- Split View
-
Views
-
CiteCitation
Takeshi Sumida, Nobuhide Doi, Hiroshi Yanagawa; Bicistronic DNA display for in vitro selection of Fab fragments , Nucleic Acids Research, Volume 37, Issue 22, 1 December 2009, Pages e147, https://doi.org/10.1093/nar/gkp776
Download citation file:
© 2018 Oxford University Press
Close -
Share
Abstract
In vitro display methods are superior tools for obtaining monoclonal antibodies. Although totally in vitro display methods, such as ribosome display and mRNA display, have the advantages of larger library sizes and quicker selection procedures compared with phage display, their applications have been limited to single-chain Fvs due to the requirement for linking of the mRNA and the nascent protein on the ribosome. Here we describe a different type of totally in vitro method, DNA display, that is applicable to heterodimeric Fab fragments: in vitro compartmentalization in water-in-oil emulsions allows the linking of an oligomeric protein and its encoding DNA with multiple ORFs. Since previously used emulsions impaired the synthesis of functional Fab fragments, we modified conditions for preparing emulsions, and identified conditions under which it was possible to enrich Fab fragments 10 6 -fold per three rounds of affinity selection. Furthermore, we confirmed that genes encoding stable Fab fragments could be selected from a Fab fragment library with a randomized hydrophobic core in the constant region by applying heat treatment as a selection pressure. Since this method has all advantages of both phage display and totally in vitro display, it represents a new option for many applications using display methods.
INTRODUCTION
Due to their highly diverse and specific antigen-binding ability, monoclonal antibodies are widely used in many areas, from basic research to industrial and therapeutic applications. In vitro selection of recombinant antibodies using antibody-display methods is an effective tool for obtaining these monoclonal antibodies ( 1 ). In particular, the totally in vitro display methods such as ribosome display ( 2 ) and mRNA display ( 3 , 4 ) have the advantage of permitting speedy selection from large libraries. However, these methods link the genotype and phenotype on the ribosome, so that they are only applicable to single-chain Fvs (scFvs) ( 5 , 6 ), and cannot be applied to oligomeric proteins such as whole IgGs or even heterodimeric Fab fragments. Selection of oligomeric proteins, Fab fragments in particular, has only been carried out with partially in vitro display methods, such as phage display ( 7 ) and yeast-surface display ( 8 ), which have limitations arising from the need to use Escherichia coli or yeast during the process. Compared to the commonly used scFv, Fab fragments have no artificial sequence and contain the constant region, being more antibody-like. Also, because the constant region stabilizes the whole Fab fragment ( 9 , 10 ), the Fab fragment is more stable than the scFv in most cases ( 10 , 11 ). Therefore, a novel display method for totally in vitro selection of Fab fragments would be very useful.
In this study we adopted a DNA display method, STABLE ( 12–14 ), to establish a procedure that combines the merits of both of these display methods, i.e. one that would be totally in vitro and also applicable to oligomeric proteins. STABLE relies on in vitro compartmentalization in water-in-oil emulsions ( 15 ) and the streptavidin-biotin linkage. Since the DNA (genotype) and transcribed/translated protein (phenotype) are compartmentalized in a single micelle, a DNA with multiple ORFs can be linked to the corresponding and properly formed oligomeric protein. We first investigated the conditions of this DNA display method to optimize it for the enrichment of Fab fragments by affinity selection, and then successfully carried out a totally in vitro selection from a Fab fragment library with a randomized hydrophobic core in the constant region.
MATERIALS AND METHODS
DNA construction
The oligonucleotide sequences used are listed on Table 1 . The Heavy chain (H-chain) and Light chain (L-chain) genes of an anti-fluorescein Fab fragment were constructed by two steps of PCR using KOD-plus DNA polymerase (Toyobo). First, the variable and constant region were each constructed. The variable region was extracted by PCR from scFv c12 with mutations H-D101N and L-H94Y ( 5 ) using primers PFLVH-F and VH-R for the V H domain (variable region of H-chain) and primers PFLVL-F and VL-R for the V L domain (variable region of L-chain). The constant region was assembled by overlap-extension PCR using primers VHR-F, CHmyc-R and oligonucleotides synCH1–3 for the C H1 domain (constant region 1 of H-chain) and primers VLR-F, CLFLAG-R and oligonucleotides synCL1–3 for the C L domain (constant region of L-chain). Second, the variable region and constant region were assembled by overlap-extension PCR using primers Universal and mycT7-R or primers Universal and FLAGT7-R to make the H- and L-chain genes, respectively. The final PCR products were cloned into pCR2.1-TOPO vector (Invitrogen), making an H-chain gene containing a T7 promoter, a Shine-Dalgarno (SD) sequence, and an ORF for the V H domain, C H1 domain and a c-myc tag; and an L-chain gene containing a T7 promoter, an SD sequence, and an ORF for the V L domain, C L domain and a FLAG tag.
Oligonucleotide sequences
| Name | Sequence (5′ to 3′) |
|---|---|
| 421VHCHF-R | GATGGGCCCTTGGTGGAGGCTGAGGAGACGGTGACCGTGGTC |
| 421VLCLF-R | GAAGACAGATGGTGCAGCCACAGTGCGTTTAATTTCCAGCTTGGTGCCAGC |
| CH-F | GCCTCCACCAAGGGCCCATC |
| CHmyc-R | AGATCCTCTTCAGAGATGAGTTTCTGCTCACAAG |
| CL-F | ACTGTGGCTGCACCATCTGTCTTC |
| CLFLAG-R | CTTGTCGTCATCGTCCTTGTAGTCACAC |
| FLAG-R | CTTGTCGTCATCGTCCTTGTAGTC |
| FLAGT7-R | GCTAGTTATTGCTCAGCGGTCGACTACTTGTCGTCATCGTCCTTGTAGTC |
| FluoH-F | CAGGATCGAGTGGGTCAAAC |
| FluoH-R | GGTGCTGGAGCTTTTGTCTG |
| HL124-R | GCCGCTGTGCCCCCAGAGGTGCTCTTGGAGGAGGGTGCMANGGGGAAGACCGAT |
| HL141-F | AGCACCTCTGGGGGCACAGCGGCCCTGGGCTGCNTKGTCAAGGACTACTTC |
| HS179V181-R | GATGTAGGTCTGGGTGCCCAAGCTGCTGGAGGGCACGGTCACMANGCTMANGAGGGAGTAGAG |
| LF118-R | TTCCAGATTTCAACTGCTCATCAGATGGCGGMANGATGAAGACAGA |
| LV133L135-F | TCTGATGAGCAGTTGAAATCTGGAACTGCCTCTGTTNTKTGCNTKCTGAATAACTTCTATCCC |
| myc-R | GAGATCCTCTTCAGAGATGAGTTTCTGCTC |
| mycT7-R | GCTAGTTATTGCTCAGCGGTCGACTACAGATCCTCTTCAGAGATGAGTTTCTGCTC |
| P421VH-F | AAGGAGATATACCAATGCAGGTGCAGCTGCAGCAGT |
| P421VL-F | AAGGAGATATACCAATGGATGTTTTGATGACCCAAACTC |
| p53H-F | GGCAGAGCTTGTAAGGTCAG |
| p53H-R | CAATCCATCCAATCCACTCC |
| PCBUniv-F | GAAATTAATACGACTCACTATAGG |
| PCBT7-R | GCTAGTTATTGCTCAGCGG |
| PFLVH-F | AAGGAGATATACCAATGGAGGTTCAGCTGCAGCAGT |
| PFLVL-F | AAGGAGATATACCAATGGACATTGTGATGACCCAGTCTC |
| STAsd-R | GTGGCATCTCCTTCACTGCTGAACAGCGTCCAGC |
| synCH1 | GACTACCCTTACTGTCTCTTCCGCCTCCACCAAGGGCCCATCGGTCTTCCCCCTGGCACCCTCCTCCAAG AGCACCTCTGGGGGCACAGCGGCCCTGGGCTGCCTGGTCAAGGACTACTTCCCCGAACCGGTGAC |
| synCH2 | TACTTCCCCGAACCGGTGACGGTGTCGTGGAACTCAGGCGCCCTGACCAGCGGCGTGCACACCTTCCC GGCTGTCCTACAGTCCTCAGGACTCTACTCCCTCAGCAGCGTGGTGACCGTGCCCTCCAGCAG |
| synCH3 | GACCGTGCCCTCCAGCAGCTTGGGCACCCAGACCTACATCTGCAACGTGAATCACAAGCCCAGCAACAC CAAGGTGGACAAGAAAGTTGAGCCCAAATCTTGTGAGCAGAAACTCATCTCTGAAGAGGATCTG |
| synCL1 | GGACTAAGTTGGAACTCAAACGCACTGTGGCTGCACCATCTGTCTTCATCTTCCCGCCATCTGATGAG CAGTTGAAATCTGGAACTGCCTCTGTTGTGTGCCTGCTGAATAACTTCTATCCCAGAGAGGCCAAAGTG |
| synCL2 | CTATCCCAGAGAGGCCAAAGTGCAGTGGAAGGTGGATAACGCCCTCCAATCGGGTAACTCCCAGGAGA GTGTCACAGAGCAGGACAGCAAGGACAGCACCTACAGCCTCAGCAGCACCCTGACGCTGAGCAAAG |
| synCL3 | CACCCTGACGCTGAGCAAAGCAGACTACGAGAAACACAAAGTCTACGCCTGCGAAGTCACCCATCAGGG CCTGAGCTCGCCCGTCACAAAGAGCTTCAACAGGGGAGAGTGTGACTACAAGGACGATGACGACAAG |
| T7-R | GCTAGTTATTGCTCAGCGG |
| Univ-F | GAAATTAATACGACTCACTATAGG |
| Universal | GAAATTAATACGACTCACTATAGGGAGACCACAACGGTTTCCCTCTAGAAATAATTTTGTTTAACTTTAA GAAGGAGATATACCA |
| VH-R | GGAAGAGACAGTAAGGGTAGTC |
| VHR-F | GACTACCCTTACTGTCTCTTCC |
| VL-R | GCGTTTGAGTTCCAACTTAGTCC |
| VLR-F | GGACTAAGTTGGAACTCAAACGC |
| x-F | CTTGGGCACCCAGACCTACATCTGCAACGTGAATCACA |
| Name | Sequence (5′ to 3′) |
|---|---|
| 421VHCHF-R | GATGGGCCCTTGGTGGAGGCTGAGGAGACGGTGACCGTGGTC |
| 421VLCLF-R | GAAGACAGATGGTGCAGCCACAGTGCGTTTAATTTCCAGCTTGGTGCCAGC |
| CH-F | GCCTCCACCAAGGGCCCATC |
| CHmyc-R | AGATCCTCTTCAGAGATGAGTTTCTGCTCACAAG |
| CL-F | ACTGTGGCTGCACCATCTGTCTTC |
| CLFLAG-R | CTTGTCGTCATCGTCCTTGTAGTCACAC |
| FLAG-R | CTTGTCGTCATCGTCCTTGTAGTC |
| FLAGT7-R | GCTAGTTATTGCTCAGCGGTCGACTACTTGTCGTCATCGTCCTTGTAGTC |
| FluoH-F | CAGGATCGAGTGGGTCAAAC |
| FluoH-R | GGTGCTGGAGCTTTTGTCTG |
| HL124-R | GCCGCTGTGCCCCCAGAGGTGCTCTTGGAGGAGGGTGCMANGGGGAAGACCGAT |
| HL141-F | AGCACCTCTGGGGGCACAGCGGCCCTGGGCTGCNTKGTCAAGGACTACTTC |
| HS179V181-R | GATGTAGGTCTGGGTGCCCAAGCTGCTGGAGGGCACGGTCACMANGCTMANGAGGGAGTAGAG |
| LF118-R | TTCCAGATTTCAACTGCTCATCAGATGGCGGMANGATGAAGACAGA |
| LV133L135-F | TCTGATGAGCAGTTGAAATCTGGAACTGCCTCTGTTNTKTGCNTKCTGAATAACTTCTATCCC |
| myc-R | GAGATCCTCTTCAGAGATGAGTTTCTGCTC |
| mycT7-R | GCTAGTTATTGCTCAGCGGTCGACTACAGATCCTCTTCAGAGATGAGTTTCTGCTC |
| P421VH-F | AAGGAGATATACCAATGCAGGTGCAGCTGCAGCAGT |
| P421VL-F | AAGGAGATATACCAATGGATGTTTTGATGACCCAAACTC |
| p53H-F | GGCAGAGCTTGTAAGGTCAG |
| p53H-R | CAATCCATCCAATCCACTCC |
| PCBUniv-F | GAAATTAATACGACTCACTATAGG |
| PCBT7-R | GCTAGTTATTGCTCAGCGG |
| PFLVH-F | AAGGAGATATACCAATGGAGGTTCAGCTGCAGCAGT |
| PFLVL-F | AAGGAGATATACCAATGGACATTGTGATGACCCAGTCTC |
| STAsd-R | GTGGCATCTCCTTCACTGCTGAACAGCGTCCAGC |
| synCH1 | GACTACCCTTACTGTCTCTTCCGCCTCCACCAAGGGCCCATCGGTCTTCCCCCTGGCACCCTCCTCCAAG AGCACCTCTGGGGGCACAGCGGCCCTGGGCTGCCTGGTCAAGGACTACTTCCCCGAACCGGTGAC |
| synCH2 | TACTTCCCCGAACCGGTGACGGTGTCGTGGAACTCAGGCGCCCTGACCAGCGGCGTGCACACCTTCCC GGCTGTCCTACAGTCCTCAGGACTCTACTCCCTCAGCAGCGTGGTGACCGTGCCCTCCAGCAG |
| synCH3 | GACCGTGCCCTCCAGCAGCTTGGGCACCCAGACCTACATCTGCAACGTGAATCACAAGCCCAGCAACAC CAAGGTGGACAAGAAAGTTGAGCCCAAATCTTGTGAGCAGAAACTCATCTCTGAAGAGGATCTG |
| synCL1 | GGACTAAGTTGGAACTCAAACGCACTGTGGCTGCACCATCTGTCTTCATCTTCCCGCCATCTGATGAG CAGTTGAAATCTGGAACTGCCTCTGTTGTGTGCCTGCTGAATAACTTCTATCCCAGAGAGGCCAAAGTG |
| synCL2 | CTATCCCAGAGAGGCCAAAGTGCAGTGGAAGGTGGATAACGCCCTCCAATCGGGTAACTCCCAGGAGA GTGTCACAGAGCAGGACAGCAAGGACAGCACCTACAGCCTCAGCAGCACCCTGACGCTGAGCAAAG |
| synCL3 | CACCCTGACGCTGAGCAAAGCAGACTACGAGAAACACAAAGTCTACGCCTGCGAAGTCACCCATCAGGG CCTGAGCTCGCCCGTCACAAAGAGCTTCAACAGGGGAGAGTGTGACTACAAGGACGATGACGACAAG |
| T7-R | GCTAGTTATTGCTCAGCGG |
| Univ-F | GAAATTAATACGACTCACTATAGG |
| Universal | GAAATTAATACGACTCACTATAGGGAGACCACAACGGTTTCCCTCTAGAAATAATTTTGTTTAACTTTAA GAAGGAGATATACCA |
| VH-R | GGAAGAGACAGTAAGGGTAGTC |
| VHR-F | GACTACCCTTACTGTCTCTTCC |
| VL-R | GCGTTTGAGTTCCAACTTAGTCC |
| VLR-F | GGACTAAGTTGGAACTCAAACGC |
| x-F | CTTGGGCACCCAGACCTACATCTGCAACGTGAATCACA |
N = A, T, G or C; K = T or G; M = A or C.
PCBUniv-F and PCBT7-R are labeled with photo-cleavable biotin at the 5′-end.
Oligonucleotide sequences
| Name | Sequence (5′ to 3′) |
|---|---|
| 421VHCHF-R | GATGGGCCCTTGGTGGAGGCTGAGGAGACGGTGACCGTGGTC |
| 421VLCLF-R | GAAGACAGATGGTGCAGCCACAGTGCGTTTAATTTCCAGCTTGGTGCCAGC |
| CH-F | GCCTCCACCAAGGGCCCATC |
| CHmyc-R | AGATCCTCTTCAGAGATGAGTTTCTGCTCACAAG |
| CL-F | ACTGTGGCTGCACCATCTGTCTTC |
| CLFLAG-R | CTTGTCGTCATCGTCCTTGTAGTCACAC |
| FLAG-R | CTTGTCGTCATCGTCCTTGTAGTC |
| FLAGT7-R | GCTAGTTATTGCTCAGCGGTCGACTACTTGTCGTCATCGTCCTTGTAGTC |
| FluoH-F | CAGGATCGAGTGGGTCAAAC |
| FluoH-R | GGTGCTGGAGCTTTTGTCTG |
| HL124-R | GCCGCTGTGCCCCCAGAGGTGCTCTTGGAGGAGGGTGCMANGGGGAAGACCGAT |
| HL141-F | AGCACCTCTGGGGGCACAGCGGCCCTGGGCTGCNTKGTCAAGGACTACTTC |
| HS179V181-R | GATGTAGGTCTGGGTGCCCAAGCTGCTGGAGGGCACGGTCACMANGCTMANGAGGGAGTAGAG |
| LF118-R | TTCCAGATTTCAACTGCTCATCAGATGGCGGMANGATGAAGACAGA |
| LV133L135-F | TCTGATGAGCAGTTGAAATCTGGAACTGCCTCTGTTNTKTGCNTKCTGAATAACTTCTATCCC |
| myc-R | GAGATCCTCTTCAGAGATGAGTTTCTGCTC |
| mycT7-R | GCTAGTTATTGCTCAGCGGTCGACTACAGATCCTCTTCAGAGATGAGTTTCTGCTC |
| P421VH-F | AAGGAGATATACCAATGCAGGTGCAGCTGCAGCAGT |
| P421VL-F | AAGGAGATATACCAATGGATGTTTTGATGACCCAAACTC |
| p53H-F | GGCAGAGCTTGTAAGGTCAG |
| p53H-R | CAATCCATCCAATCCACTCC |
| PCBUniv-F | GAAATTAATACGACTCACTATAGG |
| PCBT7-R | GCTAGTTATTGCTCAGCGG |
| PFLVH-F | AAGGAGATATACCAATGGAGGTTCAGCTGCAGCAGT |
| PFLVL-F | AAGGAGATATACCAATGGACATTGTGATGACCCAGTCTC |
| STAsd-R | GTGGCATCTCCTTCACTGCTGAACAGCGTCCAGC |
| synCH1 | GACTACCCTTACTGTCTCTTCCGCCTCCACCAAGGGCCCATCGGTCTTCCCCCTGGCACCCTCCTCCAAG AGCACCTCTGGGGGCACAGCGGCCCTGGGCTGCCTGGTCAAGGACTACTTCCCCGAACCGGTGAC |
| synCH2 | TACTTCCCCGAACCGGTGACGGTGTCGTGGAACTCAGGCGCCCTGACCAGCGGCGTGCACACCTTCCC GGCTGTCCTACAGTCCTCAGGACTCTACTCCCTCAGCAGCGTGGTGACCGTGCCCTCCAGCAG |
| synCH3 | GACCGTGCCCTCCAGCAGCTTGGGCACCCAGACCTACATCTGCAACGTGAATCACAAGCCCAGCAACAC CAAGGTGGACAAGAAAGTTGAGCCCAAATCTTGTGAGCAGAAACTCATCTCTGAAGAGGATCTG |
| synCL1 | GGACTAAGTTGGAACTCAAACGCACTGTGGCTGCACCATCTGTCTTCATCTTCCCGCCATCTGATGAG CAGTTGAAATCTGGAACTGCCTCTGTTGTGTGCCTGCTGAATAACTTCTATCCCAGAGAGGCCAAAGTG |
| synCL2 | CTATCCCAGAGAGGCCAAAGTGCAGTGGAAGGTGGATAACGCCCTCCAATCGGGTAACTCCCAGGAGA GTGTCACAGAGCAGGACAGCAAGGACAGCACCTACAGCCTCAGCAGCACCCTGACGCTGAGCAAAG |
| synCL3 | CACCCTGACGCTGAGCAAAGCAGACTACGAGAAACACAAAGTCTACGCCTGCGAAGTCACCCATCAGGG CCTGAGCTCGCCCGTCACAAAGAGCTTCAACAGGGGAGAGTGTGACTACAAGGACGATGACGACAAG |
| T7-R | GCTAGTTATTGCTCAGCGG |
| Univ-F | GAAATTAATACGACTCACTATAGG |
| Universal | GAAATTAATACGACTCACTATAGGGAGACCACAACGGTTTCCCTCTAGAAATAATTTTGTTTAACTTTAA GAAGGAGATATACCA |
| VH-R | GGAAGAGACAGTAAGGGTAGTC |
| VHR-F | GACTACCCTTACTGTCTCTTCC |
| VL-R | GCGTTTGAGTTCCAACTTAGTCC |
| VLR-F | GGACTAAGTTGGAACTCAAACGC |
| x-F | CTTGGGCACCCAGACCTACATCTGCAACGTGAATCACA |
| Name | Sequence (5′ to 3′) |
|---|---|
| 421VHCHF-R | GATGGGCCCTTGGTGGAGGCTGAGGAGACGGTGACCGTGGTC |
| 421VLCLF-R | GAAGACAGATGGTGCAGCCACAGTGCGTTTAATTTCCAGCTTGGTGCCAGC |
| CH-F | GCCTCCACCAAGGGCCCATC |
| CHmyc-R | AGATCCTCTTCAGAGATGAGTTTCTGCTCACAAG |
| CL-F | ACTGTGGCTGCACCATCTGTCTTC |
| CLFLAG-R | CTTGTCGTCATCGTCCTTGTAGTCACAC |
| FLAG-R | CTTGTCGTCATCGTCCTTGTAGTC |
| FLAGT7-R | GCTAGTTATTGCTCAGCGGTCGACTACTTGTCGTCATCGTCCTTGTAGTC |
| FluoH-F | CAGGATCGAGTGGGTCAAAC |
| FluoH-R | GGTGCTGGAGCTTTTGTCTG |
| HL124-R | GCCGCTGTGCCCCCAGAGGTGCTCTTGGAGGAGGGTGCMANGGGGAAGACCGAT |
| HL141-F | AGCACCTCTGGGGGCACAGCGGCCCTGGGCTGCNTKGTCAAGGACTACTTC |
| HS179V181-R | GATGTAGGTCTGGGTGCCCAAGCTGCTGGAGGGCACGGTCACMANGCTMANGAGGGAGTAGAG |
| LF118-R | TTCCAGATTTCAACTGCTCATCAGATGGCGGMANGATGAAGACAGA |
| LV133L135-F | TCTGATGAGCAGTTGAAATCTGGAACTGCCTCTGTTNTKTGCNTKCTGAATAACTTCTATCCC |
| myc-R | GAGATCCTCTTCAGAGATGAGTTTCTGCTC |
| mycT7-R | GCTAGTTATTGCTCAGCGGTCGACTACAGATCCTCTTCAGAGATGAGTTTCTGCTC |
| P421VH-F | AAGGAGATATACCAATGCAGGTGCAGCTGCAGCAGT |
| P421VL-F | AAGGAGATATACCAATGGATGTTTTGATGACCCAAACTC |
| p53H-F | GGCAGAGCTTGTAAGGTCAG |
| p53H-R | CAATCCATCCAATCCACTCC |
| PCBUniv-F | GAAATTAATACGACTCACTATAGG |
| PCBT7-R | GCTAGTTATTGCTCAGCGG |
| PFLVH-F | AAGGAGATATACCAATGGAGGTTCAGCTGCAGCAGT |
| PFLVL-F | AAGGAGATATACCAATGGACATTGTGATGACCCAGTCTC |
| STAsd-R | GTGGCATCTCCTTCACTGCTGAACAGCGTCCAGC |
| synCH1 | GACTACCCTTACTGTCTCTTCCGCCTCCACCAAGGGCCCATCGGTCTTCCCCCTGGCACCCTCCTCCAAG AGCACCTCTGGGGGCACAGCGGCCCTGGGCTGCCTGGTCAAGGACTACTTCCCCGAACCGGTGAC |
| synCH2 | TACTTCCCCGAACCGGTGACGGTGTCGTGGAACTCAGGCGCCCTGACCAGCGGCGTGCACACCTTCCC GGCTGTCCTACAGTCCTCAGGACTCTACTCCCTCAGCAGCGTGGTGACCGTGCCCTCCAGCAG |
| synCH3 | GACCGTGCCCTCCAGCAGCTTGGGCACCCAGACCTACATCTGCAACGTGAATCACAAGCCCAGCAACAC CAAGGTGGACAAGAAAGTTGAGCCCAAATCTTGTGAGCAGAAACTCATCTCTGAAGAGGATCTG |
| synCL1 | GGACTAAGTTGGAACTCAAACGCACTGTGGCTGCACCATCTGTCTTCATCTTCCCGCCATCTGATGAG CAGTTGAAATCTGGAACTGCCTCTGTTGTGTGCCTGCTGAATAACTTCTATCCCAGAGAGGCCAAAGTG |
| synCL2 | CTATCCCAGAGAGGCCAAAGTGCAGTGGAAGGTGGATAACGCCCTCCAATCGGGTAACTCCCAGGAGA GTGTCACAGAGCAGGACAGCAAGGACAGCACCTACAGCCTCAGCAGCACCCTGACGCTGAGCAAAG |
| synCL3 | CACCCTGACGCTGAGCAAAGCAGACTACGAGAAACACAAAGTCTACGCCTGCGAAGTCACCCATCAGGG CCTGAGCTCGCCCGTCACAAAGAGCTTCAACAGGGGAGAGTGTGACTACAAGGACGATGACGACAAG |
| T7-R | GCTAGTTATTGCTCAGCGG |
| Univ-F | GAAATTAATACGACTCACTATAGG |
| Universal | GAAATTAATACGACTCACTATAGGGAGACCACAACGGTTTCCCTCTAGAAATAATTTTGTTTAACTTTAA GAAGGAGATATACCA |
| VH-R | GGAAGAGACAGTAAGGGTAGTC |
| VHR-F | GACTACCCTTACTGTCTCTTCC |
| VL-R | GCGTTTGAGTTCCAACTTAGTCC |
| VLR-F | GGACTAAGTTGGAACTCAAACGC |
| x-F | CTTGGGCACCCAGACCTACATCTGCAACGTGAATCACA |
N = A, T, G or C; K = T or G; M = A or C.
PCBUniv-F and PCBT7-R are labeled with photo-cleavable biotin at the 5′-end.
Similarly, the H- and L-chain genes of an anti-p53 Fab fragment were constructed by two steps of PCR. First, the variable region and constant region were extracted by PCR. From scFv421 ( 16 ), primers P421VH-F and 421VHCHF-R or primers P421VL-F and 421VLCLF-R were used to extract the V H and V L domains, respectively, and from the constructed anti-fluorescein Fab fragment gene, primers CH-F and myc-R or primers CL-F and FLAG-R were used to extract the C H1 domain and C L domain, respectively. Second, the variable region and constant region were assembled by overlap-extension PCR, using the same procedure as for the anti-fluorescein. The final PCR products were also cloned into pCR2.1-TOPO vector.
The final streptavidin-fused Fab fragment gene construct was made by overlap-extension PCR using KOD-plus DNA polymerase. The H- and L-chain genes described above and a low GC content streptavidin gene ( 13 ) were assembled by overlap-extension PCR using primers Universal and FLAGT7-R. The PCR products were cloned into pCR-XL-TOPO vector (Invitrogen) to afford the full construct containing a T7 promoter, an SD sequence, the first ORF for the V H domain, C H1 domain, c-myc tag, helical linker ( 14 ) and streptavidin, an SD sequence, and the second ORF for the V L domain, C L domain and a FLAG tag. The genes were named anti-fluoFab-STA for anti-fluorescein and anti-p53Fab-STA for anti-p53. From these genes, PCR was carried out with primers Univ-F and T7-R to make non-biotinylated template DNA and primers PCBUniv-F and PCBT7-R to make photo-cleavable biotinylated template DNA ( 17 ). These PCR products were purified using the QIAquick PCR purification kit (Qiagen).
Library construction
The DNA library of Fab fragments with a randomized hydrophobic core in the constant region was constructed by two steps of PCR (the positions of the randomized seven residues are H-chain Val124, Leu141, Ser179, Val181 and L-chain Phe118, Val133, Leu135). First, four different DNA fragments, H-L124, H-L141S179V181, L-F118 and L-V133L135 were constructed from an anti-fluoFab-STA gene by PCR with KOD-plus DNA polymerase using two primers, Universal and HL124-R, HL141-F and HS179V181-R, x-F and LF118-R, and LV133L135-F and FLAGT7-R, respectively. These four fragments were mixed in equimolar amounts and assembled by overlap-extension PCR with primers PCBUniv-F and PCBT7-R to make biotinylated template DNA. The PCR products were resolved by agarose gel electrophoresis and the 2030 bp band, which resembles full-length streptavidin-fused Fab fragment gene, was extracted and purified using the QIAquick gel extraction kit (Qiagen).
Pull-down assay
Streptavidin-fused Fab fragments were expressed by transcribing and translating 1 pmol of non-biotinylated template DNA with an E. coli reconstituted in vitro transcription/translation system, PURE system S–S (PostGenome Institute), for 2 h at 37°C. Further, 100 pmol of biotinylated antigen [either fluorescein (Sigma) or p53 C-terminal peptide (SKKGQSYSRH)] or biotin was added to 100 µl of 10% Neutravidin-immobilized beads (Pierce) dispersed in PBS, gently mixed at room temperature and finally washed with 100 µl of PBST [PBS with 0.1% Tween 20 (Sigma)] three times to prepare antigen-immobilized beads or mock beads, respectively. To these antigen-immobilized beads or mock beads was added 100 µl of the expressed Fab fragments diluted to 10% with PBST. After having been gently mixed for 1 h at 4°C for binding, the beads were washed with 100 µl of PBST three times and heated at 95°C for 10 min to elute the bound Fab fragments. The initial and the beads fractions were analyzed by 12.5% SDS–PAGE with detection by western blotting using an ECL western blotting kit (Amersham Biosciences) with anti-FLAG M2 (Sigma) or anti-c-Myc 9E10 (Santa Cruz) and anti-mouse HRP conjugate (Bio-Rad).
In vitro transcription and translation in emulsions
Emulsions were prepared by stirring 50 µl of PURE system S–S with 0–0.2% BSA (New England Biolabs) and 50 pM biotinylated template DNA into 950 µl of mineral oil–surfactant mixture [mineral oil (Nacalai Tesque) containing 0.45% Span 85 (Nacalai Tesque) and 0.05% Tween 20 or Tween 80 (Sigma)] at 2300 r.p.m. for 0.5–3.0 min at 4°C. The emulsions were incubated at 37°C for 2 h for transcription and translation, then kept for more than 2 h at 4°C to let the large micelles subside. An 800-µl aliquot of the top layer was collected, mixed with 220 µl of Quenching Buffer [PBS with 0.2 µM biotin, 1% protease inhibitor cocktail (Nacalai Tesque) and 0.2% BSA], and centrifuged at 15 000 r.p.m. for 10 min at 20°C to break the emulsion. Approximately 90% of the aqueous layer from the bottom was recovered and purified by briefly mixing it with 1 ml of mineral oil, and centrifuging the mixture at 15 000 r.p.m. for 2 min at 4°C. When necessary, heat treatment for 10 min was carried out before centrifugation. From the purified aqueous layer, a 180 µl aliquot was recovered, mixed with 20 µl of sonicated salmon sperm DNA (Stratagene), and used for affinity selection.
Affinity selection
Fluorescein-immobilized beads were made by adding 1 mg of NHS-Fluorescein labeling reagent (Pierce) to 12 µl of 50% Dynabeads M-270 Amine (Dynal) dispersed in DMF (Pierce), gently mixing it for 1 h at room temperature and washing it with 200 µl of PBS twice. Blocking was done by gently mixing 100 µl of 0.03% fluorescein-immobilized beads in Block Buffer (DIG wash and block buffer set, Roche) for 1 h at room temperature. Then 100 µl of solution containing DNA-displayed Fab fragments described above was added to the beads and mixing was done gently for 1 h at 4°C for binding. The beads were washed with 100 µl of PBST twice, mixed with 100 µl of PBS, and exposed to UV radiation at >300 nm to elute the selected DNA ( 17 ). For further rounds of selection, the eluted DNA was amplified by means of KOD-plus DNA polymerase with primers PCBUniv-F and PCBT7-R, and purified with the QIAquick PCR purification kit. If necessary, the PCR products were resolved by agarose gel electrophoresis and the 2030 bp band was extracted and purified with the QIAquick gel extraction kit. Finally, the selected DNA was cloned using a TOPO XL PCR cloning kit (Invitrogen) and sequenced with an ABI 3100 genetic analyzer (Applied Biosystems).
Quantitative real-time PCR
The DNA amount of each gene after each round was quantified by real-time PCR using SYBR premix Ex Taq DNA polymerase (Takara) and Lightcycler (Roche). Primers FluoH-F and FluoH-R were used for anti-fluoFab-STA genes and primers p53H-F and p53H-R were used for anti-p53Fab-STA genes.
ELISA, heat-denaturation ELISA and competitive ELISA
Selected clones were amplified by PCR with KOD-plus DNA polymerase using primers Univ-F and T7-R, and purified with the QIAquick PCR purification kit. Fab fragments were expressed by transcribing and translating 0.5 pmol of the PCR products with the PURE system S–S for 2 h at 37°C. Meanwhile, a fluorescein-immobilized plate was prepared by adding 150 pmol of biotinylated fluorescein and 100 µl of Block Buffer to a Streptavidin C8 Transparent plate (Nunc) and shaking it for 1 h at room temperature. The plate was then washed with 200 µl of TBST (TBS with 0.1% Tween 20) 10 times and blocked with 200 µl of Block Buffer by shaking it for 1 h at room temperature. Separately, the expressed Fab fragments were diluted into 100 µl of Block Buffer containing 0–20 nM fluorescein as a competitor. If heat denaturation was necessary, this solution was then heated at one of 8 equally spaced points between 38.7 and 71.2°C for 10 min. The sample was then centrifuged at 15 000 r.p.m. for 10 min at 4°C and 90 µl of the top layer was recovered. When the competitor was added, the sample was pre-incubated at 4°C for 1 h. Then, the samples were added to the fluorescein-immobilized plate and shaken for 20 min. After a washing step, 100 µl of TBST with 0.1% anti-FLAG M2 peroxidase conjugate (Sigma) was added and shaking was continued for 1 h. The plate was washed for the last time and 100 µl of TMB (Nacalai Tesque) was added. The plate was shaken for ∼5 min and then 100 µl of 1 N H 2 SO 4 was added to stop the reaction. The absorbance at 450 nm was measured (reference wavelength: 655 nm). The Tm and Kd values of the selected clones were estimated from the sigmoid curve and the Scatchard plot, respectively.
RESULTS AND DISCUSSION
Strategy for in vitro selection of Fab fragments by DNA display
The scheme for in vitro selection of Fab fragments using DNA display is shown in Figure 1 . First we constructed a DNA encoding two ORFs, a streptavidin-fused H-chain and an L-chain (for details, see ‘Materials and Methods’ section). The streptavidin-fused H-chain, which is the larger molecule, was placed upstream to make up for the lower expression efficiency. Although Figure 1 depicts only one biotin attached to the end of the DNA, the actual construct had biotin on both ends, increasing the avidity; since streptavidin forms a tetramer, possibly as many as eight copies of Fab fragments were displayed per DNA. The DNA library is in vitro transcribed/translated in emulsions to form DNA-displayed Fab fragments. These DNA-displayed Fab fragments are selected by the target antigen and then the linker between the biotin and DNA ( 17 ) is cleaved by exposure to UV radiation at >300 nm, allowing elution of the DNA of the selected Fab fragments. The selected DNA is either amplified by PCR with biotinylated primers for further selection or sequenced to identify the selected Fab fragments.
Scheme of in vitro selection of Fab fragments using DNA display. Step 1: The template DNA has two ORFs (a streptavidin-fused H-chain gene and an L-chain gene), one T7 promoter (T7) and two ribosomal binding sites (SD). The DNA library is biotinylated through a photo-cleavable linker and compartmentalized in water-in-oil emulsions containing an in vitro transcription/translation system. Step 2: In each micelle, a streptavidin-fused H-chain and an L-chain are expressed, forming a Fab fragment and linked to the corresponding DNA via streptavidin-biotin linkage. Step 3: DNA-displayed Fab fragments are recovered from the emulsion and subjected to in vitro antigen selection. Step 4: Selected DNA-displayed Fab fragments are exposed to UV irradiation at >300 nm to cleave the DNA for elution. Step 5: Selected DNA is amplified by PCR with biotinylated primers to make templates for the next round of selection. Step 6: After a suitable number of rounds of selection, the selected DNA is cloned and sequenced to identify the selected Fab fragments.
Scheme of in vitro selection of Fab fragments using DNA display. Step 1: The template DNA has two ORFs (a streptavidin-fused H-chain gene and an L-chain gene), one T7 promoter (T7) and two ribosomal binding sites (SD). The DNA library is biotinylated through a photo-cleavable linker and compartmentalized in water-in-oil emulsions containing an in vitro transcription/translation system. Step 2: In each micelle, a streptavidin-fused H-chain and an L-chain are expressed, forming a Fab fragment and linked to the corresponding DNA via streptavidin-biotin linkage. Step 3: DNA-displayed Fab fragments are recovered from the emulsion and subjected to in vitro antigen selection. Step 4: Selected DNA-displayed Fab fragments are exposed to UV irradiation at >300 nm to cleave the DNA for elution. Step 5: Selected DNA is amplified by PCR with biotinylated primers to make templates for the next round of selection. Step 6: After a suitable number of rounds of selection, the selected DNA is cloned and sequenced to identify the selected Fab fragments.
Improvement of DNA display for Fab fragments
In this study, we used an in vitro transcription/translation system optimized for synthesis of proteins containing disulfide bonds ( 18 ). First, we confirmed the synthesis and function of streptavidin-fused model Fab fragments (anti-fluorescein and anti-p53 antibodies) by western blotting ( Figure 2 ). Bands of both streptavidin-fused H-chain (43 kDa) and L-chain (24 kDa) were detected at positions corresponding to the appropriate molecular weight in the presence of β-mercaptoethanol, while a band near 90 kDa was detected in the absence of β-mercaptoethanol, indicating that Fab fragments with disulfide bonds are properly formed. These Fab fragments also bound to their antigens and retained antigen-binding activity ( Figure 2 ). DNA–protein conjugate formation for these Fab fragments proceeded with an efficiency of over 95% (data not shown).
Confirmation of cell-free synthesis and function of streptavidin-fused Fab fragments. The template DNA for anti-fluorescein or anti-p53 Fab fragments was in vitro transcribed/translated and subjected to pull-down assay (see ‘Materials and Methods’ section) with fluorescein or p53 C-terminal peptide-immobilized beads, respectively. The input fraction before binding (I), the output fraction after binding with antigen-immobilized beads (O) and the output fraction after binding with mock beads with biotin (M) were resolved by 12.5% SDS–PAGE and detected by western blotting. Anti-myc mAb was used to detect the streptavidin-fused H-chain (upper) and anti-FLAG mAb was used to detect the L-chain (lower). Samples including β-mercaptoethanol (β-ME, +) showed higher mobility.
Confirmation of cell-free synthesis and function of streptavidin-fused Fab fragments. The template DNA for anti-fluorescein or anti-p53 Fab fragments was in vitro transcribed/translated and subjected to pull-down assay (see ‘Materials and Methods’ section) with fluorescein or p53 C-terminal peptide-immobilized beads, respectively. The input fraction before binding (I), the output fraction after binding with antigen-immobilized beads (O) and the output fraction after binding with mock beads with biotin (M) were resolved by 12.5% SDS–PAGE and detected by western blotting. Anti-myc mAb was used to detect the streptavidin-fused H-chain (upper) and anti-FLAG mAb was used to detect the L-chain (lower). Samples including β-mercaptoethanol (β-ME, +) showed higher mobility.
These model antibodies were used in a model affinity selection experiment, in which anti-fluorescein was used as a positive control and anti-p53 as a negative control. When these DNA-displayed Fab fragments were generated separately under emulsified or non-emulsified conditions, mixed together, and subjected to a single round of affinity selection with fluorescein-immobilized beads, DNA-displayed Fab fragments generated inside the emulsions showed greatly decreased DNA enrichment efficiency (∼10%) and could only be enriched a few-fold (data not shown). The emulsion preparation procedure was presumed to have impaired the in vitro transcription/translation system and/or destabilized the synthesized Fab fragments as a result of the presence of the surfactants and/or the stirring processes (the procedures used to prepare the emulsions are described in ‘Materials and Methods’ section). Therefore, we examined the conditions of the method in detail in order to obtain a practical enrichment efficiency for Fab fragment DNA.
The following three changes resulted in marked improvement of the DNA enrichment efficiency compared with the original conditions ( Figure 3 ). (i) BSA was added to the in vitro transcription/translation system and resulted in a 1.5-to-2-fold improvement; it may have acted as a ‘bulk’ protein and prevented the in vitro transcription/translation system and/or the synthesized Fab fragments from becoming trapped and denatured at the oil/water interface of the micelles, (ii) The stirring time was reduced from 3 to 0.5 min; this resulted in a 1.5-to-2-fold improvement. Reducing the stirring time may have reduced the physical strain on the in vitro transcription/translation system, (iii) The surfactant was changed from Tween 20 to Tween 80, which resulted in a 2-to-2.5-fold improvement. Since Tween 20 and Tween 80 have different effects on protein stability ( 19 ), changing the surfactant to Tween 80 may have increased the stability of the in vitro transcription/translation system and/or the synthesized Fab fragments, although the actual mechanism was not established. When all three changes were made, an improvement in DNA enrichment efficiency of approximately 10-fold was observed ( Figure 3 ).
Changes of enrichment efficiency for Fab fragment DNA under various conditions for emulsion preparation. One round of affinity selection with fluorescein-immobilized beads (see ‘Materials and Methods’ section) was carried out from a DNA mixture of 10 anti-p53 to 1 anti-fluorescein Fab fragment gene and the enrichment efficiency of anti-fluorescein DNA was compared with the original conditions (white bar: containing no BSA in the in vitro transcription/translation system, having a stirring time of 3 min to prepare the emulsion, and using Tween 20). The enrichment efficiency was calculated by dividing the relative amount of positive control DNA after selection by that before selection.
Changes of enrichment efficiency for Fab fragment DNA under various conditions for emulsion preparation. One round of affinity selection with fluorescein-immobilized beads (see ‘Materials and Methods’ section) was carried out from a DNA mixture of 10 anti-p53 to 1 anti-fluorescein Fab fragment gene and the enrichment efficiency of anti-fluorescein DNA was compared with the original conditions (white bar: containing no BSA in the in vitro transcription/translation system, having a stirring time of 3 min to prepare the emulsion, and using Tween 20). The enrichment efficiency was calculated by dividing the relative amount of positive control DNA after selection by that before selection.
Under the modified emulsion preparation conditions, micelles with a diameter range of 2–6 µm, with a sharp peak at around 4 µm, were produced. This distribution is the same as that found in our previous study on DNA-displayed peptides (library size: ∼10 9 ), and 1 ml of emulsion provides 10 9 –10 10 compartments, each of which is expected to contain a single gene on average ( 13 ). Under the improved conditions, iterative rounds of affinity selection were carried out for fluorescein-immobilized beads from a mixture of 10 5 anti-p53 to 1 anti-fluorescein Fab fragment gene. After three rounds of affinity selection, anti-fluorescein gene was antigen-specifically enriched ∼10 6 -fold (∼90-fold per round) ( Figure 4 ).
Specific enrichment of the anti-fluorescein Fab fragment gene by affinity selection. Three rounds of affinity selection with fluorescein-immobilized beads or mock beads were carried out from a DNA mixture of 10 5 anti-p53 to 1 anti-fluorescein Fab fragment gene (see ‘Materials and Methods’ section). ( A ) The DNA after each round of selection was quantified by real-time PCR and the amount of anti-fluorescein divided by that of anti-p53 was plotted. ( B ) The DNA after each round of selection was amplified by PCR with primers Univ-F and STAsd-R using KOD-plus DNA polymerase and digested with BamHI to cleave only anti-fluorescein Fab fragment genes. The products were resolved by 1.5% agarose gel electrophoresis and detected by EtBr staining.
Specific enrichment of the anti-fluorescein Fab fragment gene by affinity selection. Three rounds of affinity selection with fluorescein-immobilized beads or mock beads were carried out from a DNA mixture of 10 5 anti-p53 to 1 anti-fluorescein Fab fragment gene (see ‘Materials and Methods’ section). ( A ) The DNA after each round of selection was quantified by real-time PCR and the amount of anti-fluorescein divided by that of anti-p53 was plotted. ( B ) The DNA after each round of selection was amplified by PCR with primers Univ-F and STAsd-R using KOD-plus DNA polymerase and digested with BamHI to cleave only anti-fluorescein Fab fragment genes. The products were resolved by 1.5% agarose gel electrophoresis and detected by EtBr staining.
Affinity selection of randomized Fab fragments
Finally, we applied the improved DNA display procedure for selection from a randomized Fab fragment library. Considering the uniqueness of Fab fragments, we altered seven amino-acid residues from the hydrophobic interface of the C H1 domain and the C L domain ( Figure 5 ) to random hydrophobic amino acids encoded by the NTK codon (Phe, Leu, Ile, Met or Val). Previous reports have indicated that alteration of the hydrophobic core results in a change of stability and activity of various proteins ( 20–23 ). The DNA library was constructed on the base of anti-fluorescein and was in vitro transcribed/translated, and then the antigen-binding activity and heat stability were compared with those of the wild-type anti-fluorescein. There was a change in heat stability, and randomization decreased antigen-binding activity above 58°C ( Figure 6 B), though there was no significant change at room temperature ( Figure 6 A). This is possibly because the structure of the hydrophobic core could be maintained by various hydrophobic amino acids at room temperature, but more stringent combinations of hydrophobic amino acids were needed to maintain the structure at higher temperatures. Thus, we applied heat treatment as a selection pressure for in vitro selection of the randomized library of the constant region. There have been other reports where heat treatment has been applied as a selection pressure, although in those cases, mutations were introduced in variable regions ( 24 , 25 ).
Randomized residues of the hydrophobic core of the constant region. Seven residues from the hydrophobic interface of the C H1 domain and the C L domain was picked up by referring to the 3-D structure of an anti-thyroid peroxidase Fab fragment (PDB ID: 1VGE), which has the same constant region as the one used in this study. The residues are heavy chain Leu124, Leu141, Ser179, Val181 and light chain Phe118, Val133, Leu135 [numbering according to Kabat et al. ( 30 )]. The left picture shows the whole constant region and the right picture is a close-up of the area inside the dotted lines. The blue ribbon shows the heavy chain and the green ribbon shows the light chain.
Randomized residues of the hydrophobic core of the constant region. Seven residues from the hydrophobic interface of the C H1 domain and the C L domain was picked up by referring to the 3-D structure of an anti-thyroid peroxidase Fab fragment (PDB ID: 1VGE), which has the same constant region as the one used in this study. The residues are heavy chain Leu124, Leu141, Ser179, Val181 and light chain Phe118, Val133, Leu135 [numbering according to Kabat et al. ( 30 )]. The left picture shows the whole constant region and the right picture is a close-up of the area inside the dotted lines. The blue ribbon shows the heavy chain and the green ribbon shows the light chain.
Binding activity and heat stability for the anti-fluorescein Fab fragment (wild type) and a mixture of the variants with randomized constant region (library). ( A ) Antigen binding activity at room temperature was measured by ELISA (see ‘Materials and Methods’ section). The absorbance at 450 nm (reference at 655 nm) of the wild type was used for normalization. ( B ) Heat denaturation curves of the wild type (solid line) and the library (dotted line) were measured by heat-denaturation ELISA (see ‘Materials and Methods’ section). The absorbance at 450 nm (reference at 655 nm) of each sample heated at 38.7°C was used for normalization.
Binding activity and heat stability for the anti-fluorescein Fab fragment (wild type) and a mixture of the variants with randomized constant region (library). ( A ) Antigen binding activity at room temperature was measured by ELISA (see ‘Materials and Methods’ section). The absorbance at 450 nm (reference at 655 nm) of the wild type was used for normalization. ( B ) Heat denaturation curves of the wild type (solid line) and the library (dotted line) were measured by heat-denaturation ELISA (see ‘Materials and Methods’ section). The absorbance at 450 nm (reference at 655 nm) of each sample heated at 38.7°C was used for normalization.
After three rounds of affinity selection for fluorescein-immobilized beads with and without heat treatment (10 min at 63°C), 18 variants from each situation were sequenced ( Table 2 ). Three rounds were suggested to be sufficient, because the library consists of 8 × 10 5 (=5 7 ) mutants and the wild type, whose antigen-binding activity is unchanged ( Figure 6 A), showed ∼10 6 -fold enrichment per three rounds ( Figure 4 ). The heat-denaturation curves for arbitrarily chosen variants selected without heat treatment ( Figure 7 A) had a broad distribution around the denaturation curve of the randomized library ( Figure 6 B). By introducing heat treatment as a selection pressure, we expected that unstable variants would be eliminated and stable variants selected. Consequently, arbitrarily chosen variants selected with heat treatment had improved heat stability compared to the initial randomized library, though the stability did not greatly exceed that of wild-type anti-fluorescein ( Figure 7 B). The altered residues had nothing particular in common, suggesting that a range of sequences is acceptable to maintain the structure of the hydrophobic core, in agreement with previous reports ( 20–22 ).
Amino acid sequences of the selected Fab fragment variants
| ID | Altered amino-acid residues | Characteristics | |||||||
|---|---|---|---|---|---|---|---|---|---|
| C H1 | C L | ||||||||
| 124 | 141 | 179 | 181 | 118 | 133 | 135 | Tm (°C) | Kd (nM) | |
| WT | L | L | S | V | F | V | L | 63.6 | 1.8 |
| N-1 | V | I | V | V | F | V | L | 63.5 | 2.8 |
| N-2 | V | V | I | I | L | V | L | ||
| N-3 | F | V | V | V | M | M | V | 61.2 | |
| N-4 | L | M | V | L | L | V | L | ||
| N-5 | I | V | L | V | M | F | F | 60.7 | 3.4 |
| N-6 | L | M | L | V | L | F | F | 60.4 | |
| N-7 | L | V | V | M | V | L | F | ||
| N-8 | M | V | L | L | F | L | V | ||
| N-9 | L | I | L | M | M | L | L | ||
| N-10 | L | L | M | V | I | F | V | ||
| N-11 | I | V | V | V | L | L | V | ||
| N-12 | F | L | L | L | F | I | L | ||
| N-13 | V | L | F | L | F | V | L | 56.2 | 1.4 |
| N-14 | I | M | V | M | I | V | L | ||
| N-15 | I | L | L | F | M | V | L | ||
| N-16 | M | F | L | I | I | V | I | ||
| N-17 | L | M | F | V | L | M | V | ||
| N-18 | V | L | M | M | L | L | L | ||
| H-1 | M | L | S | V | L | L | L | 63.3 | 1.6 |
| H-2 | L | L | S | V | M | L | F | ||
| H-3 | V | L | V | M | F | L | L | 63.4 | 2.6 |
| H-4 | L | L | M | M | L | L | V | ||
| H-5 | F | V | L | V | L | V | L | ||
| H-6 | L | L | L | V | V | V | V | 63.3 | |
| H-7 | L | L | I | V | V | V | F | ||
| H-8 | M | I | V | V | M | M | I | ||
| H-9 | L | V | V | V | M | V | I | ||
| H-10 | V | F | L | I | V | F | V | ||
| H-11 | V | V | I | I | F | V | L | ||
| H-12 | L | L | L | V | M | V | F | 63.5 | 3.2 |
| H-13 | L | L | I | M | L | V | L | ||
| H-14 | I | F | F | V | F | I | V | ||
| H-15 | V | L | V | L | F | L | L | 63.2 | |
| H-16 | V | L | L | L | L | V | V | ||
| H-17 | V | L | V | F | F | L | V | 63.5 | |
| H-18 | L | L | L | L | L | L | V | ||
| ID | Altered amino-acid residues | Characteristics | |||||||
|---|---|---|---|---|---|---|---|---|---|
| C H1 | C L | ||||||||
| 124 | 141 | 179 | 181 | 118 | 133 | 135 | Tm (°C) | Kd (nM) | |
| WT | L | L | S | V | F | V | L | 63.6 | 1.8 |
| N-1 | V | I | V | V | F | V | L | 63.5 | 2.8 |
| N-2 | V | V | I | I | L | V | L | ||
| N-3 | F | V | V | V | M | M | V | 61.2 | |
| N-4 | L | M | V | L | L | V | L | ||
| N-5 | I | V | L | V | M | F | F | 60.7 | 3.4 |
| N-6 | L | M | L | V | L | F | F | 60.4 | |
| N-7 | L | V | V | M | V | L | F | ||
| N-8 | M | V | L | L | F | L | V | ||
| N-9 | L | I | L | M | M | L | L | ||
| N-10 | L | L | M | V | I | F | V | ||
| N-11 | I | V | V | V | L | L | V | ||
| N-12 | F | L | L | L | F | I | L | ||
| N-13 | V | L | F | L | F | V | L | 56.2 | 1.4 |
| N-14 | I | M | V | M | I | V | L | ||
| N-15 | I | L | L | F | M | V | L | ||
| N-16 | M | F | L | I | I | V | I | ||
| N-17 | L | M | F | V | L | M | V | ||
| N-18 | V | L | M | M | L | L | L | ||
| H-1 | M | L | S | V | L | L | L | 63.3 | 1.6 |
| H-2 | L | L | S | V | M | L | F | ||
| H-3 | V | L | V | M | F | L | L | 63.4 | 2.6 |
| H-4 | L | L | M | M | L | L | V | ||
| H-5 | F | V | L | V | L | V | L | ||
| H-6 | L | L | L | V | V | V | V | 63.3 | |
| H-7 | L | L | I | V | V | V | F | ||
| H-8 | M | I | V | V | M | M | I | ||
| H-9 | L | V | V | V | M | V | I | ||
| H-10 | V | F | L | I | V | F | V | ||
| H-11 | V | V | I | I | F | V | L | ||
| H-12 | L | L | L | V | M | V | F | 63.5 | 3.2 |
| H-13 | L | L | I | M | L | V | L | ||
| H-14 | I | F | F | V | F | I | V | ||
| H-15 | V | L | V | L | F | L | L | 63.2 | |
| H-16 | V | L | L | L | L | V | V | ||
| H-17 | V | L | V | F | F | L | V | 63.5 | |
| H-18 | L | L | L | L | L | L | V | ||
WT, wild type; N-X, selected variants without heat treatment; H-X, selected variants with heat treatment.
Amino acid sequences of the selected Fab fragment variants
| ID | Altered amino-acid residues | Characteristics | |||||||
|---|---|---|---|---|---|---|---|---|---|
| C H1 | C L | ||||||||
| 124 | 141 | 179 | 181 | 118 | 133 | 135 | Tm (°C) | Kd (nM) | |
| WT | L | L | S | V | F | V | L | 63.6 | 1.8 |
| N-1 | V | I | V | V | F | V | L | 63.5 | 2.8 |
| N-2 | V | V | I | I | L | V | L | ||
| N-3 | F | V | V | V | M | M | V | 61.2 | |
| N-4 | L | M | V | L | L | V | L | ||
| N-5 | I | V | L | V | M | F | F | 60.7 | 3.4 |
| N-6 | L | M | L | V | L | F | F | 60.4 | |
| N-7 | L | V | V | M | V | L | F | ||
| N-8 | M | V | L | L | F | L | V | ||
| N-9 | L | I | L | M | M | L | L | ||
| N-10 | L | L | M | V | I | F | V | ||
| N-11 | I | V | V | V | L | L | V | ||
| N-12 | F | L | L | L | F | I | L | ||
| N-13 | V | L | F | L | F | V | L | 56.2 | 1.4 |
| N-14 | I | M | V | M | I | V | L | ||
| N-15 | I | L | L | F | M | V | L | ||
| N-16 | M | F | L | I | I | V | I | ||
| N-17 | L | M | F | V | L | M | V | ||
| N-18 | V | L | M | M | L | L | L | ||
| H-1 | M | L | S | V | L | L | L | 63.3 | 1.6 |
| H-2 | L | L | S | V | M | L | F | ||
| H-3 | V | L | V | M | F | L | L | 63.4 | 2.6 |
| H-4 | L | L | M | M | L | L | V | ||
| H-5 | F | V | L | V | L | V | L | ||
| H-6 | L | L | L | V | V | V | V | 63.3 | |
| H-7 | L | L | I | V | V | V | F | ||
| H-8 | M | I | V | V | M | M | I | ||
| H-9 | L | V | V | V | M | V | I | ||
| H-10 | V | F | L | I | V | F | V | ||
| H-11 | V | V | I | I | F | V | L | ||
| H-12 | L | L | L | V | M | V | F | 63.5 | 3.2 |
| H-13 | L | L | I | M | L | V | L | ||
| H-14 | I | F | F | V | F | I | V | ||
| H-15 | V | L | V | L | F | L | L | 63.2 | |
| H-16 | V | L | L | L | L | V | V | ||
| H-17 | V | L | V | F | F | L | V | 63.5 | |
| H-18 | L | L | L | L | L | L | V | ||
| ID | Altered amino-acid residues | Characteristics | |||||||
|---|---|---|---|---|---|---|---|---|---|
| C H1 | C L | ||||||||
| 124 | 141 | 179 | 181 | 118 | 133 | 135 | Tm (°C) | Kd (nM) | |
| WT | L | L | S | V | F | V | L | 63.6 | 1.8 |
| N-1 | V | I | V | V | F | V | L | 63.5 | 2.8 |
| N-2 | V | V | I | I | L | V | L | ||
| N-3 | F | V | V | V | M | M | V | 61.2 | |
| N-4 | L | M | V | L | L | V | L | ||
| N-5 | I | V | L | V | M | F | F | 60.7 | 3.4 |
| N-6 | L | M | L | V | L | F | F | 60.4 | |
| N-7 | L | V | V | M | V | L | F | ||
| N-8 | M | V | L | L | F | L | V | ||
| N-9 | L | I | L | M | M | L | L | ||
| N-10 | L | L | M | V | I | F | V | ||
| N-11 | I | V | V | V | L | L | V | ||
| N-12 | F | L | L | L | F | I | L | ||
| N-13 | V | L | F | L | F | V | L | 56.2 | 1.4 |
| N-14 | I | M | V | M | I | V | L | ||
| N-15 | I | L | L | F | M | V | L | ||
| N-16 | M | F | L | I | I | V | I | ||
| N-17 | L | M | F | V | L | M | V | ||
| N-18 | V | L | M | M | L | L | L | ||
| H-1 | M | L | S | V | L | L | L | 63.3 | 1.6 |
| H-2 | L | L | S | V | M | L | F | ||
| H-3 | V | L | V | M | F | L | L | 63.4 | 2.6 |
| H-4 | L | L | M | M | L | L | V | ||
| H-5 | F | V | L | V | L | V | L | ||
| H-6 | L | L | L | V | V | V | V | 63.3 | |
| H-7 | L | L | I | V | V | V | F | ||
| H-8 | M | I | V | V | M | M | I | ||
| H-9 | L | V | V | V | M | V | I | ||
| H-10 | V | F | L | I | V | F | V | ||
| H-11 | V | V | I | I | F | V | L | ||
| H-12 | L | L | L | V | M | V | F | 63.5 | 3.2 |
| H-13 | L | L | I | M | L | V | L | ||
| H-14 | I | F | F | V | F | I | V | ||
| H-15 | V | L | V | L | F | L | L | 63.2 | |
| H-16 | V | L | L | L | L | V | V | ||
| H-17 | V | L | V | F | F | L | V | 63.5 | |
| H-18 | L | L | L | L | L | L | V | ||
WT, wild type; N-X, selected variants without heat treatment; H-X, selected variants with heat treatment.
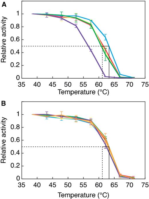
Heat-denaturation curves of the variants selected from the randomized Fab fragment library without ( A ) and with ( B ) heat treatment as the selection pressure. Heat-denaturation ELISA was performed as described in ‘Materials and Methods’ section . The absorbance at 450 nm (reference at 655 nm) of each sample heated at 38.7°C was used for normalization. (A) The curves of N-1, N-3, N-5, N-6 and N-13 ( Table 2 ) are plotted in blue, red, yellow, green and purple, respectively. (B) The curves of H-1, H-3, H-6, H-12, H-15 and H-17 ( Table 2 ) are plotted in blue, red, yellow, green, purple and orange, respectively. The dotted line and solid line in each panel represent the Tm of the initial randomized library and the wild-type anti-fluorescein Fab fragment, respectively.
Heat-denaturation curves of the variants selected from the randomized Fab fragment library without ( A ) and with ( B ) heat treatment as the selection pressure. Heat-denaturation ELISA was performed as described in ‘Materials and Methods’ section . The absorbance at 450 nm (reference at 655 nm) of each sample heated at 38.7°C was used for normalization. (A) The curves of N-1, N-3, N-5, N-6 and N-13 ( Table 2 ) are plotted in blue, red, yellow, green and purple, respectively. (B) The curves of H-1, H-3, H-6, H-12, H-15 and H-17 ( Table 2 ) are plotted in blue, red, yellow, green, purple and orange, respectively. The dotted line and solid line in each panel represent the Tm of the initial randomized library and the wild-type anti-fluorescein Fab fragment, respectively.
The Kd values of some of the chosen variants, including the wild type, were determined and they all had a similar value of ∼2 nM ( Table 2 ). This finding that alteration of the hydrophobic core in the constant region did not greatly affect the affinity is reasonable, because (i) there was no particular selection pressure on dissociation in this study, e.g., the presence of competitor ( 5 ) or lowered concentration of antigen ( 8 ) during selection, (ii) the altered constant region is apart from the antigen-binding variable region ( 10 ), and (iii) mutations associated with affinity maturation are most likely to be found in the CDRs of the variable region ( 5 , 8 , 25 ).
In conclusion, it was confirmed that DNA display was able to select Fab fragment candidates according to the designed procedure. We also found that the hydrophobic core in the constant region shows tolerance to mutations. Possibly a different strategy is needed in order to obtain a more stable Fab fragment. Previous studies in which hydrophobic cores were altered also did not obtain enhanced variants ( 20–22 ), and introducing mutations at locations other than hydrophobic cores may be more effective. For example, there has been one report in which mouse IgG1 Fab fragments with increased stability were obtained when a hydrophilic residue in the cavity of the constant region was replaced with a hydrophobic residue ( 9 ). A random mutagenesis strategy throughout the whole constant region would be compatible with in vitro selection of stable variants.
Comparison of DNA display with other antibody-display methods
Various display methods have been used to select recombinant antibody genes ( Table 3 ), but most of them have been designed to select scFvs ( 2 , 5 , 6 , 26–28 ). Display methods selecting recombinant antibodies other than scFvs are phage display and yeast-surface display, in which Fab fragments are selected ( 7 , 8 ). However, due to the use of living organisms, these methods suffer limitations related to transfection efficiency and culture time. Totally in vitro display methods can overcome these limitations. The DNA display method described here is the first totally in vitro method to be applicable to oligomeric Fab fragments.
Comparison of DNA display with other antibody-display methods
| Display type | Phage display | Yeast display | Ribosome display | mRNA display | CAD | DNA display |
|---|---|---|---|---|---|---|
| Genotype | Phagemid | Plasmid | mRNA | mRNA | DNA | DNA |
| Phenotype | scFv/Fab | scFv/Fab | scFv | scFv | scFv | Fab |
| Refs. | ( 7 , 26 ) | ( 8 , 27 ) | ( 2 ) | ( 5 , 6 ) | ( 28 ) | This study |
| Use of organisms | Yes | Yes | No | No | No | No |
| Library size | 10 7 –10 9 | 10 6 –10 7 | 10 11 –10 12 | 10 11 –10 12 | 10 11 –10 12 | 10 9 –10 10 |
| Selection speed (per round) | 3 days | 3–4 days | 0.5 day | 0.5–1 day | 0.5 day | 0.5 day |
| Display type | Phage display | Yeast display | Ribosome display | mRNA display | CAD | DNA display |
|---|---|---|---|---|---|---|
| Genotype | Phagemid | Plasmid | mRNA | mRNA | DNA | DNA |
| Phenotype | scFv/Fab | scFv/Fab | scFv | scFv | scFv | Fab |
| Refs. | ( 7 , 26 ) | ( 8 , 27 ) | ( 2 ) | ( 5 , 6 ) | ( 28 ) | This study |
| Use of organisms | Yes | Yes | No | No | No | No |
| Library size | 10 7 –10 9 | 10 6 –10 7 | 10 11 –10 12 | 10 11 –10 12 | 10 11 –10 12 | 10 9 –10 10 |
| Selection speed (per round) | 3 days | 3–4 days | 0.5 day | 0.5–1 day | 0.5 day | 0.5 day |
CAD, covalent antibody display.
Comparison of DNA display with other antibody-display methods
| Display type | Phage display | Yeast display | Ribosome display | mRNA display | CAD | DNA display |
|---|---|---|---|---|---|---|
| Genotype | Phagemid | Plasmid | mRNA | mRNA | DNA | DNA |
| Phenotype | scFv/Fab | scFv/Fab | scFv | scFv | scFv | Fab |
| Refs. | ( 7 , 26 ) | ( 8 , 27 ) | ( 2 ) | ( 5 , 6 ) | ( 28 ) | This study |
| Use of organisms | Yes | Yes | No | No | No | No |
| Library size | 10 7 –10 9 | 10 6 –10 7 | 10 11 –10 12 | 10 11 –10 12 | 10 11 –10 12 | 10 9 –10 10 |
| Selection speed (per round) | 3 days | 3–4 days | 0.5 day | 0.5–1 day | 0.5 day | 0.5 day |
| Display type | Phage display | Yeast display | Ribosome display | mRNA display | CAD | DNA display |
|---|---|---|---|---|---|---|
| Genotype | Phagemid | Plasmid | mRNA | mRNA | DNA | DNA |
| Phenotype | scFv/Fab | scFv/Fab | scFv | scFv | scFv | Fab |
| Refs. | ( 7 , 26 ) | ( 8 , 27 ) | ( 2 ) | ( 5 , 6 ) | ( 28 ) | This study |
| Use of organisms | Yes | Yes | No | No | No | No |
| Library size | 10 7 –10 9 | 10 6 –10 7 | 10 11 –10 12 | 10 11 –10 12 | 10 11 –10 12 | 10 9 –10 10 |
| Selection speed (per round) | 3 days | 3–4 days | 0.5 day | 0.5–1 day | 0.5 day | 0.5 day |
CAD, covalent antibody display.
A disadvantage of DNA display based on in vitro compartmentalization ( 15 ) may be the relatively low concentration of DNA in a micelle. Since the average diameter of a micelle is 4 µm, the average volume would be 0.03 pl, in which the DNA would be present at 50 pM concentration. However, even if only a single copy of Fab fragment was formed in a micelle, the subnanomolar concentration of DNA and protein is still high enough to allow efficient formation of DNA–protein conjugates due to the subpicomolar affinity of streptavidin and biotinylated DNA. Also, since there are abundant antigen molecules immobilized on beads for in vitro selection, the recovery efficiency is not greatly influenced by the low concentration of DNA-displayed Fab fragments. In this study, the recovery efficiency of DNA-displayed Fab fragment, calculated from the input amount and recovered amount of positive DNA in the model experiment ( Figure 3 ), turned out to be ∼1%. The low concentration of DNA-displayed Fab fragments would influence the effective library size. To allow DNA display to handle even larger library sizes, we are currently working on increasing the concentration of DNA in a micelle by combining emulsion PCR ( 29 ) with DNA display.
FUNDING
Industrial Technology Research Grant Program (03A01007a) from the NEDO (New Energy and Industrial Technology Development Organization) of Japan; Grant-in-Aid for Scientific Research (19360377) from the JSPS (Japan Society for the Promotion of Science). Funding for open access charge: Keio University.
Conflict of interest statement . None declared.
ACKNOWLEDGEMENTS
The authors thank Yuko Oishi for an initial contribution to this project, and Yuko Kawahashi for providing anti-p53 scFv gene and biotinylated p53 C-terminal peptide.





![Randomized residues of the hydrophobic core of the constant region. Seven residues from the hydrophobic interface of the C H1 domain and the C L domain was picked up by referring to the 3-D structure of an anti-thyroid peroxidase Fab fragment (PDB ID: 1VGE), which has the same constant region as the one used in this study. The residues are heavy chain Leu124, Leu141, Ser179, Val181 and light chain Phe118, Val133, Leu135 [numbering according to Kabat et al. ( 30 )]. The left picture shows the whole constant region and the right picture is a close-up of the area inside the dotted lines. The blue ribbon shows the heavy chain and the green ribbon shows the light chain.](https://oup.silverchair-cdn.com/oup/backfile/Content_public/Journal/nar/37/22/10.1093_nar_gkp776/2/m_gkp776f5.jpeg?Expires=2147483647&Signature=hJVpLEWZnouqJSzVhO4DbL5J~vrRVf0Af0HMz2dyHlk6EzgSEcl5Z~bC5t1C-HLuAoP1rxLUTfqdZllnTu3hLst-S-ZvAiyrSiC2EOx2YMxY8KjFauZJiZdqlsX2WtGs2ZKCGpDk-ZdLqat2iZRZjCZgo0XDjNeu6uiuseRx1O62G-lP8WXjvv2rtuHfprTHBzHDcBySCPl2DjZkZLYFxJhcXPRgbJAWDAi6sAkG0z3n6Z96Y7sbOuzZsVof1dD9M9PhrPl9aFysTiFN70zH3R-TaCq4pQOYuqbHWIiQPoqbXVcjl-B2LcQboJwby1AvNRK4q~AIYzsmetDiTUip-w__&Key-Pair-Id=APKAIE5G5CRDK6RD3PGA)


Comments