and VDE), which were not amplified by PCR above, were designed using publicly available expressed sequence tags (ESTs) searched from the Brassica 95K EST assembly database (The John Innes Centre, in collaboration with JCVI and Cogenics, http://brassica.bbsrc.ac.uk/array_info.html) as summarized in Table 1. Sequence information on the endogenous gene encoding neoxanthin synthase (NXS) was not available.
Carotenoid analysis
Carotenoid pigments were extracted from mature (∼2 months post-anthesis or later) B. napus seeds with methanol–chloroform and eluted in ethylacetate (Fraser et al., 2000; Fujisawa et al., 2008). High-performance liquid chromatography (HPLC) was conducted using a 2695 separation module (Waters, Milford, MA, USA) equipped with a 2996 photodiode array (PDA) detector (Waters). The pigment extract was separated and analysed by using a TSK ODS-80Ts column (4.6×150 mm, Tosoh, Tokyo, Japan) and with elution conditions as previously described (Yokoyama and Miki, 1995; Choi et al., 2005). Briefly, the extract was eluted at a flow rate of 1.0 ml min−1 at 25 °C with solvent A (water–methanol, 5:95, v/v) for 5 min, followed by a linear gradient from solvent A to solvent B (tetrahydrofuran–methanol, 3:7, v/v) for 5 min, solvent B alone for 8 min, and then back to solvent A. Carotenoids were identified by comparing both their retention times and absorption spectra monitored using PDA relative to those of the authentic standards (lutein, canthaxanthin, echinenone, β-cryptoxanthin, α-carotene, β-carotene, and zeaxanthin were purchased from DHI, Hørsholm, Denmark; astaxanthin was from Sigma-Aldrich, St Louis, MO, USA; astaxanthin oleic acid monoester was provided by Mr Toshihiko Otomatsu, KNC Laboratories Co., Ltd, Kobe, Japan), purified from the appropriate E. coli transformants expressing the crt genes (Nishida et al., 2005), or published data (Choi et al., 2007). The amount of carotenoids was quantified by integrating peak areas from maxplot profiles (absorbance between 350 nm and 550 nm) or absorbance at 287 nm (for phytoene).
Herbicide resistance assay
Leaves of the transgenic plants were put onto an MS agarose medium containing 3 μM of the herbicide norflurazon (Wako Pure Chemical Industries, Osaka, Japan; Misawa et al., 1993, 1994) and incubated with long-day conditions at 27 °C for 1 month. The extent of the bleached area on the leaves was then quantified.
Results
Plasmid construction for expression of multiple key genes involved in carotenoid biosynthesis
Three plasmid vectors were constructed for the expression in B. napus seeds of seven bacterial key enzyme genes (idi, crtE, crtB, crtI, crtY, crtW, and crtZ) for ketocarotenoid production (Fig. 1). Details of the key genes are summarized in Table 1. The resulting plasmids, designated p1a5b, p1a5c, and p1b5c, harboured a 17 kb DNA fragment, which contained seven key gene cassettes in a tandem manner, each of the cassettes surrounded by the CaMV 35S, napin, or FAE1 promoter and the nos or HSP18.2 terminator (Fig. 2). In order to avoid retardation of the growth of B. napus plants that may be caused by the overall expression of an introduced gene, specifically crtB as reported previously (Fray et al., 1995; Busch et al., 2002), seed-specific promoters (napin or FAE1) were adopted for driving four of the genes: idi, crtB, crtW, and crtZ (Fig. 2). The structure of these three plasmids was identical, with the exception of the promoter preceding crtW or crtB. For expression of the crtW gene, the B. napus napin promoter was used in two plasmids (p1a5b and p1a5c) whereas the A. thaliana FAE1 promoter was used in the other plasmid, p1b5c (Fig. 2). Further, for expression of crtB, the napin promoter was used in p1a5b whereas the FAE1 promoter was used in the other two plasmids. The plasmids were introduced into A. tumefaciens EHA105 cells used for the transformation of B. napus plants after the transformed Agrobacterium cells were confirmed to harbour all of the seven introduced genes.
A diagram of the plant carotenoid biosynthetic pathway and proposed pathway that was generated by introduction of bacterial key enzyme genes. Narrow arrows indicate reactions catalysed by plant endogenous enzymes. Bacterial enzymes encoded by the introduced key genes are indicated in bold, and the reactions they catalyse are indicated with boxed arrows. The chemical structures are only shown for carotenoids synthesized in the transgenic B. napus seeds that were generated in this study. IPP, isopentenyl pyrophosphate (diphosphate); DMAPP, dimethylallyl pyrophosphate; GPP, geranyl pyrophosphate; FPP, farnesyl pyrophosphate; GGPP, geranylgeranyl pyrophosphate; PSY, plant phytoene synthase; PDS, plant phytoene desaturase; ZDS, plant ζ-carotene desaturase; CRTISO, plant carotene isomerase; LCYb, plant lycopene β-cyclase; LCYe, plant lycopene ϵ-cyclase; BHY, plant β-carotene hydroxylase; EHY, plant ϵ-carotene hydroxylase; ZEP, plant zeaxanthin epoxidase; VDE, plant violaxanthin de-epoxidase; NXS, plant neoxanthin synthase; Idi, bacterial IPP isomerase; CrtE, bacterial GGPP synthase; CrtB, bacterial phytoene synthase; CrtI, bacterial phytoene desaturase/carotene isomerase; CrtY, bacterial lycopene β-cyclase; CrtW, bacterial β-carotene ketolase; CrtZ, bacterial β-carotene hydroxylase; ABA, abscisic acid.
A diagram of the plant carotenoid biosynthetic pathway and proposed pathway that was generated by introduction of bacterial key enzyme genes. Narrow arrows indicate reactions catalysed by plant endogenous enzymes. Bacterial enzymes encoded by the introduced key genes are indicated in bold, and the reactions they catalyse are indicated with boxed arrows. The chemical structures are only shown for carotenoids synthesized in the transgenic B. napus seeds that were generated in this study. IPP, isopentenyl pyrophosphate (diphosphate); DMAPP, dimethylallyl pyrophosphate; GPP, geranyl pyrophosphate; FPP, farnesyl pyrophosphate; GGPP, geranylgeranyl pyrophosphate; PSY, plant phytoene synthase; PDS, plant phytoene desaturase; ZDS, plant ζ-carotene desaturase; CRTISO, plant carotene isomerase; LCYb, plant lycopene β-cyclase; LCYe, plant lycopene ϵ-cyclase; BHY, plant β-carotene hydroxylase; EHY, plant ϵ-carotene hydroxylase; ZEP, plant zeaxanthin epoxidase; VDE, plant violaxanthin de-epoxidase; NXS, plant neoxanthin synthase; Idi, bacterial IPP isomerase; CrtE, bacterial GGPP synthase; CrtB, bacterial phytoene synthase; CrtI, bacterial phytoene desaturase/carotene isomerase; CrtY, bacterial lycopene β-cyclase; CrtW, bacterial β-carotene ketolase; CrtZ, bacterial β-carotene hydroxylase; ABA, abscisic acid.
Schematic representation of the T-DNA regions of the plasmids harbouring the seven key gene cassettes utilized for transformation of B. napus. LB and RB, left and right borders of the T-DNA; Pnos, the nopaline synthase gene (nos) promoter; nptII, neomycin methyltransferase II gene; Pnapin, the napin promoter from B. napus; P35S, the cauliflower mosaic virus (CaMV) 35S promoter; PFAE, the fatty acid elongase 1 gene (FAE1) seed-specific promoter from A. thaliana; tp, the transit peptide sequence from pea ribulose-1,5-bisphosphate carboxylase/oxygenase (RuBisCO) small subunit (SSU); Thsp, the heat shock protein (HSP18.2) gene terminator from A. thaliana; Tnos, the nos terminator. The origins of genes are indicated in parentheses.
Schematic representation of the T-DNA regions of the plasmids harbouring the seven key gene cassettes utilized for transformation of B. napus. LB and RB, left and right borders of the T-DNA; Pnos, the nopaline synthase gene (nos) promoter; nptII, neomycin methyltransferase II gene; Pnapin, the napin promoter from B. napus; P35S, the cauliflower mosaic virus (CaMV) 35S promoter; PFAE, the fatty acid elongase 1 gene (FAE1) seed-specific promoter from A. thaliana; tp, the transit peptide sequence from pea ribulose-1,5-bisphosphate carboxylase/oxygenase (RuBisCO) small subunit (SSU); Thsp, the heat shock protein (HSP18.2) gene terminator from A. thaliana; Tnos, the nos terminator. The origins of genes are indicated in parentheses.
Generation of transgenic B. napus with plasmid vectors harbouring multiple key gene cassettes
After three, four, and five independent Agrobacterium-mediated transformations of B. napus plants per plasmid, respectively 29, 26, and 19 transgenic (T0) plants exhibiting resistance to kanamycin were generated from the independent calli. By diagnostic PCR assay, 26 (90%), 22 (85%), and 13 (68%) individuals were confirmed to harbour all of the seven key genes introduced with, respectively, p1a5b, p1a5c, and p1b5c. Among the transgenic plants obtained, three transgenic lines (1a5b3-1-1, 1a5c3-3-4, and 1b5c3-1-2, whose names have been shortened, respectively, to 1a5b, 1a5c, and 1b5c in this report) were used for further study. These transgenic plants seemed to grow normally in the greenhouse. The transgenic plants of the three lines formed orange-coloured self-pollinated (T1) seeds, compared with light yellow-coloured untransformed seeds (Fig. 3A–D). Interestingly, the colour of the line 1a5c seeds appeared to be pinkish (Fig. 3C) compared with those of the other two lines (Fig. 3B, D).
Sections of the B. napus seeds (A–D) and the leaves after 1 month of culture on the medium containing the herbicide norflurazon (E–H). A, E, untransformed control; B, F, the transgenic line 1a5b; C, G, the transgenic line 1a5c; D, H, the transgenic line 1b5c. Bars in A–D indicate 1 mm.
Sections of the B. napus seeds (A–D) and the leaves after 1 month of culture on the medium containing the herbicide norflurazon (E–H). A, E, untransformed control; B, F, the transgenic line 1a5b; C, G, the transgenic line 1a5c; D, H, the transgenic line 1b5c. Bars in A–D indicate 1 mm.
Bleaching herbicide resistance of the transgenic B. napus
Transgenic tobacco plants that express the P. ananatis crtI gene under the control of the CaMV 35S promoter were reported to acquire resistance to bleaching herbicides such as norflurazon that inhibits the activity of plant phytoene desaturase (PDS) but not that of CrtI (Misawa et al., 1993, 1994). To assess resistance to norflurazon, leaves of the three transgenic lines were put on agar medium containing norflurazon. After incubation for 1 month, the leaves of the transgenic line 1a5c were still green (Fig. 3G), but those of the other two lines were partly bleached along the veins (Fig. 3F, H). The bleached area was smaller in 1b5c than in 1a5b, indicating that the rank order of acquired resistance to norflurazon, from strongest to weakest, was 1a5c, 1b5c, and 1a5b.
Carotenoid amount and composition in the transgenic B. napus seeds
Carotenoid pigments were extracted from orange- or pinkish orange-coloured transgenic (T1) seeds of the three B. napus lines and analysed using HPLC-PDA. β-Carotene was the predominant carotenoid, with significant amounts of α-carotene, echinenone, lutein, canthaxanthin (Fig. 4B–D), and phytoene (absorbance at 287 nm; data not shown) also detected in these transgenic seeds, while non-transgenic seeds mainly accumulated lutein with small amounts of β-carotene (Fig. 4A) and phytoene (Table 2). The data for the quantification of the carotenoids are summarized in Table 2. The total amount of carotenoids was quantified as 412, 453, and 657 μg g−1 FW in the seeds of the lines 1a5b, 1a5c, and 1b5c, respectively, corresponding to 19-, 21-, and 30-fold increases relative to untransformed seeds (22 μg g−1 FW). The amounts of lutein, phytoene, and β-carotene were increased in these transgenic seeds compared with untransformed controls (Table 2). Carotenoid compositions of the transgenic seeds were different between line 1a5b and the other two lines; the ratio of β-carotene to the total carotenoid amount was higher in line 1a5b (42%) than in lines 1a5c (27%) and 1b5c (33%), while the ratio of ketocarotenoids (echinenone, canthaxanthin, 3′-hydroxyechinenone, 3-hydroxyechinenone, adonirubin, adonixanthin, and astaxanthin) to total carotenoids in lines 1a5c (41%) and 1b5c (29%) was nearly twice or more as high as that in line 1a5b (15%). The total amount of ketocarotenoids in the seeds of 1a5b, 1a5c, and 1b5c was, respectively, 60, 185, and 190 μg g−1 FW. However, levels of β-cryptoxanthin and hydroxylated ketocarotenoids (3-hydroxyechinenone, 3′-hydroxyechinenone, adonirubin, adonixanthin, and astaxanthin) that are not produced ordinarily in higher plants were extremely low in the transgenic seeds (almost 10 μg g−1 FW or less in total; Fig. 4B–D and Table 2). However, lycopene, violaxanthin, zeaxanthin, antheraxanthin, neoxanthin, and chlorophyll pigments, which are synthesized naturally in plant leaves, were not detected in the transgenic or untransformed seeds. Also, astaxanthin oleic acid monoester (a peak was detected at 12.8 min with λmax at 480 nm) was not detected in the transgenic seeds.
Amounts of carotenoid measured in the B. napus seeds in this study
| Line | WT | 1a5b | 1a5c | 1b5c |
| Phytoene | 3.8±0.8 (17.5) | 92.7±50.6 (22.5) | 58.8±8.0 (13.0) | 121.7±64.8 (18.5) |
| Lutein | 17.7±7.5 (81.6) | 28.6±0.9 (6.9) | 30.6±22.5 (6.7) | 27.6±13.4 (4.2) |
| β-Carotene | 0.2±0.3 (0.9) | 174.9±140.6 (42.4) | 121.3±33.7 (26.8) | 214.2±11.2 (32.6) |
| α-Carotene | ND | 49.8±35.3 (12.1) | 52.0±2.0 (11.5) | 95.1±9.7 (14.5) |
| β-Cryptoxanthin | ND | 6.4±4.8 (1.5) | 6.0±2.1 (1.3) | 7.6±3.7 (1.2) |
| Echinenone | ND | 36.6±17.5 (8.9) | 109.8±4.0 (24.2) | 116.9±30.4 (17.8) |
| Canthaxanthin | ND | 15.9±4.7 (3.9) | 51.1±10.0 (11.3) | 49.9±19.9 (7.6) |
| 3′-Hydroxyechinenone | ND | 2.0±0.1 (0.5) | 3.9±3.7 (0.9) | 8.9±3.2 (1.4) |
| 3-Hydroxyechinenone | ND | 2.3±1.0 (0.6) | 10.6±7.3 (2.3) | 8.0±2.5 (1.2) |
| Adonirubin | ND | 2.7±0.3 (0.7) | 7.1±9.2 (1.6) | 5.1±7.2 (0.8) |
| Adonixanthin | ND | 0.3±0.0 (0.1) | 1.5±2.2 (0.3) | 1.4±1.9 (0.2) |
| Astaxanthin | ND | <0.1 (<0.1) | 0.6±0.6 (0.1) | 0.2±0.3 (<0.1) |
| Total | 21.7±6.4 | 412.2±253.4 | 453.3±6.4 | 656.7±164.3 |
| Fold | 1 | 19 | 21 | 30 |
| Line | WT | 1a5b | 1a5c | 1b5c |
| Phytoene | 3.8±0.8 (17.5) | 92.7±50.6 (22.5) | 58.8±8.0 (13.0) | 121.7±64.8 (18.5) |
| Lutein | 17.7±7.5 (81.6) | 28.6±0.9 (6.9) | 30.6±22.5 (6.7) | 27.6±13.4 (4.2) |
| β-Carotene | 0.2±0.3 (0.9) | 174.9±140.6 (42.4) | 121.3±33.7 (26.8) | 214.2±11.2 (32.6) |
| α-Carotene | ND | 49.8±35.3 (12.1) | 52.0±2.0 (11.5) | 95.1±9.7 (14.5) |
| β-Cryptoxanthin | ND | 6.4±4.8 (1.5) | 6.0±2.1 (1.3) | 7.6±3.7 (1.2) |
| Echinenone | ND | 36.6±17.5 (8.9) | 109.8±4.0 (24.2) | 116.9±30.4 (17.8) |
| Canthaxanthin | ND | 15.9±4.7 (3.9) | 51.1±10.0 (11.3) | 49.9±19.9 (7.6) |
| 3′-Hydroxyechinenone | ND | 2.0±0.1 (0.5) | 3.9±3.7 (0.9) | 8.9±3.2 (1.4) |
| 3-Hydroxyechinenone | ND | 2.3±1.0 (0.6) | 10.6±7.3 (2.3) | 8.0±2.5 (1.2) |
| Adonirubin | ND | 2.7±0.3 (0.7) | 7.1±9.2 (1.6) | 5.1±7.2 (0.8) |
| Adonixanthin | ND | 0.3±0.0 (0.1) | 1.5±2.2 (0.3) | 1.4±1.9 (0.2) |
| Astaxanthin | ND | <0.1 (<0.1) | 0.6±0.6 (0.1) | 0.2±0.3 (<0.1) |
| Total | 21.7±6.4 | 412.2±253.4 | 453.3±6.4 | 656.7±164.3 |
| Fold | 1 | 19 | 21 | 30 |
Data are means ±SD from analysis of two independent seed batches and are expressed as μg g−1 FW. Values in parentheses represent the ratio of carotenoid composition to the total amount (%). Values in the Fold row represent the relative total carotenoid amount to that of untransformed seeds (WT).
ND, not detected.
Amounts of carotenoid measured in the B. napus seeds in this study
| Line | WT | 1a5b | 1a5c | 1b5c |
| Phytoene | 3.8±0.8 (17.5) | 92.7±50.6 (22.5) | 58.8±8.0 (13.0) | 121.7±64.8 (18.5) |
| Lutein | 17.7±7.5 (81.6) | 28.6±0.9 (6.9) | 30.6±22.5 (6.7) | 27.6±13.4 (4.2) |
| β-Carotene | 0.2±0.3 (0.9) | 174.9±140.6 (42.4) | 121.3±33.7 (26.8) | 214.2±11.2 (32.6) |
| α-Carotene | ND | 49.8±35.3 (12.1) | 52.0±2.0 (11.5) | 95.1±9.7 (14.5) |
| β-Cryptoxanthin | ND | 6.4±4.8 (1.5) | 6.0±2.1 (1.3) | 7.6±3.7 (1.2) |
| Echinenone | ND | 36.6±17.5 (8.9) | 109.8±4.0 (24.2) | 116.9±30.4 (17.8) |
| Canthaxanthin | ND | 15.9±4.7 (3.9) | 51.1±10.0 (11.3) | 49.9±19.9 (7.6) |
| 3′-Hydroxyechinenone | ND | 2.0±0.1 (0.5) | 3.9±3.7 (0.9) | 8.9±3.2 (1.4) |
| 3-Hydroxyechinenone | ND | 2.3±1.0 (0.6) | 10.6±7.3 (2.3) | 8.0±2.5 (1.2) |
| Adonirubin | ND | 2.7±0.3 (0.7) | 7.1±9.2 (1.6) | 5.1±7.2 (0.8) |
| Adonixanthin | ND | 0.3±0.0 (0.1) | 1.5±2.2 (0.3) | 1.4±1.9 (0.2) |
| Astaxanthin | ND | <0.1 (<0.1) | 0.6±0.6 (0.1) | 0.2±0.3 (<0.1) |
| Total | 21.7±6.4 | 412.2±253.4 | 453.3±6.4 | 656.7±164.3 |
| Fold | 1 | 19 | 21 | 30 |
| Line | WT | 1a5b | 1a5c | 1b5c |
| Phytoene | 3.8±0.8 (17.5) | 92.7±50.6 (22.5) | 58.8±8.0 (13.0) | 121.7±64.8 (18.5) |
| Lutein | 17.7±7.5 (81.6) | 28.6±0.9 (6.9) | 30.6±22.5 (6.7) | 27.6±13.4 (4.2) |
| β-Carotene | 0.2±0.3 (0.9) | 174.9±140.6 (42.4) | 121.3±33.7 (26.8) | 214.2±11.2 (32.6) |
| α-Carotene | ND | 49.8±35.3 (12.1) | 52.0±2.0 (11.5) | 95.1±9.7 (14.5) |
| β-Cryptoxanthin | ND | 6.4±4.8 (1.5) | 6.0±2.1 (1.3) | 7.6±3.7 (1.2) |
| Echinenone | ND | 36.6±17.5 (8.9) | 109.8±4.0 (24.2) | 116.9±30.4 (17.8) |
| Canthaxanthin | ND | 15.9±4.7 (3.9) | 51.1±10.0 (11.3) | 49.9±19.9 (7.6) |
| 3′-Hydroxyechinenone | ND | 2.0±0.1 (0.5) | 3.9±3.7 (0.9) | 8.9±3.2 (1.4) |
| 3-Hydroxyechinenone | ND | 2.3±1.0 (0.6) | 10.6±7.3 (2.3) | 8.0±2.5 (1.2) |
| Adonirubin | ND | 2.7±0.3 (0.7) | 7.1±9.2 (1.6) | 5.1±7.2 (0.8) |
| Adonixanthin | ND | 0.3±0.0 (0.1) | 1.5±2.2 (0.3) | 1.4±1.9 (0.2) |
| Astaxanthin | ND | <0.1 (<0.1) | 0.6±0.6 (0.1) | 0.2±0.3 (<0.1) |
| Total | 21.7±6.4 | 412.2±253.4 | 453.3±6.4 | 656.7±164.3 |
| Fold | 1 | 19 | 21 | 30 |
Data are means ±SD from analysis of two independent seed batches and are expressed as μg g−1 FW. Values in parentheses represent the ratio of carotenoid composition to the total amount (%). Values in the Fold row represent the relative total carotenoid amount to that of untransformed seeds (WT).
ND, not detected.
HPLC-PDA analysis of carotenoids in the B. napus seeds. Maxplot chromatograms from (A) untransformed seeds, (B) seeds of the transgenic line 1a5b, (C) seeds of the transgenic line 1a5c, and (D) seeds of the transgenic line 1b5c are exhibited. The peaks correspond to the following: 1, solvent front; 2, lutein; 3, β-carotene; 4, astaxanthin; 5, adonixanthin; 6, adonirubin; 7, 3′-hydroxyechinenone; 8, canthaxanthin; 9, 3-hydroxyechinenone; 10, β-cryptoxanthin; 11, echinenone; 12, α-carotene.
HPLC-PDA analysis of carotenoids in the B. napus seeds. Maxplot chromatograms from (A) untransformed seeds, (B) seeds of the transgenic line 1a5b, (C) seeds of the transgenic line 1a5c, and (D) seeds of the transgenic line 1b5c are exhibited. The peaks correspond to the following: 1, solvent front; 2, lutein; 3, β-carotene; 4, astaxanthin; 5, adonixanthin; 6, adonirubin; 7, 3′-hydroxyechinenone; 8, canthaxanthin; 9, 3-hydroxyechinenone; 10, β-cryptoxanthin; 11, echinenone; 12, α-carotene.
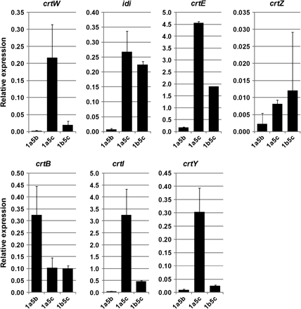
Gene expression in the transgenic B. napus seeds
To analyse expression of the key enzyme genes introduced into the transgenic seeds, transcripts of the genes (transgenes) were monitored by RT-PCR analysis, and the expression of all transgenes was confirmed (data not shown). Next, real-time RT-PCR analysis was carried out with the B. napus ACT7 gene as a reference to compare the expression levels of the genes in the three transgenic lines. It was consequently found that the expression levels of the individual transgenes were not associated with the lines (Fig. 5), and the rank order of expression of the five transgenes (crtW, idi, crtE, crtI, and crtY), from highest to lowest, was 1a5c, 1b5c, and 1a5b (Fig. 5). The other two genes, crtZ and crtB, showed the highest expression levels in 1b5c and 1a5b, respectively. Although it had been intended to examine differences in efficiency between two seed-specific napin and FAE1 promoters that were utilized for expression of the important key genes, crtW or crtB, it was not possible to evaluate the efficiency since differences in the expression levels of each gene were not associated with the promoters.
Real-time RT-PCR analysis of the transgenes involved in carotenoid biosynthesis in the transgenic B. napus seeds. The ACT7 gene was also monitored as a reference. Data are means from analysis of two independent seed batches. Error bars indicate the standard deviation (SD).
Real-time RT-PCR analysis of the transgenes involved in carotenoid biosynthesis in the transgenic B. napus seeds. The ACT7 gene was also monitored as a reference. Data are means from analysis of two independent seed batches. Error bars indicate the standard deviation (SD).
The expression in the seeds of B. napus of endogenous genes involved in carotenoid biosynthesis was also monitored by real-time RT-PCR analysis to examine whether their expression levels were altered by transgenes; 10 genes, encoding phytoene synthase (PSY), phytoene desaturase (PDS), ζ-carotene desaturase (ZDS), carotene isomerase (CRTISO), lycopene β-cyclase (LCYb), lycopene ϵ-cyclase (LCYe), β-carotene hydroxylase (BHY), ϵ-carotene hydroxylase (EHY), zeaxanthin epoxidase (ZEP), and violaxanthin de-epoxidase (VDE) were analysed. The expression levels of five genes (PSY, LCYb, LCYe, ZEP, and VDE) were increased in the seeds of all three transgenic lines relative to the untransformed seeds (Fig. 6). In addition, line 1a5c showed the highest expression levels of seven genes (PSY, PDS, ZDS, LCYb, LCYe, ZEP, and VDE) between the three seed lines (Fig. 6). Specifically, remarkable increases in expression levels were observed for PSY (3.8- to 23-fold), LCYe (2.0- to 7.1-fold), and VDE (3.6- to 5.4-fold) (Fig. 6).
Real-time RT-PCR analysis of the endogenous genes involved in carotenoid biosynthesis in the transgenic B. napus seeds. The ACT7 gene was also monitored as a reference. The expression levels of the genes in transgenic seeds are expressed relative to those in untransformed control seeds. Data are means from analysis of two independent seed batches. Error bars indicate the standard deviation (SD).
Real-time RT-PCR analysis of the endogenous genes involved in carotenoid biosynthesis in the transgenic B. napus seeds. The ACT7 gene was also monitored as a reference. The expression levels of the genes in transgenic seeds are expressed relative to those in untransformed control seeds. Data are means from analysis of two independent seed batches. Error bars indicate the standard deviation (SD).
Discussion
Introduction and expression of the seven key enzyme genes in B. napus
In this study, transgenic B. napus seeds in which the carotenoid biosynthetic pathway was engineered were generated by introducing seven bacterial key enzyme genes for both an increase in carotenoid content and the production of ketocarotenoids. The aim was to reinforce the endogenous carotenoid biosynthetic pathway and add an astaxanthin biosynthetic pathway. It seems very likely that this is the first time that multiple gene cassettes (consisting of 21 parts, excluding the selective marker gene, since each key gene has one promoter and terminator fragment) were introduced into plant cells at the same time and successfully expressed. It was also surprising that their transformation efficiency to regenerate was slightly lower than with the empty plasmid vector pZK3B (data not shown) and that 73–85% of the regenerated plants retained all seven genes. The results suggest that the introduction of multiple genes for expression in plants may be much easier than expected, since such large constructs, which use the same promoter and terminator fragments several times, were predicted to have reduced stability in Agrobacterium and plant cells. Biotechnologists may consider it time-consuming to construct a complicated plasmid for expressing multiple genes, but this difficulty can be eliminated by using a method called multiple gene connection on a matrix that utilizes SfiI and the homing endonuclease sites that has been developed by a previous NEDO project directed by Dr A Shinmyo, as shown in the Materials and methods and in the supplementary information (Supplementary Fig. S1 at JXB online).
High levels of accumulation of ketocarotenoids through an engineered carotenoid biosynthetic pathway in transgenic B. napus seeds
If all the enzymes encoded by the introduced genes were functional, a considerable amount of astaxanthin and the other ketocarotenoids could be expected to accumulate in the transgenic seeds according to the pathways proposed in Fig. 1. In fact, remarkable alterations in carotenoid content and composition were observed in the seeds of all three transgenic lines, regardless of the structure of the plasmids, and this is the first report of ketocarotenoid formation in B. napus. However, extremely low yields of astaxanthin (<0.1–0.6 μg g−1 FW) were produced in the transgenic seeds, similar to the results of previous reports (Ralley et al., 2004; Gerjets and Sandmann, 2006; Morris et al., 2006). Recently, a high level of accumulation of astaxanthin as the predominant carotenoid has been reported in transgenic carrot roots (91 μg g−1 FW, Jayaraj et al., 2008) and especially in tobacco leaves with plastid transformation (3.3 mg g−1 dry weight, Hasunuma et al., 2008). On the other hand, it was shown here that considerable amounts of intermediate ketocarotenoids accumulated in the seeds of two of the transgenic canola lines (1a5c and 1b5c). The amount of ketocarotenoid (185 μg g−1 FW and 190 μg g−1 FW) in the transgenic seeds was similar to that reported in previous studies on ketocarotenoid production in plants (224 μg g−1 FW in transgenic tobacco nectaries, Mann et al., 2000; 234 μg g−1 FW in transgenic carrot roots, Jarayaj et al., 2008). However, it was surprising that echinenone and canthaxanthin were the main ketocarotenoids that accumulated in lines 1a5c and 1b5c, contributing to almost 90% of the total amount of ketocarotenoid, since no other transgenic plants have shown such results (Ralley et al., 2004; Gerjets and Sandmann, 2006; Morris et al., 2006; Suzuki et al., 2007; Hasunuma et al., 2008; Jayaraj et al., 2008). It was recently reported that transgenic carrot plants that accumulated ketocarotenoids acquired tolerance to UV and oxidative stress (Jayaraj and Punja, 2008). The transgenic B. napus seeds in this study may also have a tolerance due to similar accumulation levels of ketocarotenoids compared with the transgenic carrot plants mentioned above. A novel ketocarotenoid (4-ketoantheraxanthin) was shown to be produced through overexpression of crtW in the leaves of tobacco (Hasunuma et al., 2008; Shindo et al., 2008), whereas this novel carotenoid was not detected in the transgenic canola lines in the present study. Further, some carotenoids are also known to be present in their ester forms in plants (Ralley et al., 2004). Thus, the transgenic canola seeds in this study might have produced carotenoid esters. However, peaks of carotenoid esters were not detected, at least for astaxanthin oleic acid monoester that is most likely to be produced in the transgenic canola seeds. Nevertheless, some unidentified HPLC-PDA peaks were detected (e.g. a peak detected at 13.5 min); it was difficult to identify these at present because of their very low amounts.
Effects of the seven key enzyme genes on the carotenoid biosynthetic pathway in transgenic B. napus seeds
As mentioned above, the lower amount of hydroxylated carotenoids observed in this study suggests that expression of crtZ (the bacterial β-carotene hydroxylase gene) may not be sufficient to increase carotenoid levels. In addition, the significant accumulation of several carotenes, such as phytoene and β-carotene, suggests that the catalytic functions of other introduced key enzymes, such as CrtI and CrtW, may also be insufficient. The expression levels of the transgenes were then analysed and it was considered whether they could explain the increase in carotenoid content and altered composition in the transgenic seeds.
idi and crtE genes that are involved in the early isoprenoid synthetic pathway to GGPP were introduced, as well as crtB that is postulated to mediate an important rate-limiting step, with an expected increase in carotenoid level relative to plants transformed with crtB alone. It was found, however, that the expression levels of idi, crtE, and crtB were not correlated with the total carotenoid amounts of the three lines, indicating that the expression levels of these genes could not explain the increase in carotenoid content. In addition, the carotenoid levels in the transgenic seeds (19- to 30-fold relative to untransformed seeds) were similar to or less than values reported for crtB-transformed seeds (Shewmaker et al., 1999; maximum of 50-fold) and the B. napus seeds expressing only crtB (32- to 55-fold, data not shown). These results suggest that the increase of the total carotenoid amount detected in this study is mainly due to the activity of CrtB, and not Idi and CrtE. The excess intermediate isoprenoids generated by Idi and CrtE, such as FPP and GGPP, may be metabolized to other isoprenoid pathways rather than to carotenoids.
Similarly, the considerable accumulation of phytoene in the transgenic seeds suggests that the contribution of the CrtI enzyme is not sufficient. Further, the accumulation of α-carotene and lutein as well as β-carotene suggests that the contribution of the CrtY enzyme is also insufficient, although it seems to contribute slightly to the increase in the ratio of β-carotene to α-carotene, which has been observed in previous research (Ravanello et al., 2003). However, the expression levels of crtI and crtY did not seem to correlate with the phytoene or β-carotene levels in all three lines, indicating that the expression levels of the two genes could not explain the altered carotenoid composition in the transgenic seeds.
The observation that β-carotene was the predominant carotenoid in the transgenic seeds also indicates that further improvements in oxygenation reactions (ketolation and hydroxylation) of β-carotene catalysed by CrtW, CrtZ, and BHY are required for the production of industrially useful ketocarotenoids such as astaxanthin. Also, the ratio of hydroxylated carotenoids, including astaxanthin, to the overall carotenoids was considerably small in the transgenic seeds of the three lines. The CrtZ enzyme from Brevundimonas sp. strain SD212 used here is capable of efficiently catalysing ketolated carotenoids such as echinenone and canthaxanthin (Choi et al., 2006; Hasunuma et al., 2008). Thus, insufficient expression of the crtZ gene probably caused the low ratio of the hydroxylated carotenoids. In addition, the accumulation of unprocessed proteins from SSU-CrtZ may interfere with the hydroxylation reactions (Jayaraj et al., 2008). To improve such a limiting step, the use of a translational enhancer, such as the 5′-untranslated region of tobacco alcohol dehydrogenase, which is connected upstream of a key gene, may raise its expression level (Satoh et al., 2004).
In contrast to the above-mentioned cases, the expression levels of the crtI and crtW genes were strongly correlated with resistance to bleaching and ketocarotenoid accumulation. For crtI, it was found that the bleached area of the leaves became smaller among the three transgenic lines as the expression levels of the crtI gene increased. Bleaching herbicide resistance would improve cultivation of transgenic canola by removing the need for weeding and effectively increasing the yield of carotenoid-rich seeds. For crtW, it was found that expression of crtW was correlated with the ratio of ketocarotenoids to the overall carotenoids between the three transgenic lines. The 1a5c seeds that showed the highest crtI expression level also had the highest ratio of ketocarotenoids and formed seeds with a pinkish-orange colour.
Changes in the expression levels of endogenous carotenogenic genes in the transgenic B. napus seeds
In addition to the results described above, it was found that the expression levels of endogenous carotenogenic genes were changed in the transgenic B. napus seeds. Expression levels of endogenous genes have been studied in transgenic potato (Ducreux et al., 2005; Diretto et al., 2006, 2007a, b) and tobacco (Hasunuma et al., 2008). Although the extent of change in expression varied according to species, tissue, or introduced gene, several endogenous genes were found to be up-regulated in the present study. It is hypothesized that the introduction of the transgenes resulted in an increase in carotenoid content, consequently altering the expression levels of some endogenous genes. At present, it is difficult to explain the differences in the amount and composition of carotenoids in seeds of the three lines based on expression levels of the endogenous genes as well as the transgenes. Successive metabolic reactions in the carotenoid biosynthetic pathway may make it difficult to clarify the effects of both the transgenes and endogenous genes on carotenoid production in the transgenic B. napus seeds. Further analysis using progeny derived from seeds in this study, and also from some additional lines, would improve clarity on how the transgenes and endogenous genes involved in carotenoid biosynthesis are regulated and how the carotenoid level can be controlled in the transgenic B. napus seeds in the near future.
Supplementary data
The following Supplementary data are available at JXB online.
Supplementary Data. Schematic illustrations for construction of the plasmids harbouring multiple key genes involved in ketocarotenoid formation.
Supplementary Data. Composition of medium used in this study for the transformation of B. napus.
The authors express sincere thank to Dr Masaharu Kuroda, National Agricultural Research Center Hokuriku Research Center, for kindly providing the binary vector pZK3B, Mr Toshihiko Otomatsu, KNC Laboratories Co., Ltd, for the gift of astaxanthin oleic acid monoester, and Ms Mio Watanabe, Marine Biotechnology Institute, for developing the plant transformation procedure. The authors also thank Ms Miyuki Murakami and Ms Megumi Fujita for their assistance in experiments on plant transformation and cultivation, and Ms Kanami Moriya for her assistance in experiments on plasmid construction. This work has been supported through project P02001 (directed by Professor A Shinmyo) by the New Energy and Industrial Technology Development Organization (NEDO), under the sponsorship of the Ministry of Economy, Trade, and Industry (METI) of Japan.







Comments