- Split View
-
Views
-
CiteCitation
Helena Persson, Henrik Wallmark, Anne Ljungars, Johan Hallborn, Mats Ohlin; In vitro evolution of an antibody fragment population to find high-affinity hapten binders, Protein Engineering, Design and Selection, Volume 21, Issue 8, 1 August 2008, Pages 485–493, https://doi.org/10.1093/protein/gzn024
Download citation file:
© 2018 Oxford University Press
Close -
Share
Abstract
Recently, we constructed a focused antibody library tailored to interact with haptens. High functionality of this library was demonstrated, as specific binders could be retrieved to a range of different haptens. In the current study we have developed a mutagenesis and selection strategy in order to further fine-tune the hapten binding properties of these antibody fragments. Testosterone was chosen as model antigen for the investigation. A population, rather than a single clone, originating from this focused library and enriched for testosterone binders, was subjected to random mutagenesis and different phage display selection strategies of various stringencies. These included consecutively lowering the antigen concentration and having, or not having, soluble hapten present during the phage capture and elution steps. The different selection procedures resulted in a considerable increase in apparent affinities for several of the selected populations, from which the highest affinity antibody isolated had a KD of 2 nM, corresponding to an ∼200-fold affinity improvement compared with the best clone of the starting population. Importantly, the polyclonal nature of the starting material allowed for the identification of novel unrelated variants that differed in fine-specificity, demonstrating that this approach is valuable for exploring different parts of structure space.
Introduction
Besides their importance in the adaptive immune response, antibodies have emerged as an invaluable tool in applications ranging from basic research to disease diagnostics and therapy. The hybridoma technology (Köhler and Milstein, 1975), which relies on animal immunizations, is still the most common way of obtaining antibodies, in particular for diagnostic applications. However, within the past two decades, since the cloning of the first antibody repertoires (Huse et al., 1989; Ward et al., 1989) and with the successful production of antibody fragments in bacteria (Skerra and Plückthun, 1988) combined with the functionally display of these on phage (McCafferty et al., 1990; Kang et al., 1991), antibody library technology has gradually become the method of choice for the development of specific binders.
Over the years numerous antibody libraries have been reported (Söderlind et al., 2001; Hoogenboom, 2002). Various strategies, using natural as well as synthetic diversity, have been utilized, often with the goal to create very large libraries with diversity high enough to provide binding specificity against any antigen. Although in many cases successful, it has, despite the size of these so called universal or single-pot libraries, been difficult to isolate high-affinity antibodies to some particularly troublesome antigens. In specific applications, libraries tailored to interact with a certain antigen or group of antigens, so called focused libraries, have therefore been proposed as an attractive alternative (Collis et al., 2003; Almagro, 2004; Almagro et al., 2006; Kehoe et al., 2006; Sidhu and Fellouse, 2006). Recently, we successfully constructed such a focused library with features biased to recognize haptens (Persson et al., 2006).
The main principle behind the design of the focused hapten library was based on the fact that the topography of the binding site correlates with the size of its antigen (Webster et al., 1994; MacCallum et al., 1996). As small-molecule antigens almost exclusively interact with cavity-shaped paratopes, a hapten-specific antibody, displaying a pronounced binding pocket, was used as structural backbone for library construction. By keeping framework and canonical structure determining residues constant, we reasoned that a large portion of the library would maintain the cavity topography as seen in the wild-type clone. Using site-directed mutagenesis, diversity was mainly restricted to positions and residue types that are commonly involved in hapten contacts (MacCallum et al., 1996; Almagro, 2004), resulting in variation of mainly centrally located cavity-lining residues. To possibly allow for the formation of cavities of variable depth (Collis et al., 2003), some variation in loop length was also introduced. Despite the relatively small size of this so-called cavity library (5 × 107), we were able to identify highly specific antibodies to a range of different haptens. Importantly, we could show that the cavity library was a superior source of hapten-binders compared with a considerably larger general-purpose repertoire (Persson et al., 2006).
In order to be generally applicable, a library has to be able to provide binders of high specificity as well as of high affinity. However, as no particular efforts were made to select for binding strength in the initial study (Persson et al., 2006), the affinity of the obtained hapten-binders were relatively modest (KD = 10−6–10−7 M). Therefore, in the present investigation we set out to further explore the evolution potential of the cavity library to deliver hapten-binding antibodies with affinities required for practical applications.
Methods
Construction of libraries
The starting material for library construction was based on a sub-population of the previously described cavity library (Persson et al., 2006). This library had been selected twice on testosterone-biotin(testosterone3-(5-(6-(5-(biotin)pentanamido)hexanamido)pentylcarbamoyl) propanoate) coupled to avidin-coated magnetic beads (Persson et al., 2006). Plasmid DNA was isolated from this population, from here on designated CT (C for cavity library and T for testosterone), and submitted to one or two rounds of random mutagenesis by error-prone PCR using an excess of guanine and/or thymine (Fig. 1). In the first round, the reaction mix (100 µl) contained 10 mM Tris–HCl (pH 8.3), 50 mM KCl, 9 mM MgCl2, 0.75 mM MnCl2, 0.001% gelatin (w/v), 0.75 mM dNTP and an additional 3.2 mM dGTP or dTTP, 5 U AmpliTaq DNA polymerase (Applied Biosystems, Foster City, CA, USA), 0.4 µM each of the vector-specific primers GGCCGATTCATTAATGCAGC and GCCTTTAGCGTCAGACTGTAG and as template 10 ng of the purified vector was used. The DNA was amplified for 26 cycles (94°C 1 min, 56°C 1 min, 72°C 2 min). The two different PCR products, resulting from either an excess in dGTP (denoted CTep1) or dTTP, were pooled and used as a template in the second PCR. The same conditions as for the first round were used, however, only an excess of dGTP was used this time, creating the library CTep2. The mutated gene fragments CTep1 and CTep2 were gel purified and digested with SfiI and NotI (New England Biolabs, Beverly, MA, USA) followed by ligation into the corresponding sites of a modified version of the pFab5c.His phagemid (Engberg et al., 1995), shortened to encode only the final C-terminal domain of protein III. The libraries were subsequently transformed into electrocompetent Top10F’ Escherichia coli (Invitrogen, Carlsbad, CA, USA) and random clones sequenced from both libraries. Mutational rates were determined by calculating the percentage of mutated residues at the nucleotide or amino acid level, excluding those positions that were targeted for diversification in the cavity library [38H, 40H, 55H, 57H, 59H, 66H, 107H-109H, 113H, 40L, 105-117L; the subscript relates to its position in the heavy (H) or light chain (L)] (Persson et al., 2006). Throughout this study, residue numbering follows the IMGT nomenclature (Lefranc et al., 2003), inserting gaps at the top of the loops. The three loops of the heavy and light chain are denoted complementarity determining region (CDR) H1-3 and CDRL1-3, respectively.
A flowchart outlining the experimental steps of the study. The starting material of the affinity maturation process (library CT) was a phage-selected sub-population of the previously described cavity library (Persson et al., 2006). Library CT, which was highly enriched for testosterone binders, was submitted to one or two rounds of random mutagenesis by error-prone PCR, resulting in the two libraries CTep1 and CTep2. Different phage display selection strategies were subsequently used on these libraries to find antibody fragments of increased affinity (for further details on selection parameters see Table I). After a first round of selection, in which the three starting libraries (CT, CTep1 and CTep2) had been handled separately, the libraries were pooled and used for a second round of selection. By varying the conditions during the phage capture step, two populations (C2L and C2H) were obtained. These were treated separately in the third selection round, giving in total 8 different selection strategies. These were named with three letters; A, C and E, coding for Antigen concentration, Capture condition and Elution method, respectively, and furthermore indexed with H (high) or L (low) to denote selection pressure for each variable. All 16 populations depicted were analyzed by competitive phage ELISA and individual scFv obtained from the 10 populations of selection rounds two and three were also assayed in soluble format (for further details see Table II).
A flowchart outlining the experimental steps of the study. The starting material of the affinity maturation process (library CT) was a phage-selected sub-population of the previously described cavity library (Persson et al., 2006). Library CT, which was highly enriched for testosterone binders, was submitted to one or two rounds of random mutagenesis by error-prone PCR, resulting in the two libraries CTep1 and CTep2. Different phage display selection strategies were subsequently used on these libraries to find antibody fragments of increased affinity (for further details on selection parameters see Table I). After a first round of selection, in which the three starting libraries (CT, CTep1 and CTep2) had been handled separately, the libraries were pooled and used for a second round of selection. By varying the conditions during the phage capture step, two populations (C2L and C2H) were obtained. These were treated separately in the third selection round, giving in total 8 different selection strategies. These were named with three letters; A, C and E, coding for Antigen concentration, Capture condition and Elution method, respectively, and furthermore indexed with H (high) or L (low) to denote selection pressure for each variable. All 16 populations depicted were analyzed by competitive phage ELISA and individual scFv obtained from the 10 populations of selection rounds two and three were also assayed in soluble format (for further details see Table II).
Phage selections
Phage stocks of the two libraries and CT were prepared by VCSM13 helper phage infection (Stratagene, La Jolla, CA, USA) as described (Cicortas Gunnarsson et al., 2004). An overview of the selection procedure is illustrated in Fig. 1 and Table I. Briefly, three selection rounds were performed, using gradually lower concentration of testosterone-biotin (Sigma-Aldrich Inc., St Louis, MO, USA) (Fig. 2). Also between the rounds, the coating of the paramagnetic beads was alternated between streptavidin (Dynal A/S, Oslo, Norway) and avidin (Spherotech Inc., Libertyville, IL, USA) to reduce the risk of obtaining carrier-specific binders. In the first round, the three different libraries (CT, CTep1 and CTep2) were handled separately. The libraries were pre-incubated with testosterone-biotin diluted in selection buffer [0.2% gelatin, 0.05% (v/v) Tween 20 in phosphate-buffer saline (PBS)] for 2 h on rotation at room temperature. Magnetic beads, washed twice in selection buffer, were added and the mixture was allowed to incubate for another 30 min. After five washes in selection buffer, followed by two washes in PBS, binding phages were eluted by the addition of trypsin (Invitrogen, Pasley, UK), which cleaves at a site located between the displayed single chain antibody fragment (scFv) and protein III. The cleavage reaction was subsequently inhibited by the addition of aprotinin (Invitrogen). Eluted phages were propagated and titers determined as previously described (Cicortas Gunnarsson et al., 2004). Equal amounts of phages from the three selections were pooled and used for the second round of selection, which was carried out essentially as described for the first round but with the following changes; the amount of panning antigen was decreased (from 5 × 10−8 to 1 × 10−8 M) and the phage capture step was varied, by excluding or including soluble testosterone (10−6 M, Sigma-Aldrich) as competitor at the time of addition of the magnetic beads. The two resulting populations (C2L and C2H) were treated separately in the third selection round. In addition to varying the antigen concentrations and conditions during the capturing step, the elution method was also altered, yielding in total eight different selection strategies (Table I). The strategies were named with three letters; A, C and E, coding for antigen concentration, capture condition and elution method, respectively. The letters were indexed with high (H) or low (L) to denote the selection pressure for each variable. AH for the lower antigen concentration (2 × 10−9M), AL for the higher (10−8M), CH if soluble testosterone (10−6M) was present during the capturing step and CL if it was not, EL if the phages were eluted with trypsin or EH if eluted with soluble testosterone (10−5 M, 2 h). In all three selection rounds an excess of magnetic beads were used to allow all antigen-bound phages to be captured and to minimize the risk of selecting multivalently displaying phages that otherwise, due to avidity effects, most likely would have a selection advantage.
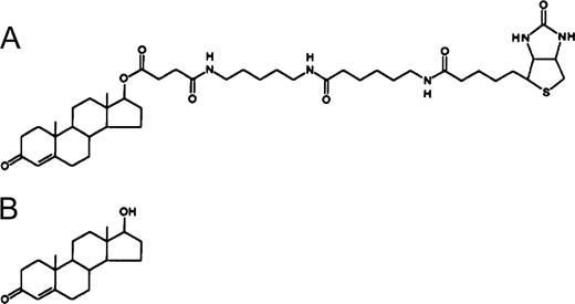
Molecular structures of testosterone-biotin (A), the derivative used for the phage display selections and the subsequent ELISA and BIAcore assays, and testosterone (B).
Molecular structures of testosterone-biotin (A), the derivative used for the phage display selections and the subsequent ELISA and BIAcore assays, and testosterone (B).
Overview of the selection strategies
| Selection 1 | Selection 2 | Selection 3 | ||||||||||||
|---|---|---|---|---|---|---|---|---|---|---|---|---|---|---|
| Input | Antigen | Catching | Elution | Output | Input | Antigen | Catching | Elution | Output | Input | Antigen | Catching | Elution | Output |
| CT | 5*10−8M TB | SA | Trypsin | CT* | CT* CTep1* CTep2* pooled together | 10−8M TB | Avidin | Trypsin | C2L | C2L | 2*10−9M TB | SA | Trypsin | AHCLEL |
| C2L | 2*10−9M TB | SA | 10−5M T | AHCLEH | ||||||||||
| CTep1 | 5*10−8M TB | SA | Trypsin | CTep1* | C2L | 10−8M TB | SA | Trypsin | ALCLEL | |||||
| C2L | 10−8M TB | SA | 10−5M T | ALCLEH | ||||||||||
| CT* CTep1* CTep2* pooled together | 10−8M TB | Avidin +10−6M T | Trypsin | C2H | C2H | 2*10−9M TB | SA+10−6M T | Trypsin | AHCHEL | |||||
| C2H | 2*10−9M TB | SA+10−6M T | 10−5M T | AHCHEH | ||||||||||
| CTep2 | 5*10−8M TB | SA | Trypsin | CTep2* | C2H | 10−8M TB | SA +10−6M T | Trypsin | ALCHEL | |||||
| C2H | 10−8M TB | SA+10−6M T | 10−5M T | ALCHEH | ||||||||||
| Selection 1 | Selection 2 | Selection 3 | ||||||||||||
|---|---|---|---|---|---|---|---|---|---|---|---|---|---|---|
| Input | Antigen | Catching | Elution | Output | Input | Antigen | Catching | Elution | Output | Input | Antigen | Catching | Elution | Output |
| CT | 5*10−8M TB | SA | Trypsin | CT* | CT* CTep1* CTep2* pooled together | 10−8M TB | Avidin | Trypsin | C2L | C2L | 2*10−9M TB | SA | Trypsin | AHCLEL |
| C2L | 2*10−9M TB | SA | 10−5M T | AHCLEH | ||||||||||
| CTep1 | 5*10−8M TB | SA | Trypsin | CTep1* | C2L | 10−8M TB | SA | Trypsin | ALCLEL | |||||
| C2L | 10−8M TB | SA | 10−5M T | ALCLEH | ||||||||||
| CT* CTep1* CTep2* pooled together | 10−8M TB | Avidin +10−6M T | Trypsin | C2H | C2H | 2*10−9M TB | SA+10−6M T | Trypsin | AHCHEL | |||||
| C2H | 2*10−9M TB | SA+10−6M T | 10−5M T | AHCHEH | ||||||||||
| CTep2 | 5*10−8M TB | SA | Trypsin | CTep2* | C2H | 10−8M TB | SA +10−6M T | Trypsin | ALCHEL | |||||
| C2H | 10−8M TB | SA+10−6M T | 10−5M T | ALCHEH | ||||||||||
TB, testosterone-biotin.
SA, streptavidin.
T, testosterone.
Overview of the selection strategies
| Selection 1 | Selection 2 | Selection 3 | ||||||||||||
|---|---|---|---|---|---|---|---|---|---|---|---|---|---|---|
| Input | Antigen | Catching | Elution | Output | Input | Antigen | Catching | Elution | Output | Input | Antigen | Catching | Elution | Output |
| CT | 5*10−8M TB | SA | Trypsin | CT* | CT* CTep1* CTep2* pooled together | 10−8M TB | Avidin | Trypsin | C2L | C2L | 2*10−9M TB | SA | Trypsin | AHCLEL |
| C2L | 2*10−9M TB | SA | 10−5M T | AHCLEH | ||||||||||
| CTep1 | 5*10−8M TB | SA | Trypsin | CTep1* | C2L | 10−8M TB | SA | Trypsin | ALCLEL | |||||
| C2L | 10−8M TB | SA | 10−5M T | ALCLEH | ||||||||||
| CT* CTep1* CTep2* pooled together | 10−8M TB | Avidin +10−6M T | Trypsin | C2H | C2H | 2*10−9M TB | SA+10−6M T | Trypsin | AHCHEL | |||||
| C2H | 2*10−9M TB | SA+10−6M T | 10−5M T | AHCHEH | ||||||||||
| CTep2 | 5*10−8M TB | SA | Trypsin | CTep2* | C2H | 10−8M TB | SA +10−6M T | Trypsin | ALCHEL | |||||
| C2H | 10−8M TB | SA+10−6M T | 10−5M T | ALCHEH | ||||||||||
| Selection 1 | Selection 2 | Selection 3 | ||||||||||||
|---|---|---|---|---|---|---|---|---|---|---|---|---|---|---|
| Input | Antigen | Catching | Elution | Output | Input | Antigen | Catching | Elution | Output | Input | Antigen | Catching | Elution | Output |
| CT | 5*10−8M TB | SA | Trypsin | CT* | CT* CTep1* CTep2* pooled together | 10−8M TB | Avidin | Trypsin | C2L | C2L | 2*10−9M TB | SA | Trypsin | AHCLEL |
| C2L | 2*10−9M TB | SA | 10−5M T | AHCLEH | ||||||||||
| CTep1 | 5*10−8M TB | SA | Trypsin | CTep1* | C2L | 10−8M TB | SA | Trypsin | ALCLEL | |||||
| C2L | 10−8M TB | SA | 10−5M T | ALCLEH | ||||||||||
| CT* CTep1* CTep2* pooled together | 10−8M TB | Avidin +10−6M T | Trypsin | C2H | C2H | 2*10−9M TB | SA+10−6M T | Trypsin | AHCHEL | |||||
| C2H | 2*10−9M TB | SA+10−6M T | 10−5M T | AHCHEH | ||||||||||
| CTep2 | 5*10−8M TB | SA | Trypsin | CTep2* | C2H | 10−8M TB | SA +10−6M T | Trypsin | ALCHEL | |||||
| C2H | 10−8M TB | SA+10−6M T | 10−5M T | ALCHEH | ||||||||||
TB, testosterone-biotin.
SA, streptavidin.
T, testosterone.
Phage ELISA and sequencing of selected populations
The unselected libraries (CT, CTep1 and CTep2) as well as the different populations from the three selection rounds were analyzed for specificity using phage ELISA. The populations were tested on testosterone-biotin and FITC-biotin (5(6)-(biotinamidohexanoylamido) pentylthioureidylfluorescein) (Sigma-Aldrich), both bound to the plate via streptavidin, and on bovine serum albumin. Antigen-bound phages were detected by a horseradish peroxidase (HRP)-conjugated anti-M13 antibody (GE Healthcare, Uppsala, Sweden) using o-phenylenediamine as chromogen. In addition, six clones, randomly picked from each of the eight strategies of the third selection round, were similarly analyzed for specificity and subsequently sent for automated DNA sequencing (MWG Biotech, Ebersberg, Germany).
To estimate the binding affinity for soluble testosterone, the different populations were further analyzed in a competitive phage ELISA format. Testosterone was used to compete with testosterone-biotin immobilized on streptavidin as described (Persson et al., 2006). This allowed for the determination of IC50 values, i.e. the concentration of competing hapten that inhibited 50% of phages binding to the immobilized antigen. IC50 values were similarly determined for estradiol (Sigma-Aldrich), fluorescein (Sigma-Aldrich) and testosterone-biotin. Before the addition of the phage solution containing the inhibiting antigen (1–20 000 ng/ml), care was taken to saturate the biotin-binding sites of streptavidin by adding an excess of testosterone-biotin, a crucial step when inhibiting with biotinylated substances as in the case of testosterone-biotin. For comparison studies, two testosterone-specific clones (TC-5 and TC-20, GenBank accession numbers DQ250208 and DQ250223, respectively), which previously had been isolated from the cavity library (Persson et al., 2006), were also analyzed.
High-throughput ELISA screening
For the subsequent analysis steps, an automated ELISA screening procedure was performed using integrated robotic workstations as reviewed by Hallborn and Carlsson (2002). For this purpose a change to a compatible vector, that allows the production of soluble scFv, was needed. Phagemide DNA from the ten populations of selection rounds two and three as well as from the control clones TC-5 and TC-20 was isolated and digested with the restriction enzymes SfiI and AvrII (New England Biolabs). The fragment encoding the scFv was gel-purified and subsequently inserted into a vector that provides the secreted scFv with three FLAG-epitopes and a hexahistidine tag at their C-termini (BioInvent International AB, Lund, Sweden). The constructs were transformed into chemically competent Top10 E. coli using standard heat chock treatment.
A total of 1152 clones from each strategy were picked, transferred to 384-well plates containing media supplemented with isopropyl thiogalactoside and scFv were produced overnight at 37°C with vigorous shaking. After sedimentation of the bacteria, the supernatants containing the scFv were screened for binding to biotinylated testosterone in a primary and a secondary assay. Briefly, the produced scFv were captured by anti-FLAG antibodies (M2, Sigma-Aldrich) that had been adsorbed on the surface of microtiter plates. By limiting the anti-FLAG antibody, differences in scFv production levels should minimally affect the assay, making any observed differences in signal dependent on binding ability. Following a washing-step, testosterone-biotin was added (40 nM). After 1 h of incubation, unbound antigen was removed and HRP-labeled streptavidin (Dako Cytomation, Glostrup, Denmark) added. After a last washing-step, luminescent substrate (Pierce supersignal, Pierce, Rockford, IL, USA) was added and the plates were read in a Tecan Ultra instrument (Tecan AG, Männedorf, Switzerland). To get a value of the binding properties of the scFv, a threshold was set using the clones TC-5 and TC-20 with known affinity (Persson et al., 2006). FITC-biotin was used as a negative reference to assess the specificity of the interaction. The 48 clones from each strategy that gave the highest specific signals in the primary assay were selected for a secondary analysis. The basic set-up of both screenings was the same; however, the secondary assay was much more stringent, using lower testosterone-biotin concentration (10 nM) and an increased number of washes. From the secondary screening twelve clones were picked for sequencing from each selection strategy, the five clones that gave the highest signal and seven clones picked at random. Of the 96 sequenced clones, nine unique clones were identified (designated TM-1–9).
Competitive immunoassays of soluble scFv
To investigate the binding affinity of the nine unique clones for testosterone and testosterone-biotin, competitive ELISA on crude expression supernatants was performed, essentially as described for the phage-displayed scFv but with the following changes: scFv fragments were detected using the HRP-labeled anti-FLAG M2 antibody (Sigma-Aldrich) and the reaction developed using luminescent substrate. The binding to estradiol and fluorescein was also accessed. The concentration range used for the inhibiting antigens were 0.05–20 000 ng/ml.
The ELISA IC50 values were subsequently verified in a competitive BIAcore assay using a BIAcore 3000 instrument (BIAcore AB, Uppsala, Sweden). Streptavidin was covalently coupled to a CM5 sensor chip using amine coupling according to the manufacturer’s instructions and an excess of testosterone-biotin, enough to cover all available biotin-binding sites, was added. A second flow cell was treated with the same chemical procedure but without the addition of antigen and used as reference. A fixed concentration of scFv (TM-2, TM-5, TM-7, TC-5 and TC-20), purified from the periplasmic space using affinity chromatography on Ni-NTA agarose (Qiagen, Hilden, Germany), was mixed with a range of concentrations (0–20 000 ng/ml) of the inhibiting antigens (testosterone, testosterone-biotin, estradiol and fluorescein), allowed to reach equilibrium and subsequently injected onto the chip at a flow rate of 20 µl/min. All experiments were performed at 25°C and the chip was regenerated in 20 mM HCl, 150 mM NaCl. Response curves were generated by subtracting the signal obtained from the control flow cell and IC50 values determined. Of note, none of the analyzed scFv showed any signs of reactivity with streptavidin.
Results
Library construction and analysis
The aim of the study was to develop a mutagenesis and selection system (Fig. 1) to find high-affinity binders for haptens, in this study exemplified by testosterone. The CT library, a sub-population of the previously described cavity library (Persson et al., 2006), was chosen as our initial source of diversity. The cavity library had been designed to include binders of high frequency and functionality against a broad range of different haptens. This library had been subjected to two rounds of phage selections on testosterone, yielding the CT library. Analysis of individual members of this pool by ELISA showed that ∼90% of these were testosterone specific. Also, sequencing revealed a high diversity among those residues targeted for modification (Persson et al., 2006), providing a polyclonal nature of the starting material used for evolution.
Additional diversity was introduced randomly by error-prone PCR (Fig. 1). In this way the two libraries CTep1 and CTep2 were created, each having an estimated size of 3–4 × 107 clones of which 89% had an insert and 80% were in-frame (data not shown). If excluding those positions targeted in the design of the cavity library, the random nucleotide substitution frequencies of CTep1 and CTep2 were 0.77 and 0.87%, respectively, giving an average of 3.8 (range 1–6) and 3.9 (range 2–7) amino acid substitutions per scFv (data not shown). This procedure resulted in ∼6–8 times higher mutation frequencies compared with the CT library (0.12%). Importantly, the extensive diversity found in the cavity-lining residues of the CT library was maintained in both error-prone evolved libraries.
Binding characteristics of the selected populations
We used different selection strategies of various stringencies to select clones with increased testosterone binding activity. Differences were related to the amount of antigen (testosterone-biotin) used, whether or not soluble antigen (testosterone) was present during the phage capturing step and choice of elution method. The different approaches are summarized in Table I.
In order to follow the contributions of the different selection parameters, the initial libraries (CT, CTep1 and CTep2) and the various pools obtained after each round of selection were analyzed for binding specificity using phage ELISA. All populations were highly specific for testosterone-biotin (data not shown), suggesting that the selection procedures preserved the original specificity of the starting material. None of the populations showed reactivity to fluorescein, the specificity of clone FITC8, which was used as diversity-carrying scaffold when constructing the cavity library, nor to estradiol, a steroid highly similar to testosterone.
A competitive ELISA analysis to assess the apparent affinities to testosterone-biotin and to soluble testosterone was also performed (Table II). In the first selection round, a relatively low selection pressure was applied, allowing the removal of non-functional clones formed by the mutagenesis process and also allowing the amplification of rare and poorly expressed scFv. Consequently, this round did not alter the obtained IC50 values. In the two following rounds the selection pressure was increased considerably. As one might expect, there was a correlation between binding affinity for the biotinylated target antigen and the number of selections, with the best result obtained for strategy AHCHEL (IC50 = 4 × 10−8 M) of the third round (Table II). Thus, resulting in at least a 500-fold increase in apparent affinity for testosterone-biotin compared with the starting material. The most prominent increase in binding strength was obtained by decreasing the antigen concentration. The presence of soluble testosterone (CH) during the catching step also seemed to promote lower IC50 values; however, no obvious positive effect of the elution method could be observed. Whereas the affinity for testosterone-biotin showed a peak after the third selection round, it is apparent that the binding to the soluble hapten did not follow the same trend. An initial decrease in IC50 values was seen when going from the first to the second selection round. This was especially apparent for population C2L. The subsequent selection of these clones, including higher stringency with respect to both antigen concentration and elution method, did not significantly change the affinity of the bulk population for testosterone. In contrast, as illustrated by the differences in IC50 values of the two populations C2H and C2L (33-fold), the presence of soluble testosterone during the phage-catching phase had a major deleterious effect on the binding to free testosterone of the recovered population. This effect was further observed in selection round three, where half of the populations no longer had a detectable testosterone reactivity, suggesting that the addition of soluble testosterone completely drained the populations of testosterone binders. Nevertheless, C2L of the second round of selection and four of the eight populations of the third round showed an ∼100-fold increase in apparent affinity for the native antigen compared with the starting populations.
Characteristics of the initial libraries and the different selected populations
| Population | Competitive phage ELISA on populations of binders | High-throughput ELISA screening of individual soluble scFv | Number of unique scFvc | Number of scFv binding to the soluble haptend | |||
|---|---|---|---|---|---|---|---|
| IC50 (TB, nM) | IC50 (T, nM) | Primary screeninga (%) | Secondary screeningb (%) | ||||
| Unselected | CT | >20 000 | 50 000 | - | - | ||
| CTep1 | >20 000 | 30 000 | – | – | |||
| CTep2 | >20 000 | 70 000 | – | – | |||
| Selection 1 | CT* | >20 000 | 50 000 | – | – | ||
| CTep1* | >20 000 | 70 000 | – | – | |||
| CTep2* | >20 000 | 40 000 | – | – | |||
| Selection 2 | C2L | 1000 | 300 | 4 | 0 | ||
| C2H | 1000 | 10 000 | 1 | 6 | |||
| Selection 3 | AHCLEL | 500 | 600 | 33 | 92 | 3/12 | 1/3 |
| AHCLEH | 200 | 600 | 18 | 94 | 3/12 | 1/3 | |
| ALCLEL | 700 | 400 | 56 | 31 | 5/12 | 3/5 | |
| ALCLEH | 700 | 400 | 28 | 46 | 5/12 | 3/5 | |
| AHCHEL | 40 | >70 000 | 33 | 98 | 1/12 | 0/1 | |
| AHCHEH | 200 | >70 000 | 44 | 100 | 2/12 | 0/2 | |
| ALCHEL | 200 | 70 000 | 41 | 92 | 3/12 | 1/3 | |
| ALCHEH | 200 | >70 000 | 33 | 90 | 3/12 | 0/3 | |
| Population | Competitive phage ELISA on populations of binders | High-throughput ELISA screening of individual soluble scFv | Number of unique scFvc | Number of scFv binding to the soluble haptend | |||
|---|---|---|---|---|---|---|---|
| IC50 (TB, nM) | IC50 (T, nM) | Primary screeninga (%) | Secondary screeningb (%) | ||||
| Unselected | CT | >20 000 | 50 000 | - | - | ||
| CTep1 | >20 000 | 30 000 | – | – | |||
| CTep2 | >20 000 | 70 000 | – | – | |||
| Selection 1 | CT* | >20 000 | 50 000 | – | – | ||
| CTep1* | >20 000 | 70 000 | – | – | |||
| CTep2* | >20 000 | 40 000 | – | – | |||
| Selection 2 | C2L | 1000 | 300 | 4 | 0 | ||
| C2H | 1000 | 10 000 | 1 | 6 | |||
| Selection 3 | AHCLEL | 500 | 600 | 33 | 92 | 3/12 | 1/3 |
| AHCLEH | 200 | 600 | 18 | 94 | 3/12 | 1/3 | |
| ALCLEL | 700 | 400 | 56 | 31 | 5/12 | 3/5 | |
| ALCLEH | 700 | 400 | 28 | 46 | 5/12 | 3/5 | |
| AHCHEL | 40 | >70 000 | 33 | 98 | 1/12 | 0/1 | |
| AHCHEH | 200 | >70 000 | 44 | 100 | 2/12 | 0/2 | |
| ALCHEL | 200 | 70 000 | 41 | 92 | 3/12 | 1/3 | |
| ALCHEH | 200 | >70 000 | 33 | 90 | 3/12 | 0/3 | |
TB, testosterone-biotin.
T, testosterone.
aPercentage of clones having a signal greater than 5000. 1152 clones from each strategy were analyzed in this assay. In this assay, the control antibody fragments TC-5 and TC-20, which had previously been isolated from the CT library, had signals in the range of 500 to 700.
bPercentage of clones having a signal greater than 10 000. 48 clones from each strategy were analyzed in this assay. TC-5 and TC-20 did not result in any detectable signal in this assay.
cThe number of unique scFv was determined by sequencing of positive scFv as defined by the secondary ELISA screening.
dThe number of scFv binding the soluble hapten was assessed by competitive ELISA.
Characteristics of the initial libraries and the different selected populations
| Population | Competitive phage ELISA on populations of binders | High-throughput ELISA screening of individual soluble scFv | Number of unique scFvc | Number of scFv binding to the soluble haptend | |||
|---|---|---|---|---|---|---|---|
| IC50 (TB, nM) | IC50 (T, nM) | Primary screeninga (%) | Secondary screeningb (%) | ||||
| Unselected | CT | >20 000 | 50 000 | - | - | ||
| CTep1 | >20 000 | 30 000 | – | – | |||
| CTep2 | >20 000 | 70 000 | – | – | |||
| Selection 1 | CT* | >20 000 | 50 000 | – | – | ||
| CTep1* | >20 000 | 70 000 | – | – | |||
| CTep2* | >20 000 | 40 000 | – | – | |||
| Selection 2 | C2L | 1000 | 300 | 4 | 0 | ||
| C2H | 1000 | 10 000 | 1 | 6 | |||
| Selection 3 | AHCLEL | 500 | 600 | 33 | 92 | 3/12 | 1/3 |
| AHCLEH | 200 | 600 | 18 | 94 | 3/12 | 1/3 | |
| ALCLEL | 700 | 400 | 56 | 31 | 5/12 | 3/5 | |
| ALCLEH | 700 | 400 | 28 | 46 | 5/12 | 3/5 | |
| AHCHEL | 40 | >70 000 | 33 | 98 | 1/12 | 0/1 | |
| AHCHEH | 200 | >70 000 | 44 | 100 | 2/12 | 0/2 | |
| ALCHEL | 200 | 70 000 | 41 | 92 | 3/12 | 1/3 | |
| ALCHEH | 200 | >70 000 | 33 | 90 | 3/12 | 0/3 | |
| Population | Competitive phage ELISA on populations of binders | High-throughput ELISA screening of individual soluble scFv | Number of unique scFvc | Number of scFv binding to the soluble haptend | |||
|---|---|---|---|---|---|---|---|
| IC50 (TB, nM) | IC50 (T, nM) | Primary screeninga (%) | Secondary screeningb (%) | ||||
| Unselected | CT | >20 000 | 50 000 | - | - | ||
| CTep1 | >20 000 | 30 000 | – | – | |||
| CTep2 | >20 000 | 70 000 | – | – | |||
| Selection 1 | CT* | >20 000 | 50 000 | – | – | ||
| CTep1* | >20 000 | 70 000 | – | – | |||
| CTep2* | >20 000 | 40 000 | – | – | |||
| Selection 2 | C2L | 1000 | 300 | 4 | 0 | ||
| C2H | 1000 | 10 000 | 1 | 6 | |||
| Selection 3 | AHCLEL | 500 | 600 | 33 | 92 | 3/12 | 1/3 |
| AHCLEH | 200 | 600 | 18 | 94 | 3/12 | 1/3 | |
| ALCLEL | 700 | 400 | 56 | 31 | 5/12 | 3/5 | |
| ALCLEH | 700 | 400 | 28 | 46 | 5/12 | 3/5 | |
| AHCHEL | 40 | >70 000 | 33 | 98 | 1/12 | 0/1 | |
| AHCHEH | 200 | >70 000 | 44 | 100 | 2/12 | 0/2 | |
| ALCHEL | 200 | 70 000 | 41 | 92 | 3/12 | 1/3 | |
| ALCHEH | 200 | >70 000 | 33 | 90 | 3/12 | 0/3 | |
TB, testosterone-biotin.
T, testosterone.
aPercentage of clones having a signal greater than 5000. 1152 clones from each strategy were analyzed in this assay. In this assay, the control antibody fragments TC-5 and TC-20, which had previously been isolated from the CT library, had signals in the range of 500 to 700.
bPercentage of clones having a signal greater than 10 000. 48 clones from each strategy were analyzed in this assay. TC-5 and TC-20 did not result in any detectable signal in this assay.
cThe number of unique scFv was determined by sequencing of positive scFv as defined by the secondary ELISA screening.
dThe number of scFv binding the soluble hapten was assessed by competitive ELISA.
Screening of individual clones
A total of 1152 clones were picked from each of the total 10 strategies from selection round two and three and their scFv were produced in soluble form. In a high-throughput ELISA the clones were assessed for binding to testosterone-biotin. A primary screening assay identified numerous clones that gave signals 10–50-fold higher than the control clones TC-5 and TC-20, which had previously been isolated from the CT population, prior to the error-prone evolution and the stringent selections (Table II). Forty-eight of the clones displaying the highest signal from each strategy were subjected to a secondary screening assay of higher stringency, as evidenced by the fact that neither of the two control scFv showed any detectable signal in this assay. In both the primary and secondary screening assays, the frequency of clones displaying high signals were considerably lower for the populations of the second selection round compared with the third.
Based on the result of the secondary screening, twelve clones from each of the strategies in selection round three were sequenced. Out of 96 sequenced scFv, nine different variants were found (denoted TM-1–9, Fig. 3). Notably, one of the sequences, TM-7, was found in all strategies and represented 75% of all sequenced clones. In contrast, some of the sequence variants were only found in one or a few of the populations, thus suggesting that the selection strategies were different enough to tap different parts of the available sequence space. It can also be seen that higher stringency selections, with respect to antigen concentration and catching conditions, had an adverse effect on the diversity of the selected population (Table II).
Alignment of sequence variants (TM-1-9) identified after three cycles of phage display and 2 rounds of high-throughput ELISA screening. The wild-type sequence is a fluorescein-specific scFv whose gene served as diversity carrying scaffold. Mutated regions include those targeted by site-directed mutagenesis, introduced in a previous study (Persson et al., 2006), and those randomly introduced in the current study through an error-prone PCR process. Our previous design strategy (Persson et al., 2006) also allowed for the observed length variations in CDRH2 and CDRL3. The scFv TC-5 and TC-20 that were isolated directly from the CT library (Persson et al., 2006) before the error-prone evolution, are also included in the figure. Residues identical with the wild-type sequence are shown with dots while absent residues are indicated with gaps. Residues of the heavy and light chains are numbered according to IMGT (Lefranc et al., 2003) and the linker region ((G4-S)3) from 1 to 15. Amino acids are abbreviated according to their one letter code. Complete gene sequences are available in GenBank, accession numbers EU095633-41.
Alignment of sequence variants (TM-1-9) identified after three cycles of phage display and 2 rounds of high-throughput ELISA screening. The wild-type sequence is a fluorescein-specific scFv whose gene served as diversity carrying scaffold. Mutated regions include those targeted by site-directed mutagenesis, introduced in a previous study (Persson et al., 2006), and those randomly introduced in the current study through an error-prone PCR process. Our previous design strategy (Persson et al., 2006) also allowed for the observed length variations in CDRH2 and CDRL3. The scFv TC-5 and TC-20 that were isolated directly from the CT library (Persson et al., 2006) before the error-prone evolution, are also included in the figure. Residues identical with the wild-type sequence are shown with dots while absent residues are indicated with gaps. Residues of the heavy and light chains are numbered according to IMGT (Lefranc et al., 2003) and the linker region ((G4-S)3) from 1 to 15. Amino acids are abbreviated according to their one letter code. Complete gene sequences are available in GenBank, accession numbers EU095633-41.
The nine unique scFv were further analyzed in a competitive ELISA to assess the binding affinity to testosterone and testosterone-biotin. As shown in Table III, five of the nine clones (TM-1–5) had similar binding affinities to testosterone and testosterone-biotin, whereas four of the scFv (TM-6–9) only recognized the biotinylated form of the antigen. These data were later confirmed by competitive BIAcore analysis (Table III). The best clone, TM-4, had an IC50 value of 2 × 10−9M for soluble testosterone (Fig. 4), corresponding to a 200-fold increase in apparent affinity compared with TC-5.
Dose-dependent binding of scFv TM-4 to testosterone (squares) and testosterone-biotin (circles) as determined by competitive ELISA. The mean binding signal, average of duplicates, at each antigen concentration was divided by the antibody binding response obtained in the absence of inhibiting antigen to give percentage binding. The IC50 values, being equal to the antigen concentration at which the binding response is half-maximum (50%), are 2 and 4 nM for testosterone and testosterone-biotin, respectively, thus making this antibody fragment suitable for measuring testosterone within the clinically relevant range (0.7–70 nM) (Fitzgerald and Herold, 1996).
Dose-dependent binding of scFv TM-4 to testosterone (squares) and testosterone-biotin (circles) as determined by competitive ELISA. The mean binding signal, average of duplicates, at each antigen concentration was divided by the antibody binding response obtained in the absence of inhibiting antigen to give percentage binding. The IC50 values, being equal to the antigen concentration at which the binding response is half-maximum (50%), are 2 and 4 nM for testosterone and testosterone-biotin, respectively, thus making this antibody fragment suitable for measuring testosterone within the clinically relevant range (0.7–70 nM) (Fitzgerald and Herold, 1996).
Binding characteristics of the nine isolated scFv (TM-1-9) as determined by competitive BIAcore and ELISA measurements
| scFv | ELISA (IC50) | BIAcore (IC50) | ||
|---|---|---|---|---|
| TB (nM) | T (nM) | TB (nM) | T (nM) | |
| TM-1 | 50 | 30 | ND | ND |
| TM-2 | 20 | 30 | 50 | 30 |
| TM-3 | 40 | 200 | ND | ND |
| TM-4 | 4 | 2 | ND | ND |
| TM-5 | 50 | 20 | 70 | 50 |
| TM-6 | 40 | >70 000 | ND | ND |
| TM-7 | 20 | >70 000 | 30 | >70 000 |
| TM-8 | 70 | >70 000 | ND | ND |
| TM-9 | 40 | >70 000 | ND | ND |
| TC-5 | ND | ND | 500 | 400 |
| TC-20 | ND | ND | 600 | 700 |
| scFv | ELISA (IC50) | BIAcore (IC50) | ||
|---|---|---|---|---|
| TB (nM) | T (nM) | TB (nM) | T (nM) | |
| TM-1 | 50 | 30 | ND | ND |
| TM-2 | 20 | 30 | 50 | 30 |
| TM-3 | 40 | 200 | ND | ND |
| TM-4 | 4 | 2 | ND | ND |
| TM-5 | 50 | 20 | 70 | 50 |
| TM-6 | 40 | >70 000 | ND | ND |
| TM-7 | 20 | >70 000 | 30 | >70 000 |
| TM-8 | 70 | >70 000 | ND | ND |
| TM-9 | 40 | >70 000 | ND | ND |
| TC-5 | ND | ND | 500 | 400 |
| TC-20 | ND | ND | 600 | 700 |
For comparisons, scFv TC-5 and TC-20, previously isolated from the CT library (Persson et al., 2006), are also included.
TB, testosterone-biotin.
T, testosterone.
ND, not determined.
Binding characteristics of the nine isolated scFv (TM-1-9) as determined by competitive BIAcore and ELISA measurements
| scFv | ELISA (IC50) | BIAcore (IC50) | ||
|---|---|---|---|---|
| TB (nM) | T (nM) | TB (nM) | T (nM) | |
| TM-1 | 50 | 30 | ND | ND |
| TM-2 | 20 | 30 | 50 | 30 |
| TM-3 | 40 | 200 | ND | ND |
| TM-4 | 4 | 2 | ND | ND |
| TM-5 | 50 | 20 | 70 | 50 |
| TM-6 | 40 | >70 000 | ND | ND |
| TM-7 | 20 | >70 000 | 30 | >70 000 |
| TM-8 | 70 | >70 000 | ND | ND |
| TM-9 | 40 | >70 000 | ND | ND |
| TC-5 | ND | ND | 500 | 400 |
| TC-20 | ND | ND | 600 | 700 |
| scFv | ELISA (IC50) | BIAcore (IC50) | ||
|---|---|---|---|---|
| TB (nM) | T (nM) | TB (nM) | T (nM) | |
| TM-1 | 50 | 30 | ND | ND |
| TM-2 | 20 | 30 | 50 | 30 |
| TM-3 | 40 | 200 | ND | ND |
| TM-4 | 4 | 2 | ND | ND |
| TM-5 | 50 | 20 | 70 | 50 |
| TM-6 | 40 | >70 000 | ND | ND |
| TM-7 | 20 | >70 000 | 30 | >70 000 |
| TM-8 | 70 | >70 000 | ND | ND |
| TM-9 | 40 | >70 000 | ND | ND |
| TC-5 | ND | ND | 500 | 400 |
| TC-20 | ND | ND | 600 | 700 |
For comparisons, scFv TC-5 and TC-20, previously isolated from the CT library (Persson et al., 2006), are also included.
TB, testosterone-biotin.
T, testosterone.
ND, not determined.
Sequence and structure of selected scFv
Based on sequence similarity, the nine isolated scFv could be grouped into two groups (Fig. 3). Interestingly, this division correlates with the observed reactivity pattern (Table III). Whereas the five clones that bound soluble testosterone had a CDRL3 length of 11, the remaining four scFv had a nine amino acids long CDRL3 loop. This fine-specificity could further be coupled to highly conserved residues within each of the two groups, in particular residues 40H, 55H and 107L. The preferred combination of these CDRL3 lengths and these three residues was also evident among the 48 random sequenced clones picked from the 8 strategies of selection round three, before the high-throughput ELISA analyses (data not shown).
The random mutagenesis process introduced in total 32 amino acid changes among the nine sequence variants. As shown in Fig. 3, each clone has between 1 and 8 amino acid changes (average 3.6) distributed over the variable domain of the heavy chain (VH), the light chain (VL) and the linker. This number is similar to the level of diversification found in CTep1 and CTep2, but considerable higher than the number of substitutions found in the unmutated population (CT) or among the randomly picked clones after three rounds of selection, which had an average of 0.26 and 1.4 amino acid substitutions per scFv, respectively. No hot spots of mutations could be observed, as the locations of the substitutions were all unique. Also, none of the positions targeted for diversification in the cavity library were changed into residues not intended by the design. Some accumulation of mutations was observed in the CDRs (amino acid frequency change: 1.7%) compared with framework regions (1.3%). Also, an increased mutational frequency was observed in the linker region (3.7%).
Discussion
Anti-hapten antibodies are often of lower affinity than those of high molecular weight antigens like proteins (Chappey et al., 1994). Being small and hydrophobic, haptens generally contain few functional groups that can provide specific interaction with the antibody-binding site. Furthermore, owing to their non-immunogenic nature, haptens need to be covalently attached to a larger carrier molecule, such as a protein, in order to be used as an immunogen. Consequently, the antibodies, whether raised in vivo or in vitro, typically show higher affinities for the immunogen than for the free hapten (Franek, 1987; Charlton et al., 2001; Moghaddam et al., 2001). However, there are not any inherent restrictions in the structure of antibodies that prevent them from binding small molecules strongly and several recombinant antibody libraries have been reported to contain antibodies against soluble haptens (Griffiths et al., 1994; Vaughan et al., 1996; Söderlind et al., 2000). In a study by Boder et al. (2000), the affinity of a fluorescein-specific antibody was evolved to a KD of 48 fM, to our knowledge the highest monovalent ligand-binding so far reported for an antibody. Nevertheless, haptens remain challenging targets that often require optimized mutagenesis and selection strategies in order to find high-affinity binders (Charlton et al., 2001; Moghaddam et al., 2001; Sheedy et al., 2007).
The aim of the current study was to explore the potential of a focused antibody library for the development of high-affinity hapten binders. Based on known structure–function relationships of antibodies, a focused library, designated the cavity library, had previously been designed to have an improved recognition for hapten targets (Persson et al., 2006). Highly specific binders were retrieved to a range of different haptens and importantly these could not only bind the hapten bound to its carrier but also the free, soluble hapten. It appeared that by focusing the diversity solely to those residues that commonly interact with the hapten, unwanted interactions (e.g. with the linker or the carrier) that skew the selection process could be minimized (Persson et al., 2006). The selection pressure was in the previous study kept relatively low and as a consequence the retrieved binders were of moderate affinity (106–107 M−1). However, the high diversity of the obtained binders suggested that the standardized selection procedure did not utilize the full capacity of the library and that there was considerable room for improvement. It is also likely that the introduction of additional diversity would help to increase the affinity even further. Several studies have shown a lack of correspondence between the residues in contact with the antigen and those modified in affinity maturation processes (Tomlinson et al., 1996; Daugherty et al., 2000; Ramirez-Benitez and Almagro, 2001). Mutations of buried or peripherally located residues have been shown, through long-range effects, to provide fine-tuning of the antigen-binding site and an increase in affinity. Therefore, to increase the likelihood of isolating high-affinity binders, additional diversity was introduced to include more peripheral positions of the paratope that were not included in the original diversity design. Furthermore, by comparing the antibody repertoires of naïve and secondary responses in vivo it has been demonstrated that not all clones are suitable for effective maturation. Several studies have described dominating clones in the initial repertoire that are absent or rarely found in secondary responses. It has therefore been suggested that some clones will, due to the VDJ recombination, be allocated to a part of structural space that make them non-competitive in the subsequent hypermutation process (Alzari et al., 1990; Furukawa et al., 1999; George and Gray, 1999). However, the molecular mechanisms governing the maturation pathway of antibodies are still poorly understood and thus difficult to predict. Rather than utilizing a single clone as starting material for diversification, which is standard procedure when performing affinity maturation experiments, we therefore based the new library on an entire pool of clones that had been enriched by phage display for variants specific for testosterone, the hapten chosen as model antigen for this investigation.
The various selection procedures resulted in a significant improvement of the obtained IC50 values for several of the selected populations, an improvement that was mainly achieved by the reduction in antigen concentration between each round. By using a high concentration of competing soluble antigen during the period when antigen-bound phages are caught onto the magnetic beads, the recovery of scFv with fast off-rates, including those that are displayed multivalently, should efficiently be prevented (Hawkins et al., 1992). Although having some positive effect on the binding affinity to testosterone-biotin, this procedure adversely affected the binding to free testosterone. It appears that this process selected for variants that had matured by making contacts with the biotinylated conjugate compared with the naked molecule, an evolution facilitated by the small size of the antigen, suggesting that this step was too stringent with respect to the kinetics of the population. The use of soluble antigen to competitively elute phages rather than using non-specific elution methods have in several studies been utilized to enhance the selection of binders with higher affinity for the free hapten (Sheedy et al., 2007). However, in the current study this approach had no detectable effect on the quality of the selected populations as assessed by binding to soluble testosterone. Despite the fact that the presence of soluble testosterone during the catching or elution steps did not have the intended effect, our diversification and selection strategy still allowed us to successfully evolve several of the populations to at least a 100-fold increase in mean affinity for the biotinylated as well as for the unmodified hapten.
Importantly, the best clone showed an ∼200-fold affinity improvement for soluble testosterone compared with the best clone obtained from the original population, corresponding to an affinity useful for analyses of clinically relevant levels of testosterone (Fitzgerald and Herold, 1996). The nine isolated clones could, based on sequence similarity, be clustered into two distinct groups. The most obvious feature differing between these were CDRL3 length (9 or 11 residues) and type of residue found in 40H, 55H and 107L. Interestingly, there was a striking correlation between these groups and their fine specificity. Only antibody fragments harboring the longer CDRL3 loop could bind soluble testosterone, whereas clones of the other group were highly linker-dependent. Among the total 34 sequenced clones of the starting material (CT, CTep1 and CTep2), 75% contained the longer CDRL3 version (data not shown). In contrast, none of these randomly picked sequences were found to have a CDRL3 of length 9, suggesting that there was a substantial selection advantage for clones having this loop length. These results clearly imply that some of the selection parameters as well as the subsequent screening process preferentially ‘selected’ clones that recognized the conjugated form of the hapten over antibodies that specifically recognized the free hapten. It is therefore likely that the introduction of a method early in the screening program that also assesses for recognition of the free hapten should substantially improve the chances of yielding even better soluble hapten-binders.
The observed change in antibody repertoire is not surprising since an increased selection pressure put higher demands on the antigen–antibody interaction and accordingly new ways have to be found to increase the affinity. As outlined above, repertoire shifts have frequently been observed during immune responses such as those to hapten conjugates (Berek and Milstein, 1987) and to some extent also to protein antigens (Newman et al., 1992; Kalinke et al., 1996). Related to these findings, Brown et al. (2000) noted that antibodies of the late phase of an immune response were better suited for interacting with the hapten in context of the carrier in comparison to clones of the initial response. This was structurally explained by a widening of the original deep pocket, resulting in an elongated shallow groove that more efficiently accommodated parts of the carrier or the linker in addition to the hapten itself. Whether a similar structural change resulted in the observed specificity change of clones TM-6-9 is conceivable but unclear. The polyclonal starting population allowed for the observed repertoire shift. Although it did not, for the purpose of this study, provide any additional beneficial binding characteristics, the results demonstrate, together with a recent study by Groves et al. (2006), the potential of using polyclonal populations to more efficiently exploit structural space.
Whereas a clear connection existed between the obtained reactivity pattern and residues targeted in the original design, no such correlation could be attributed to any of the randomly introduced mutations. No consensus mutations were found among these, and at a first glance they could easily be disregarded as neutral mutations accumulated during the randomization process. However, the considerably higher mutation frequency found among the nine clones isolated after the high-throughput screening assay compared with the number of mutations found after the three rounds of phage selections indicates the importance of these additional substitutions in creating novel binders of higher affinity. The lack of consensus mutations suggests that there are numerous paths to improved fitness. Although, some accumulation of mutations was seen in the CDRs, none of the substituted amino acids were among those proposed to line the antigen-binding cavity (Persson et al., 2006), supporting the notion that affinity maturation of antibodies can effectively be achieved through peripheral or ‘second-sphere’ changes (Tomlinson et al., 1996; Ramirez-Benitez and Almagro, 2001). An increased mutational frequency was found in the scFv linker, which might possibly influence the stability of the scFv or the orientation of its two domains and thereby the affinity of the antigen–antibody interaction.
In conclusion, we have demonstrated that the process of in vitro affinity maturation can successfully be applied on a population of molecules in order to fine-tune the binding activity and specificity of hapten-binders originating from the cavity library. Similar to the natural system, we started out with an antibody repertoire having diversity mainly focused to the central parts of the paratope. An initial enrichment allowed for the retrieval of a population of binders having an effective imprint of the ligand in their binding pockets. In analogy with the somatic hypermutation process, additional diversity was introduced to include more peripherally located regions. This allowed adjustments of the initially obtained imprints, resulting in the retrieval of antibody fragments with significantly improved binding affinities for the hapten target of investigation.
Funding
BioInvent International AB; the Swedish Research Council (grant number 2006-5446).
Acknowledgements
We gratefully acknowledge financial support from BioInvent International AB and the Swedish Research Council.




